可逆ResNet:极致的暴力美学

2019 年 3 月 26 日 PaperWeekly


作者丨苏剑林

单位丨广州火焰信息科技有限公司

研究方向丨NLP,神经网络

个人主页丨kexue.fm


今天我们来介绍一个非常“暴力”的模型:可逆 ResNet。


为什么一个模型可以可以用“暴力”来形容呢?当然是因为它确实非常暴力:它综合了很多数学技巧,活生生地(在一定约束下)把常规的 ResNet 模型搞成了可逆的!


 标准ResNet与可逆ResNet对比图。可逆ResNet允许信息无损可逆流动,而标准ResNet在某处则存在“坍缩”现象。


模型出自 Invertible Residual Networks,之前在机器之心也报导过。在这篇文章中,我们来简单欣赏一下它的原理和内容。



可逆模型的点滴


为什么要研究可逆 ResNet 模型?它有什么好处?以前没有人研究过吗? 


可逆的好处


可逆意味着什么? 


意味着它是信息无损的,意味着它或许可以用来做更好的分类网络,意味着可以直接用最大似然来做生成模型,而且得益于 ResNet 强大的能力,意味着它可能有着比之前的 Glow 模型更好的表现。


总而言之,如果一个模型是可逆的,可逆的成本不高而且拟合能力强,那么它就有很广的用途(分类、密度估计和生成任务,等等)。 


而本文要介绍的可逆 ResNet 基本上满足这几点要求,它可逆起来比较简单,而且基本上不改变 ResNet 的拟合能力。因此,我认为它称得上是“美”的模型。 


旧模型的局限


可逆模型的研究由来已久,它们被称为“流模型(flow-based model)”,代表模型有 NICERealNVPGlow,笔者曾撰文介绍过它们,另外还有一些自回归流模型。除了用来做生成模型,用可逆模型来做分类任务的也有研究,代表作是 RevNet [1]i-RevNet [2]。 


这些流模型的设计思路基本上都是一样的:通过比较巧妙的设计,使得模型每一层的逆变换比较简单,而且雅可比矩阵是一个三角阵,从而雅可比行列式很容易计算。


这样的模型在理论上很优雅漂亮,但是有一个很严重的问题:由于必须保证逆变换简单和雅可比行列式容易计算,那么每一层的非线性变换能力都很弱。事实上像 Glow 这样的模型,每一层只有一半的变量被变换,所以为了保证充分的拟合能力,模型就必须堆得非常深(比如 256 的人脸生成,Glow 模型堆了大概 600 个卷积层,两亿参数量),计算量非常大。 


硬“杠”残差模型


而这一次的可逆 ResNet 跟以往的流模型不一样,它就是在普通的 ResNet 结构基础上加了一些约束,就使得模型成为可逆的,实际上依然保留了 ResNet 的基本结构和大部分的拟合能力。这样一来,以往我们在 ResNet 的设计经验基本上还可以用,而且模型不再需要像 Glow 那样拼命堆卷积了。 


当然,这样做是有代价的,因为没有特别的设计,所以我们需要比较暴力的方法才能获得它的逆函数和雅可比行列式。所以,这次的可逆 ResNet,很美,但也很暴力,称得上是“极致的暴力美学”。


可逆“三要素” 


ResNet 模型的基本模块就是:



也就是说本来想用一个神经网络拟合 y 的,现在变成了用神经网络拟合 y−x 了,其中 x,y 都是向量(张量)。这样做的好处是梯度不容易消失,能训练深层网络,让信息多通道传输,等等。可逆的意思就是 x+g(x) 是一个一一映射,也就是说每个 x 只有一个 y 与之对应,反过来也是,换言之我们理论中可以从中解出反函数 x=h(y) 来。


背景就不多说了,但是要说明一点,我们在分类问题中用的广义上的 ResNet,是允许通过 1×1 卷积改变维度的,但这里的 ResNet 指的是不改变维度的 ResNet,也就是说 x,y 的大小保持一样


对于一个号称“可逆”的模型,必须要回答三个问题:


  • 什么时候可逆?

  • 逆函数是什么?

  • 雅可比行列式怎么算?


从难度上来看,这三个问题是层层递进的。当然,如果你只关心做分类问题,那么事实上保证第一点就行了;如果你关心重构图片,那么就需要第二点;如果你还想像 Glow 那样用最大似然来训练生成模型,那么就需要第三点。 


下面按照原论文的思路,逐一解决这三个问题(三道“硬菜”),来一场暴力盛宴。 


什么时候可逆?


