引入鲁棒性作为连续参数,这种新的损失函数实现了自适应、随时变换

2020 年 10 月 23 日 机器之心
选自towardsdatascience

作者:Saptashwa Bhattacharyya
机器之心编译
编辑:陈萍

损失函数是机器学习里最基础也是最为关键的一个要素,其用来评价模型的预测值和真实值不一样的程度。最为常见的损失函数包括平方损失、指数损失、log 对数损失等损失函数。这里回顾了一种新的损失函数,通过引入鲁棒性作为连续参数,该损失函数可以使围绕最小化损失的算法得以推广,其中损失的鲁棒性在训练过程中自动自我适应,从而提高了基于学习任务的性能。



这篇文章对 CVPR 2019 的一篇论文《A General and Adaptive Robust Loss Function》进行了回顾性综述,主要讲述了为机器学习问题开发鲁棒以及自适应的损失函数。论文作者为谷歌研究院的研究科学家 Jon Barron。


论文地址:https://arxiv.org/pdf/1701.03077.pdf

异常值(Outlier)与鲁棒损失

考虑到机器学习问题中最常用的误差之一——均方误差(Mean Squared Error, MSE),其形式为:(y-x)²。该损失函数的主要特征之一是:与小误差相比,对大误差的敏感性较高。并且,使用 MSE 训练出的模型将偏向于减少最大误差。例如,3 个单位的单一误差与 1 个单位的 9 个误差同等重要。

下图为使用 Scikit-Learn 创建的示例,演示了在有 / 无异常值影响的情况下,拟合是如何在一个简单数据集中变化的。

MSE 以及异常值的影响。

如上图所示,包含异常值的拟合线(fit line)受到异常值的较大影响,但是优化问题应要求模型受内点(inlier)的影响更大。在这一点上,你可能认为平均绝对误差(Mean Absolute Error, MAE)会优于 MSE,因为 MAE 对大误差的敏感性较低。也不尽然。目前有各种类型的鲁棒损失(如 MAE),对于特定问题,可能需要测试各种损失。

所以,这篇论文引入一个泛化的损失函数,其鲁棒性可以改变,并且可以在训练网络的同时训练这个超参数,以提升网络性能。与网格搜索(grid-search)交叉验证寻找最优损失函数相比,这种损失函数花费的时间更少。让我们从下面的几个定义开始讲解:

鲁棒性与自适应损失函数的一般形式:

公式 1:鲁棒性损失,其中α为超参数,用来控制鲁棒性。

α控制损失函数的鲁棒性。c 可以看作是一个尺度参数,在 x=0 邻域控制弯曲的尺度。由于α作为超参数,我们可以看到,对于不同的α值,损失函数有着相似的形式。

公式 2:不同α值对应不同的自适应性损失。

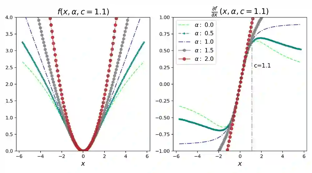
在α=0 和α=2 时,损失函数是未定义的,但利用极限可以实现近似。从α=2 到α=1,损失函数平稳地从 L2 损失过渡到 L1 损失。对于不同的α值,我们可以绘制不同的损失函数,如下图 2 所示。

导数对于优化损失函数非常重要。下面研究一下这个损失函数的一阶导数,我们知道,梯度优化涉及到导数。对于不同的α值,x 的导数如下所示。下图 2 还绘制了不同α的导数和损失函数。

公式 3:鲁棒损失(表达式 1)对于不同的α的值相对于 x 的导数

自适应损失及其导数

下图对于理解此损失函数及其导数非常重要。在下图 2 中,尺度参数 c 固定为 1.1。当 x = 6.6 时,可以将其视为 x = 6×c。可以得出以下有关损失及其导数的推论:

1. 当 x、α和 c>0 时,损失函数是光滑的,因此适合于基于梯度的优化;
2. 损失函数总是在原点为零,并且在 | x |>0 时单调增加。损失的单调性也可以与损失的对数进行比较;
3. 损失也随着α的增加而单调增加。此属性对于损失函数的鲁棒性很重要,因为可以从较高的α值开始,然后在优化过程中逐渐减小(平滑)以实现鲁棒的估计,从而避免局部最小值;
4. 当 | x |<c 时,对于不同的α值,导数几乎是线性的。这意味着当导数很小时,它们与残差的大小成正比;
5. 对于α= 2,导数始终与残差的大小成正比。通常,这是 MSE(L2)损失的特性;
6. 对于α=1(L1 损失),我们看到导数的幅度在 | x |>c 之外饱和至一个常数值(正好是 1/c)。这意味着残差的影响永远不会超过一个固定的量;
7. 对于α<1,导数的大小随着 | x |>c 而减小。这意味着当残差增加时,它对梯度的影响较小,因此异常值在梯度下降过程中的影响较小。

