帝国理工学院134页机器学习中的数学知识(附下载)

2018 年 9 月 18 日 专知

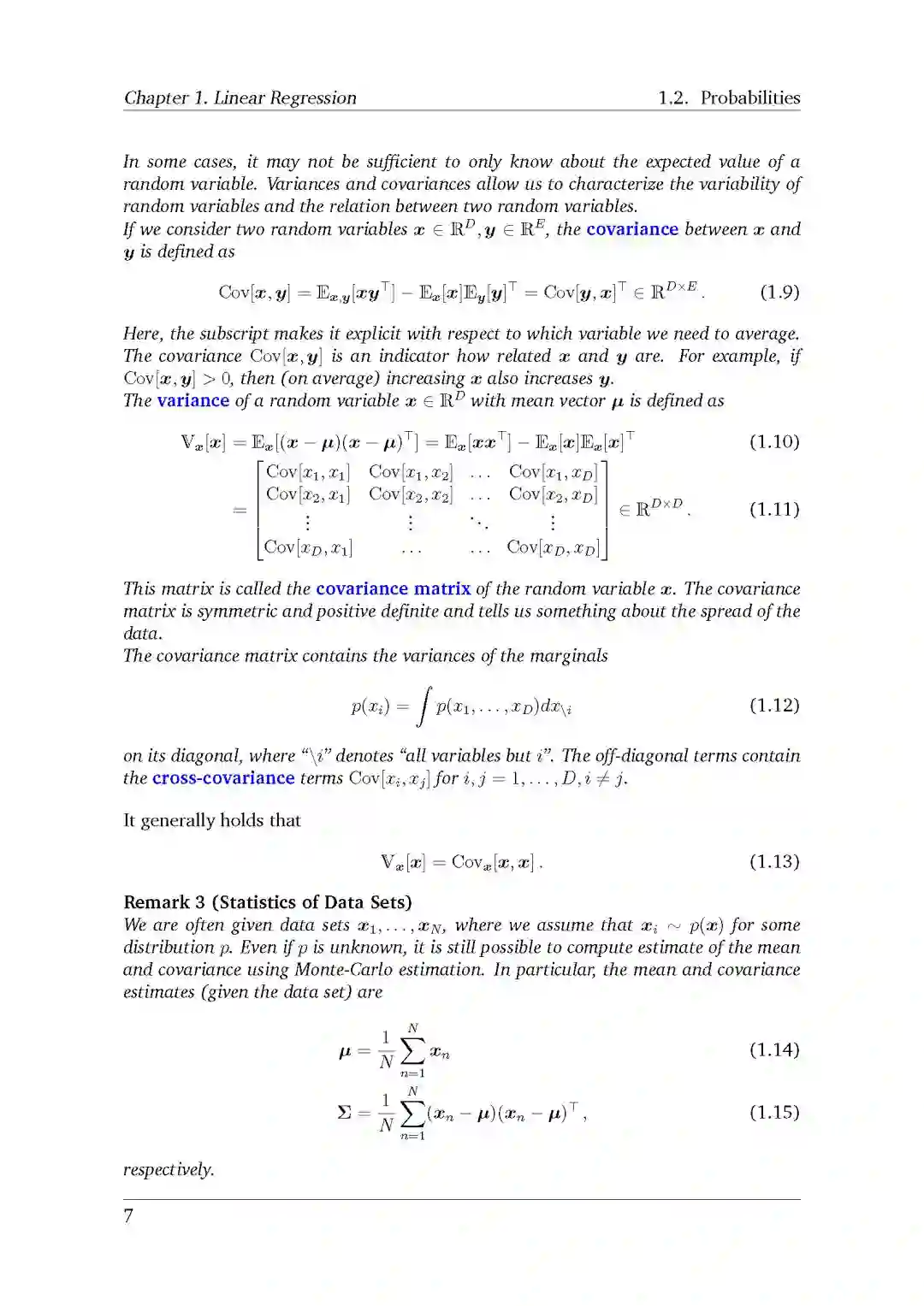
【导读】最近,帝国理工学院计算机系统计机器学习的老师Marc Deisenroth撰写的134页"Mathematics for Machine Learning" 机器学习中的数学知识,深入浅出地介绍了常见的机器学习方法和其应用,比如主成分分析(PCA),线性判别分析,贝叶斯线性回归和支持向量机(SVM)等,是学习机器学习的比较不错的讲义。