第一道硬菜是三道硬菜中相对容易啃的,当然只是“相对”,事实上也都用到了泛函分析的一些基础知识了。 


因为 (1) 是 ResNet 的基本模块,所以我们只需要保证每个模块都可逆就行了。而 (1) 可逆的一个充分条件是:



其中:



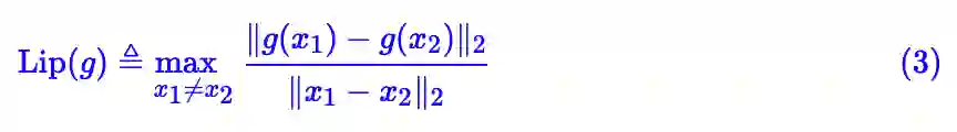
是函数 g 的 Lipschitz 范数。也就是说,g 的 Lipschitz 范数小于 1,就能保证 (1) 可逆了。


那什么时候 g 的 Lipschitz 范数才会小于 1 呢?因为 g 是神经网络,卷积和全连接都无妨,神经网络是由矩阵运算和激活函数组合而成的,即代表结构是:



那么由链式法则,“g 的 Lipschitz 范数小于 1”的一个充分条件是“Activation 的 Lipschitz 范数不超过 1”且“Wx+b 的 Lipschitz 范数小于 1”。而 Activation 只是个标量函数,“Lipschitz 范数不超过 1”意味着导数不超过 1 就行了,目前我们常用的激活函数(sigmoid、tanh、relu、elu、swish 等)都满足,所以这一点不用管它;而“Wx+b 的 Lipschitz 范数小于 1”,意味着矩阵 W 的 Lipschitz 范数小于 1。


矩阵 W 的 Lipschitz 范数其实也就是“谱范数”,记为 Lip(W) 或都行。那啥时候出现过矩阵的谱范数?在《深度学习中的 Lipschitz 约束:泛化与生成模型》一文中我们讨论 Lipschitz 约束的时候就出现过,两者结合起来,结论就是:


对模型 g 的所有核权重 W 做谱归一化,然后乘上一个大于 0 小于 1 的系数 c(即),就可以使得 x+g(x) 可逆了。


逆函数是什么?


为什么这样就可逆了?证明过程可以直接回答第二个问题,也就是说,我们直接把逆函数求出来,然后就知道什么条件下可逆了。 


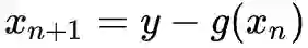
假如 y=x+g(x) 是可逆的,那么我们要想办法求出逆函数 x=h(y),这其实就是解一个非线性方程组。简单起见,我们考虑迭代:



显然,迭代序列 {Xn} 是跟 y 有关的,而一旦 {Xn} 收敛到某个固定的函数:



那么我们就有,这意味着就是我们希望求的 x=h(y)。


换句话说,如果迭代 (5) 收敛,那么收敛的结果就是 x+g(x) 的逆函数。所以我们只需要搞清楚 (5) 什么时候收敛。这时候前面的条件 Lip(g)<1 就能用上了,我们有:



所以:



可以看到,的充分条件是 Lip(g)<1。


附:单纯指出并不能说明序列 {Xn} 收敛,比如 {lnn} 这个序列也满足这个条件,但发散。所以,为了证明 Lip(g)<1 时 {Xn} 收敛,我们还需要多做一些工作。不过这是比较数学的部分了,考虑到部分读者可能不感兴趣,因此作为附注。


对于任意正整数 k,我们继续考虑



可以看到我们得到了的一个上界,它只与 n 有关,且可以任意小。也就是说,对于任意 ε>0,我们可以找到一个 n,使得对于任意的正整数 k 都有。这样的数列我们称为 Cauchy 列,它是必然收敛的。


至此,我们终于证明了 {Xn} 的收敛性。顺便一提的是,在 (9) 中,取 k→∞,我们得到:



也就是说,这个迭代算法的收敛速度跟正比于,那么自然是 Lip(g) 越小收敛越快,但是 Lip(g) 越小模型的拟合能力越弱,原论文中它的范围是 0.5~0.9。


说宏大一点,其实这就是泛函分析中的“巴拿赫不动点定理”,又称“压缩映射定理”(因为 Lip(g) 小于 1,所以 g 被称为一个压缩映射)。


这样一来,我们已经回答了为什么 Lip(g)<1 就有 x+g(x) 可逆了,同时已经给出了求逆函数的方法——就是通过 (5) 迭代到足够的精度:


当做好归一化操作使得 x+g(x) 可逆后,它的逆函数为的不动点。数值计算时,只需要迭代一定步数,使得满足精度要求即可。


终于,我们啃下了第二道硬菜。


雅可比行列式怎么算?


