基于图神经网络的推荐算法总结

2021 年 9 月 30 日 机器学习与推荐算法

本文看完,相信你也能熟练掌握这些基于GNN的推荐模型。

图神经网络 (GNN)相信大家也不陌生了,在还没有Graph Embedding之前,节点的属性信息可以通过Item2vec这种序列化Embedding的方式去学习,效果虽然不错,但它忽略了节点的结构信息。而 GNN能够自然地整合节点属性信息和拓扑结构信息 ,因此在许多领域广泛应用。

在推荐系统中,目前的主要挑战是从用户-物品交互以及辅助信息中学习有效的User-Item Embedding。 由于大部分的信息本质上都是图结构,并且GNN在表示学习方面具有先天优势,因此在推荐系统中蓬勃发展

本文对基于GNN的推荐算法进行了总结,汇总了从2018至2020年期间工业界和学术界比较有代表性的 29个基于的GNN推荐模型 此外,我从近三年KDD的论文中挑选了六篇值得一读的GNN推荐模型为大家解读,分别是4篇阿里的论文,1篇滴滴的论文和1篇亚马逊的论文,话不多说,让我们一起欣赏一下GNN在推荐系统中的花式玩法吧~






基于图神经网络的推荐算法分类









基于图神经网络的推荐模型总结







1 General Recommendation




1.1 General RS without side information 

Neighbor Aggregation:区分邻居的影响大小,比mean-pooling,degree normalization效果好


Information Update:当后续没有显式的特征交叉步骤时,mean pooling, sum pooling表现足够好,若有,则concat能保留更多信息


Final Node representation:有些使用GNN的最后一层向量作为表示,有些则用所有层(可能表示更好一些)


1.2 General RS with social network

Influence modeling:区分社交网络不同的好友的影响力可以提升效果,进一步的,考虑朋友在不同的Item上的影响力也不一样,可以在item稀疏时提升较大

Preference Integration:将social network 和user-item bipartite 两个图分开建模和统一建模都可,没有明显区别。


1.3 General RS with knowledge graph

Graph simplification:为了将GNN较为高效地应用于KG,需要对图进行简化(同时图信息有损),例如AKGE利用最短路径来重构子图,IntentGC仅保留一部分结点来构造i2i和u2u

Multi-relation propagation:KG有多重类型的边,因此需要使用attention 机制来聚集来自邻居的信息

User intergration:有些工作利用GNN来学习item表示,假设用户具有静态的表示;另外的则将user作为KG中一种entity来学习





2 Sequential Rec


2.1 SR without side information

Graph construction:将sequence 转为graph,转化的方法决定了GNN的效果,一般将按时序出现的相邻K(一般K=2)个item之间进行连边

Information propagation:在聚集邻居特征时,相比mean-pooling, GRU在序列建模中效果更好一些

Sequential preference:将序列的结点表示集成为最终的结点表示,attention, GRU皆可

2.2 SR with social network

DGRec:使用LSTM来抽取用户的动态兴趣,再使用GAT来对不同好友的影响进行聚集






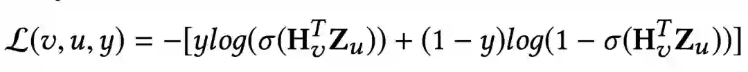
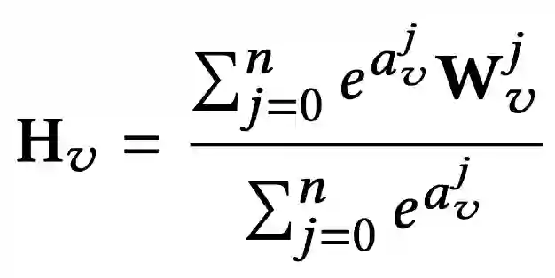
3. 阿里EGES



论文标题:Billion-scale Commodity Embedding for E-commerce Recommendation in Alibaba

论文来源:KDD2018,Alibaba

论文目标:将图表示学习应用到推荐中,初步解决scalability, sparsity and cold start等问题


图数据的构建方法:session-based users’ behaviors中相邻的item连接一条有向边

模型架构:

模型特点:

base model :先随机游走,再使用negative sampling优化的Skip-gram模型来学习表示。

enhance model:利用side information,给每种不同类型的side information的表示以不同的权重,其中SI 0代表item id。

注:数据清洗

1.删除点击后停留时间少于1s的点击(无意图点击)

2.删除过于活跃的用户(buy>1000 item, click>3500 item in 3 months)






4. 阿里GATNE



论文标题:Representation Learning for Attributed Multiplex Heterogeneous Network

论文来源:KDD2019 Alibaba&Tsinghua

论文目标:学习异构网络的结点和边表示

图数据的构建方法:user-item交互信息(点击,加入购物车等)


模型架构:

模型特点:

为异构网络中的每个结点学习一个基本表示(base embedding),在结点的每种边类型下都学一个表示(edge embedding),将两类表示合并作为最后的表示。