图 2:损失函数及其导数与α的关系。

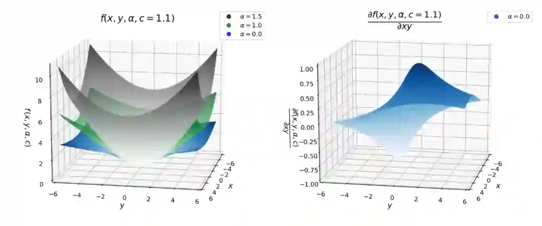
图 3:自适应损失函数(左)及其导数(右)的曲面图。

鲁棒损失的实现:Pytorch 和 Google Colab

关于鲁棒损失的理论掌握了,怎么实现呢?使用的代码在 Jon Barron 的 GitHub 项目「robust_loss_pytorch」中稍加修改。此外还创建了一个动画来描述随着迭代次数的增加,自适应损失如何找到最佳拟合线。

GitHub 地址:https://github.com/jonbarron/arom_loss_pytorch  
不需要克隆存储库,我们可以使用 Colab 中的 pip 在本地安装它。

   
   
     
!pip install git+https://github.com/jonbarron/robust_loss_pytorch import robust_loss_pytorch

此外还创建了一个简单的线性数据集,包括正态分布的噪声和异常值。

首先,由于使用了 Pythorch 库,利用 torch 将 x, y 的 numpy 数组转换为张量。

   
   
     
import numpy as np import torch scale_true = 0.7 shift_true = 0.15 x = np.random.uniform(size=n) y = scale_true * x + shift_true y = y + np.random.normal(scale=0.025, size=n) # add noise flip_mask = np.random.uniform(size=n) > 0.9 y = np.where(flip_mask, 0.05 + 0.4 * (1. — np.sign(y — 0.5)), y) # include outliers x = torch.Tensor(x) y = torch.Tensor(y)

其次,使用 pytorch 模块定义线性回归类,如下所示:

   
   
     
class RegressionModel(torch.nn.Module): def __init__(self): super(RegressionModel, self).__init__() self.linear = torch.nn.Linear(1, 1) ## applies the linear transformation. def forward(self, x): return self.linear(x[:,None])[:,0] # returns the forward pass

接下来,用线性回归模型拟合自创建的线性数据集,首先使用损失函数的一般形式。这里使用一个固定值α(α=2.0),它在整个优化过程中保持不变。正如在α=2.0 时看到的,损失函数等效 L2 损失,这对于包括异常值在内的问题不是最优的。对于优化,使用学习率为 0.01 的 Adam 优化器。

   
   
     
regression = RegressionModel() params = regression.parameters() optimizer = torch.optim.Adam(params, lr = 0.01) for epoch in range(2000): y_i = regression(x) # Use general loss to compute MSE, fixed alpha, fixed scale. loss = torch.mean(robust_loss_pytorch.general.lossfun( y_i — y, alpha=torch.Tensor([2.]), scale=torch.Tensor([0.1]))) optimizer.zero_grad() loss.backward() optimizer.step()

利用鲁棒损失函数的一般形式和固定α值,可以得到拟合线。原始数据、真直线(生成数据点时使用的具有相同斜率和偏差的线,排除异常值)和拟合线如下图 4 所示:

图 4:一般损失函数

损失函数的一般形式不允许α发生变化,因此必须手动微调α参数或执行网格搜索进行微调。

此外,正如上图所示,由于使用了 L2 损失,拟合受到异常值的影响。这是一般的情况,但如果使用损失函数的自适应版本,会发生什么呢?调用自适应损失模块,并初始化α,让α在每个迭代步骤中自适应。

   
   
     
regression = RegressionModel() adaptive = robust_loss_pytorch.adaptive.AdaptiveLossFunction( num_dims = 1, float_dtype=np.float32) params = list(regression.parameters()) + list(adaptive.parameters()) optimizer = torch.optim.Adam(params, lr = 0.01) for epoch in range(2000): y_i = regression(x) loss = torch.mean(adaptive.lossfun((y_i — y)[:,None])) # (y_i - y)[:, None] # numpy array or tensor optimizer.zero_grad() loss.backward() optimizer.step()

此外,还有一些额外的代码使用 celluloid 模块,见下图 5。在这里,可以清楚地看到,随着迭代次数的增加,自适应损失如何找到最佳拟合线。这个结果接近真实的线,对于异常值的影响可以忽略不计。

图 5:自适应损失函数如何达到最佳拟合的动画。

原文地址:
https://towardsdatascience.com/the-most-awesome-loss-function-172ffc106c99

Amazon SageMaker实战教程(视频回顾)

Amazon SageMaker 是一项完全托管的服务,可以帮助机器学习开发者和数据科学家快速构建、训练和部署模型。Amazon SageMaker 完全消除了机器学习过程中各个步骤的繁重工作,让开发高质量模型变得更加轻松。