下面来到三个问题中最“硬核”的一个问题:雅可比行列式怎么算?为了解决它,作者综合了数学分析、矩阵论、概率论、统计采样等多方面数学工具,堪称“暴力之最”、“硬菜之最”。 


首先,为什么要算雅可比行列式?前面已经说了,只有做生成模型时才有这个必要,具体细节请参考笔者最早的对流模型的介绍《细水长flow之NICE:流模型的基本概念与实现》。接着,我们知道雅可比行列式就是雅可比矩阵的行列式,所以要把雅可比矩阵算出来:



再次提醒,虽然我偷懒没有加粗,但这里的 g 输出是一个向量,x 也是一个向量,∂g/∂x 实际上就是输入和输出两两配对求偏导数,结果是一个矩阵(雅可比矩阵)。


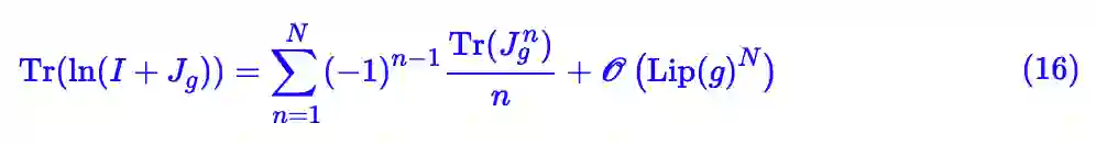
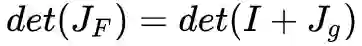
然后,雅可比行列式就是,但事实上,在做生成模型的时候,我们真正要算的,是“雅可比行列式的绝对值的对数”,即:



最后一个恒等号,是因为 det(I+Jg) 一定是正数,所以可以去掉绝对值。这是可以证明的,但只是细节部分,我们就不纠结了,读者自行去看作者提供的参考文献吧。 


然后呢?直接按定义来计算雅可比行列式?不行,因为这样子计算量实在是太大了,而且反向传播的时候,还要算行列式的导数,那就更复杂了。作者们想出了繁琐但有效的解决方法,利用恒等式(参考《恒等式 det(exp(A)) = exp(Tr(A)) 赏析》[3]):



我们得到:



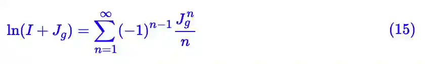
如果能求出 ln(I+Jg) 来,然后求迹(trace,对角线元素之和)就行了。怎么求 ln(I+Jg) 呢?还是参考《恒等式 det(exp(A)) = exp(Tr(A)) 赏析》[3],暴力展开:



注意这个级数收敛的条件是,这正好意味着 Lip(g)<1,而这正是可逆 ResNet 的约束,前后完全自洽。


现在 ln(I+Jg) 变成了一个无穷级数,如果截断 n 项,那么误差也正比于,所以我们要看 Lip(g) 来决定截断的数目。于是我们可以写出:



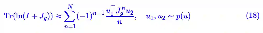
问题解决了吗?上式需要我们去计算,注意 Jg 是一个矩阵,我们要算矩阵的 n 次方(想想算两个矩阵乘法的工作量)。于是作者们想:既然分析的工具用完了,那我们就上概率统计吧。


假设 p(u) 是一个多元概率分布,其均值为 0、协方差为单位矩阵(显然标准正态分布符合要求),那么对于任意矩阵 A,我们有:



利用“均值为 0、协方差为单位矩阵”这个性质,直接按定义就可以证明上式了,并不困难。然后,作者提出了一个显得“既无赖又合理”的方法:对于每次迭代,我只从 p(u) 中随机选两个向量 u1,u2 出来,然后认为就是 Tr(A),即:



读者可能就有意见了,不是要对所有向量求平均吗?只随机挑两个就行了?其实还真的是可以了,理由如下:


1. 我们优化都是基于随机梯度下降的,本来就带有误差,而只随机挑两个也有误差,而每步迭代都重新挑不同的 u1,u2,在一定程度上就能抵消误差;


2. 更重要的原因是,我们要算雅可比行列式的对数,只是用它来做一个额外的 loss,来保证模型不会坍缩,简单来讲,可以将它看称一个正则项,而既然是一个正则项,有点误差也无妨。


所以,的计算就被作者用这么粗暴(又有效)的方案解决了。注意到:



所以不需要把算出来,而是每步只需要算一个矩阵与一个向量的乘法,并且每步计算可以重复利用,因此计算量是大大减少的。


所以,最终可以总结为:将雅可比矩阵做对数级数展开 (15),然后将行列式计算转化为迹的计算 (16),并且利用概率采样的方式 (18),就可以最高效地计算雅可比行列式。


纵观实验效果


其实笔者一开始是就被“可逆 ResNet”这么美好的构思吸引过来的,但是看到这里,我发现我也怂了,这绝对对得起“硬杠 ResNet”的评价呀。本来想对照着好歹实现个 mnist 的生成来玩玩,后来确认有这么多技巧,如此之暴力,我也放弃了。 


所以,还是来看看原论文的实验结果好了。 


Toy数据集


首先是一个人造的 Toy 数据集,也就是构造一些有规律的随机点来,然后用生成模型去拟合它的分布,GAN 中也常做这样的实验。


从下图可以看到可逆 ResNet 的效果比 Glow 好得多,归根结底,我觉得是因为可逆 ResNet 是一个很对称的、没有什么偏置的模型,而 Glow 则是有偏的,它需要我们以某种方式打乱输入,然后对半切分,对半之后两部分的运算是不一样的,这就带来了不对称。


 可逆ResNet实验:Toy数据集


类任务实验 


一开始我们就说了,既然是 ResNet 的一种,最基本的用途就是分类了。下表表明用可逆 ResNet 做分类任务,效果也是很不错的,Lipschitz 约束的存在不会明显影响分类结果(表中的 c 就是 Lip(g))。


 可逆ResNet实验:分类效果


生成模型实验


其实流模型系列在生成复杂图片方面还远比不上 GAN,但相互之间的定量对比倒没有问题。下图也表明可逆 ResNet 作为一个基于流的生成模型方面也是很优秀的。


 可逆ResNet实验:生成模型效果


终于可以收工了


这样活生生地取硬杠 ResNet 可真是一件苦力活,我就单纯的解读就已经这么累了,真佩服作者的数学功底。当然,最后作者终究还是成功了,想必成功的喜悦也是很丰盛的。总的来说,整个工作很暴力,但细细品味之下并没有什么违和感,反倒是有一种浑然的美感在里边,并非简单的堆砌数学公式。


唯一的问题是,整个“硬杠”的流程还是挺复杂的,因此要推广使用还是得有好的封装,而这往往就让很多人望而却步了。还有一个问题,就是流模型系列为了保证可逆,自然是不能降维的,但不降维必然就导致计算量大,这是个矛盾的地方。


一个有趣的想法是,对于降维的情形,能不能搞个类似矩阵的“伪逆”那样的模型,来达到类似可逆ResNet的效果呢?非方阵也可以搞个行列式出来的(比如《再谈非方阵的行列式》[4]),因此降维变换也应该能够搞个雅可比行列式的对数出来。貌似不少地方是可以推广过来的。


流模型后面的方向究竟如何呢?让我们拭目以待。


参考文献


[1] Aidan N. Gomez, Mengye Ren, Raquel Urtasun, Roger B. Grosse. The Reversible Residual Network: Backpropagation Without Storing Activations. arXiv preprint arXiv:1707.04585, 2017. 7

[2] Jörn-Henrik Jacobsen, Arnold Smeulders, Edouard Oyallon. i-RevNet: Deep Invertible Networks. In Proceedings of the International Conference on Learning Representations (ICLR), 2018.

[3] https://kexue.fm/archives/6377

[4] https://kexue.fm/archives/6096




点击以下标题查看作者其他文章: 





#投 稿 通 道#

 让你的论文被更多人看到 



如何才能让更多的优质内容以更短路径到达读者群体,缩短读者寻找优质内容的成本呢? 答案就是:你不认识的人。


总有一些你不认识的人,知道你想知道的东西。PaperWeekly 或许可以成为一座桥梁,促使不同背景、不同方向的学者和学术灵感相互碰撞,迸发出更多的可能性。 


PaperWeekly 鼓励高校实验室或个人,在我们的平台上分享各类优质内容,可以是最新论文解读,也可以是学习心得技术干货。我们的目的只有一个,让知识真正流动起来。


📝 来稿标准:

• 稿件确系个人原创作品,来稿需注明作者个人信息(姓名+学校/工作单位+学历/职位+研究方向) 

• 如果文章并非首发,请在投稿时提醒并附上所有已发布链接 

• PaperWeekly 默认每篇文章都是首发,均会添加“原创”标志


📬 投稿邮箱:

• 投稿邮箱:[email protected] 