总结:

有Inductive和transductive两种setting:

Inductive learning中将结点的属性作为学习结点和边表示的初始化输入。






5. 阿里M2GRL



论文标题:M2GRL: A Multi-task Multi-view Graph Representation Learning Framework for Web-scale Recommender Systems

论文来源:KDD2020 Alibaba

论文目标:同时学习multi-view的表示,并对齐


图数据的构建方法:从用户的历史行为序列中构造出item graph(连续的item之间连边);category graph, shop graph


模型架构:

模型特点:

多task多view的图表示学习框架,分为两类任务:

1.view内的任务,关注与view内的同构图的表示学习,使用Negative sampling优化的Skip-gram模型来学习

2.view间的任务,专注于学习不同view的结点的关系,采取对齐技术来将不同view的结点的映射到同一空间,并学习结点之间的关系

利用同调不确定性来学习不同任务的权重

备注:

数据清洗

1.删除点击后停留时间少于2s的user-item pair(用户可能不感兴趣)

2.打开到关闭app的tm来分割和合并session。若有1小时的空闲时间,将一个session分成两个;如果时间跨度少于30分钟,合并两个连续的session。






6. 阿里DHGAT



论文标题:A Dual Heterogeneous Graph Attention Network to Improve Long-Tail Performance for Shop Search in E-Commerce

论文来源:KDD2020 Alibaba

论文目标:在shop search上提高长尾query和shop的效果


图数据的构建方法:从用户的搜索、点击和下单行为历史构造。


结点类型:Shop(S)、Query(Q)、Item(I)

边类型:

1.同构边:Q-Q,同一个session中的query连边,导致相同点击shop的query连边;S-S,在同个query下的shop连边

2.异构边:Q-S(历史数据中直接获得,从item-query下下单的),Q-I,S-I


模型架构:

模型特点:

使用GNN来丰富shop和query的表示含义,定义了各自的异构邻居。

1.双层attention,1.同种异构边,2.不同种异构边

2.双塔+异构attention

3.从product search中transfer knowledge

4.user feature作为query特征一部分






7 .滴滴Gemini



论文标题:Gemini: A Novel and Universal Heterogeneous Graph Information Fusing Framework for Online Recommendations

论文来源:KDD2020 DiDi

论文目标:将User-item交互的异构图转化为两个semi-Homogeneous图


图的构建方法:任意二分图


模型架构:

模型特点:

1.将一个异构图转化为两个半同构图,其中同构图上的边的属性为node list(原来的共同1跳邻居结点)

2.边上的点越多,包含的信息越多;但在所有边上出现次数越多,越不重要。单个边上点出现的次数(tf),所有边上点出现的次数(idf) ,使用TF-IDF pooling (分桶表示)

3.使用attention机制来组合结点和边表示

4.使用edge conv来获得该层的结点表示

5.预测

备注:

复杂度较高,构造了u-u图,比原始的u-i图更大






8. 亚马逊NIRec



论文标题:An Efficient Neighborhood-based Interaction Model for Recommendation on Heterogeneous Graph

论文来源:KDD2020, Amazon

论文目标:介绍了early summarization问题(在预测前将结点和邻居信息压缩到一个向量中),并提出模型解决


图的构建方法:普通异构图


模型架构:

模型特点:

1.在metapath-guide neighbor,所有类型metapath的所有相关结点都参与

2.在interaction层,使用卷积操作

Conv: shift, product, sum

3.在aggregation层,两层attention(Node/Element-level、Path/Matrix-level

您的“点赞/在看/分享”是我坚持的最大动力!

坚持不易,卖萌打滚求鼓励 (ฅ>ω<*ฅ)