10月15日-10月22日,机器之心联合AWS举办3次线上分享,全程回顾如下:

第一讲:Amazon SageMaker Studio详解
黄德滨(AWS资深解决方案架构师)主要介绍了Amazon SageMaker的相关组件,如studio、autopilot等,并通过在线演示展示这些核心组件对AI模型开发效率的提升。

视频回顾地址:https://app6ca5octe2206.h5.xiaoeknow.com/v1/course/alive/l_5f715443e4b005221d8ea8e3

第二讲:使用Amazon SageMaker 构建一个情感分析「机器人」
刘俊逸AWS应用科学家 主要介绍了情感分析任务背景、使用Amazon SageMaker进行基于Bert的情感分析模型训练、利用AWS数字资产盘活解决方案进行基于容器的模型部署。

视频回顾地址:https://app6ca5octe2206.h5.xiaoeknow.com/v1/course/alive/l_5f715d38e4b0e95a89c1713f

第三讲:DGL图神经网络及其在Amazon SageMaker上的实践
张建(AWS上海人工智能研究院资深数据科学家)主要介绍了图神经网络、DGL在图神经网络中的作用、图神经网络和DGL在欺诈检测中的应用和使用Amazon SageMaker部署和管理图神经网络模型的实时推断。
视频回顾地址: https://app6ca5octe2206.h5.xiaoeknow.com/v1/course/alive/l_5f715d6fe4b005221d8eac5d

© THE END 

转载请联系本公众号获得授权

投稿或寻求报道:[email protected]

登录查看更多
0

相关内容

【NeurIPS 2020】深度学习的不确定性估计和鲁棒性
专知会员服务
50+阅读 · 2020年12月8日
专知会员服务
47+阅读 · 2020年11月13日
基于改进卷积神经网络的短文本分类模型
专知会员服务
26+阅读 · 2020年7月22日
训练技巧 | 功守道:NLP中的对抗训练 + PyTorch实现
PaperWeekly
12+阅读 · 2019年11月13日
再谈人脸识别损失函数综述
人工智能前沿讲习班
14+阅读 · 2019年5月7日
从信息论的角度来理解损失函数
深度学习每日摘要
17+阅读 · 2019年4月7日
换个角度看GAN:另一种损失函数
机器之心
16+阅读 · 2019年1月1日
机器学习者都应该知道的五种损失函数!
数盟
5+阅读 · 2018年6月21日
如何选择合适的损失函数,请看......
人工智能头条
8+阅读 · 2018年6月20日
机器学习(16)之支持向量机原理(二)软间隔最大化
机器学习算法与Python学习
6+阅读 · 2017年9月8日
Arxiv
12+阅读 · 2020年12月10日
Arxiv
13+阅读 · 2019年1月26日
A General and Adaptive Robust Loss Function
Arxiv
8+阅读 · 2018年11月5日
Arxiv
6+阅读 · 2018年1月11日
Arxiv
4+阅读 · 2015年8月25日
VIP会员
最新内容
国外反无人机系统与技术动态
专知会员服务
2+阅读 · 今天12:48
大规模作战行动中的战术作战评估(研究论文)
专知会员服务
3+阅读 · 今天12:21
未来的海战无人自主系统
专知会员服务
2+阅读 · 今天12:05
美军多域作战现状分析:战略、概念还是幻想?
专知会员服务
3+阅读 · 今天11:52
无人机与反无人机系统(书籍)
专知会员服务
14+阅读 · 今天6:45
美陆军2026条令:安全与机动支援
专知会员服务
5+阅读 · 今天5:49
技术、多域威慑与海上战争(报告)
专知会员服务
8+阅读 · 4月13日
相关资讯
训练技巧 | 功守道:NLP中的对抗训练 + PyTorch实现
PaperWeekly
12+阅读 · 2019年11月13日
再谈人脸识别损失函数综述
人工智能前沿讲习班
14+阅读 · 2019年5月7日
从信息论的角度来理解损失函数
深度学习每日摘要
17+阅读 · 2019年4月7日
换个角度看GAN:另一种损失函数
机器之心
16+阅读 · 2019年1月1日
机器学习者都应该知道的五种损失函数!
数盟
5+阅读 · 2018年6月21日
如何选择合适的损失函数,请看......
人工智能头条
8+阅读 · 2018年6月20日
机器学习(16)之支持向量机原理(二)软间隔最大化
机器学习算法与Python学习
6+阅读 · 2017年9月8日
相关论文
Arxiv
12+阅读 · 2020年12月10日
Arxiv
13+阅读 · 2019年1月26日
A General and Adaptive Robust Loss Function
Arxiv
8+阅读 · 2018年11月5日
Arxiv
6+阅读 · 2018年1月11日
Arxiv
4+阅读 · 2015年8月25日
Top
微信扫码咨询专知VIP会员