【Introduction】这些讲义为伦敦帝国理工学院计算机系的“机器学习中的数学”课程提供支持。该课程的目的是为学生提供理解,设计和实施现代统计机器学习方法和推理机制所必需的基本数学背景和技能。 本课程将重点介绍使用机器学习和推理方法的数学原理和实现机制,如主成分分析(PCA),线性判别分析,贝叶斯线性回归和支持向量机(SVM)。


请关注专知公众号(扫一扫最下面专知二维码,或者点击上方蓝色专知),

  • 后台回复“MML” 就可以获取最新PDF下载链接~ 


参考链接:

https://www.doc.ic.ac.uk/~mpd37/teaching/2017/496/notes.pdf


附PDF全文:


请关注专知公众号(扫一扫最下面专知二维码,或者点击上方蓝色专知),

  • 后台回复“MML” 就可以获取最新PDF下载链接~ 


参考链接:

https://www.doc.ic.ac.uk/~mpd37/teaching/2017/496/notes.pdf


-END-

专 · 知


人工智能领域26个主题知识资料全集获取与加入专知人工智能服务群: 欢迎微信扫一扫加入专知人工智能知识星球群,获取专业知识教程视频资料和与专家交流咨询!


请PC登录www.zhuanzhi.ai或者点击阅读原文,注册登录专知,获取更多AI知识资料!


请加专知小助手微信(扫一扫如下二维码添加),加入专知主题群(请备注主题类型:AI、NLP、CV、 KG等)交流~

 AI 项目技术 & 商务合作:[email protected], 或扫描上面二维码联系!

请关注专知公众号,获取人工智能的专业知识!

点击“阅读原文”,使用专知

登录查看更多
1

相关内容

【经典书】人工智能及机器学习导论,457页pdf
专知会员服务
169+阅读 · 2020年7月5日
【经典书】机器学习高斯过程,266页pdf
专知会员服务
235+阅读 · 2020年5月2日
机器学习速查手册,135页pdf
专知会员服务
345+阅读 · 2020年3月15日
421页《机器学习数学基础》最新2019版PDF下载
448页伊利诺伊大学《算法》图书-附下载
专知
15+阅读 · 2018年12月31日
机器学习数学基础【附PPT下载】
专知
46+阅读 · 2018年9月17日
181页机器学习Python介绍书籍pdf下载
专知
18+阅读 · 2018年8月11日
Seeing What a GAN Cannot Generate
Arxiv
8+阅读 · 2019年10月24日
Area Attention
Arxiv
5+阅读 · 2019年2月5日
Arxiv
12+阅读 · 2018年9月5日
Arxiv
5+阅读 · 2018年5月1日
Arxiv
3+阅读 · 2018年2月24日
Arxiv
4+阅读 · 2018年1月19日
VIP会员
最新内容
人工智能在战场行动中的演进及伊朗案例
专知会员服务
6+阅读 · 4月18日
美AI公司Anthropic推出网络安全模型“Mythos”
专知会员服务
4+阅读 · 4月18日
【博士论文】面向城市环境的可解释计算机视觉
大语言模型的自改进机制:技术综述与未来展望
《第四代军事特种作战部队选拔与评估》
专知会员服务
3+阅读 · 4月18日
相关论文
Seeing What a GAN Cannot Generate
Arxiv
8+阅读 · 2019年10月24日
Area Attention
Arxiv
5+阅读 · 2019年2月5日
Arxiv
12+阅读 · 2018年9月5日
Arxiv
5+阅读 · 2018年5月1日
Arxiv
3+阅读 · 2018年2月24日
Arxiv
4+阅读 · 2018年1月19日
Top
微信扫码咨询专知VIP会员