分享

收藏

点赞

在看


登录查看更多
25

相关内容

对话推荐算法研究综述
专知会员服务
39+阅读 · 2022年4月4日
WSDM 2022 | 基于图神经网络的协同过滤设计空间研究
专知会员服务
37+阅读 · 2022年1月3日
【IJCAI2021】基于图学习的推荐系统综述
专知会员服务
97+阅读 · 2021年5月7日
【AAAI2021】基于图神经网络的文本语义匹配算法
专知会员服务
50+阅读 · 2021年1月30日
专知会员服务
66+阅读 · 2020年9月24日
专知会员服务
48+阅读 · 2020年9月20日
专知会员服务
31+阅读 · 2020年9月13日
【SIGIR 2020】 基于协同注意力机制的知识增强推荐模型
专知会员服务
91+阅读 · 2020年7月23日
WSDM22@教程 | 基于图神经网络的推荐系统
机器学习与推荐算法
8+阅读 · 2022年2月28日
基于图的推荐系统进展总结, 共包含11篇文献
机器学习与推荐算法
3+阅读 · 2022年2月26日
图神经网络适合做推荐系统吗?
机器学习与推荐算法
1+阅读 · 2021年12月15日
基于知识图谱的推荐系统总结
机器学习与推荐算法
4+阅读 · 2021年11月11日
基于对比学习的推荐算法总结
机器学习与推荐算法
1+阅读 · 2021年9月16日
Attention机制在深度推荐算法中的总结
机器学习与推荐算法
0+阅读 · 2021年9月15日
【推荐系统】详解基于内容的推荐算法
产业智能官
23+阅读 · 2018年1月11日
国家自然科学基金
0+阅读 · 2015年12月31日
国家自然科学基金
5+阅读 · 2015年12月31日
国家自然科学基金
5+阅读 · 2014年12月31日
国家自然科学基金
0+阅读 · 2013年12月31日
国家自然科学基金
1+阅读 · 2013年12月31日
国家自然科学基金
0+阅读 · 2012年12月31日
国家自然科学基金
3+阅读 · 2012年12月31日
国家自然科学基金
0+阅读 · 2012年12月31日
国家自然科学基金
0+阅读 · 2012年12月31日
国家自然科学基金
0+阅读 · 2008年12月31日
Arxiv
0+阅读 · 2022年4月20日
Arxiv
0+阅读 · 2022年4月19日
Arxiv
19+阅读 · 2020年7月13日
Arxiv
20+阅读 · 2019年11月23日
Heterogeneous Deep Graph Infomax
Arxiv
12+阅读 · 2019年11月19日
Domain Representation for Knowledge Graph Embedding
Arxiv
14+阅读 · 2019年9月11日
Arxiv
24+阅读 · 2018年10月24日
VIP会员
最新内容
战略前沿人工智能的再思考(中文)
专知会员服务
5+阅读 · 5月29日
《量化地基防空系统间接效应的博弈论方法》
专知会员服务
5+阅读 · 5月29日
“史诗怒火行动”中美军损失的作战飞机
专知会员服务
5+阅读 · 5月29日
ICML 2026 | 理解上下文持续学习中的泛化与遗忘
专知会员服务
5+阅读 · 5月28日
Agent Harness综述:大模型智能体执行器工程全景
专知会员服务
15+阅读 · 5月28日
《基于理论的威慑效能评估》
专知会员服务
8+阅读 · 5月28日
相关VIP内容
对话推荐算法研究综述
专知会员服务
39+阅读 · 2022年4月4日
WSDM 2022 | 基于图神经网络的协同过滤设计空间研究
专知会员服务
37+阅读 · 2022年1月3日
【IJCAI2021】基于图学习的推荐系统综述
专知会员服务
97+阅读 · 2021年5月7日
【AAAI2021】基于图神经网络的文本语义匹配算法
专知会员服务
50+阅读 · 2021年1月30日
专知会员服务
66+阅读 · 2020年9月24日
专知会员服务
48+阅读 · 2020年9月20日
专知会员服务
31+阅读 · 2020年9月13日
【SIGIR 2020】 基于协同注意力机制的知识增强推荐模型
专知会员服务
91+阅读 · 2020年7月23日
相关资讯
WSDM22@教程 | 基于图神经网络的推荐系统
机器学习与推荐算法
8+阅读 · 2022年2月28日
基于图的推荐系统进展总结, 共包含11篇文献
机器学习与推荐算法
3+阅读 · 2022年2月26日
图神经网络适合做推荐系统吗?
机器学习与推荐算法
1+阅读 · 2021年12月15日
基于知识图谱的推荐系统总结
机器学习与推荐算法
4+阅读 · 2021年11月11日
基于对比学习的推荐算法总结
机器学习与推荐算法
1+阅读 · 2021年9月16日
Attention机制在深度推荐算法中的总结
机器学习与推荐算法
0+阅读 · 2021年9月15日
【推荐系统】详解基于内容的推荐算法
产业智能官
23+阅读 · 2018年1月11日
相关基金
国家自然科学基金
0+阅读 · 2015年12月31日
国家自然科学基金
5+阅读 · 2015年12月31日
国家自然科学基金
5+阅读 · 2014年12月31日
国家自然科学基金
0+阅读 · 2013年12月31日
国家自然科学基金
1+阅读 · 2013年12月31日
国家自然科学基金
0+阅读 · 2012年12月31日
国家自然科学基金
3+阅读 · 2012年12月31日
国家自然科学基金
0+阅读 · 2012年12月31日
国家自然科学基金
0+阅读 · 2012年12月31日
国家自然科学基金
0+阅读 · 2008年12月31日
相关论文
Arxiv
0+阅读 · 2022年4月20日
Arxiv
0+阅读 · 2022年4月19日
Arxiv
19+阅读 · 2020年7月13日
Arxiv
20+阅读 · 2019年11月23日
Heterogeneous Deep Graph Infomax
Arxiv
12+阅读 · 2019年11月19日
Domain Representation for Knowledge Graph Embedding
Arxiv
14+阅读 · 2019年9月11日
Arxiv
24+阅读 · 2018年10月24日
Top
微信扫码咨询专知VIP会员