• 所有文章配图,请单独在附件中发送 

• 请留下即时联系方式(微信或手机),以便我们在编辑发布时和作者沟通




🔍


现在,在「知乎」也能找到我们了

进入知乎首页搜索「PaperWeekly」

点击「关注」订阅我们的专栏吧



关于PaperWeekly


PaperWeekly 是一个推荐、解读、讨论、报道人工智能前沿论文成果的学术平台。如果你研究或从事 AI 领域,欢迎在公众号后台点击「交流群」,小助手将把你带入 PaperWeekly 的交流群里。


▽ 点击 | 阅读原文 | 查看作者博客

登录查看更多
2

相关内容

【CVPR 2020-商汤】8比特数值也能训练卷积神经网络模型
专知会员服务
26+阅读 · 2020年5月7日
【ACL2020-伯克利】预训练Transformer提高分布外鲁棒性
专知会员服务
20+阅读 · 2020年4月14日
[CVPR 2020-港中文-MIT] 神经架构搜索鲁棒性
专知会员服务
26+阅读 · 2020年4月7日
【CVPR2020】MSG-GAN:用于稳定图像合成的多尺度梯度GAN
专知会员服务
29+阅读 · 2020年4月6日
自回归模型:PixelCNN
专知会员服务
29+阅读 · 2020年3月21日
【ICLR-2020】网络反卷积,NETWORK DECONVOLUTION
专知会员服务
39+阅读 · 2020年2月21日
一文读懂线性回归、岭回归和Lasso回归
CSDN
34+阅读 · 2019年10月13日
对 ResNet 本质的一些思考
新智元
6+阅读 · 2019年4月12日
“噪声对比估计”杂谈:曲径通幽之妙
PaperWeekly
6+阅读 · 2018年6月15日
文本分类问题不需要ResNet?小夕解析DPCNN设计原理(下)
夕小瑶的卖萌屋
5+阅读 · 2018年4月7日
文本分类问题不需要ResNet?小夕解析DPCNN设计原理(上)
夕小瑶的卖萌屋
36+阅读 · 2018年4月3日
[深度学习] AlexNet,GoogLeNet,VGG,ResNet简化版
机器学习和数学
20+阅读 · 2017年10月13日
Arxiv
6+阅读 · 2019年4月8日
UPSNet: A Unified Panoptic Segmentation Network
Arxiv
4+阅读 · 2019年1月12日
VIP会员
最新内容
战争机器学习:数据生态系统构建(155页)
专知会员服务
6+阅读 · 今天8:10
内省扩散语言模型
专知会员服务
5+阅读 · 4月14日
国外反无人机系统与技术动态
专知会员服务
3+阅读 · 4月14日
大规模作战行动中的战术作战评估(研究论文)
未来的海战无人自主系统
专知会员服务
3+阅读 · 4月14日
美军多域作战现状分析:战略、概念还是幻想?
无人机与反无人机系统(书籍)
专知会员服务
19+阅读 · 4月14日
美陆军2026条令:安全与机动支援
专知会员服务
9+阅读 · 4月14日
相关VIP内容
【CVPR 2020-商汤】8比特数值也能训练卷积神经网络模型
专知会员服务
26+阅读 · 2020年5月7日
【ACL2020-伯克利】预训练Transformer提高分布外鲁棒性
专知会员服务
20+阅读 · 2020年4月14日
[CVPR 2020-港中文-MIT] 神经架构搜索鲁棒性
专知会员服务
26+阅读 · 2020年4月7日
【CVPR2020】MSG-GAN:用于稳定图像合成的多尺度梯度GAN
专知会员服务
29+阅读 · 2020年4月6日
自回归模型:PixelCNN
专知会员服务
29+阅读 · 2020年3月21日
【ICLR-2020】网络反卷积,NETWORK DECONVOLUTION
专知会员服务
39+阅读 · 2020年2月21日
相关资讯
一文读懂线性回归、岭回归和Lasso回归
CSDN
34+阅读 · 2019年10月13日
对 ResNet 本质的一些思考
新智元
6+阅读 · 2019年4月12日
“噪声对比估计”杂谈:曲径通幽之妙
PaperWeekly
6+阅读 · 2018年6月15日
文本分类问题不需要ResNet?小夕解析DPCNN设计原理(下)
夕小瑶的卖萌屋
5+阅读 · 2018年4月7日
文本分类问题不需要ResNet?小夕解析DPCNN设计原理(上)
夕小瑶的卖萌屋
36+阅读 · 2018年4月3日
[深度学习] AlexNet,GoogLeNet,VGG,ResNet简化版
机器学习和数学
20+阅读 · 2017年10月13日
Top
微信扫码咨询专知VIP会员