【干货】计算机视觉实战系列07——用Python做图像处理

2018 年 4 月 16 日 专知 Hui

【导读】专知成员Hui上一次为大家介绍SciPy库的使用以及图像高斯模糊实战,这一次继续为大家详细讲解SciPy库的使用以及图像导数实战。


【干货】计算机视觉实战系列01——用Python做图像处理(基本的图像操作和处理)

【干货】计算机视觉实战系列02——用Python做图像处理(Matplotlib基本的图像操作和处理)

【干货】计算机视觉实战系列03——用Python做图像处理(Numpy基本操作和图像灰度变换)

【干货】计算机视觉实战系列04——用Python做图像处理(图像的缩放、均匀操作和直方图均衡化)

【干货】计算机视觉实战系列05——用Python做图像处理(主成分分析)

【干货】计算机视觉实战系列06——用Python做图像处理(图像高斯模糊分析)



SciPy库的应用——图像导数实战


SciPy



 

SciPy是建立在NumPy基础上,用于数值运算的开源工具包。SciPy提供很多高效的操作,可以实现数值积分、优化、统计、信号处理,以及对我们来说最重要的图像处理功能。接下来,本节会介绍SciPy中大量有用的模块。SciPy是一个开源工具包,可以从http://scipy.org/Download下载。

图像导数




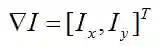
在整个图像处理的学习过程中可以看到,在很多应用中图像强度的变化情况是非常重要的信息。强度的变化可以用灰度图像I(对于彩色图像,通常对每个颜色通道分别计算导数)的x和y的方向导数进行描述。

图像的梯度向量为:

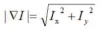
梯度有两个重要的属性,一个是梯度的大小:

它描述了图像变化的强弱,一是梯度的角度:

它描述了图像中在每个点(像素)上强度变化最大的方向。NumPy中的arctan2()函数返回弧度表示的有符号角度,角度的变化区间为

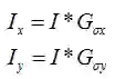
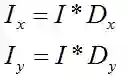
我们可以用离散近似的方式来计算图像的导数。图像的导数大多可以通过卷积简单地实现:

对于,通常选择Prewitt滤波器:


Prewitt边缘算子是一种边缘样板算子,利用像素点上下,左右邻点灰度差,在边缘处达到极值检测边缘,对噪声具有平滑作用。由于边缘点像素的灰度值与其领域点像素的灰度值有显著不同,在实际应用中通常采用微分算子和模板配匹方法检测图像的边缘。

 

或者使用Sobel滤波器,Sobel算法是一种较成熟的微分边缘检测算法,它计算简单,且能产生较好的检测效果,对噪声具有平滑作用,可以提供较为精确的边缘方向信息。

Sobel算子是一阶导数的边缘检测算子,使用两个方向算子(垂直算子和水平算子),对图像进行卷积运算,得到两个矩阵,再求这两个矩阵对应位置的两个数的均方根,得到一个新的矩阵,即为灰度图像矩阵中各个像素点的梯度值。在算法实现过程中,通过3×3模板作为核与图像中的每个像素点做卷积和运算,然后选取合适的阈值以提取边缘。

 

其实图像的梯度可以用一阶导数和二阶偏导数来求解。但是图像以矩阵的形式存储的,不能像数学理论中对直线或者曲线求导一样,对一幅图像的求导相当于对一个平面、曲面求导。对图像的操作,我们采用模板对原图像进行卷积运算,从而达到我们想要的效果。而获取一幅图像的梯度就转化为:模板(Roberts、Prewitt、Sobel、Lapacian算子)对原图像进行卷积,不过这里的模板并不是随便设计的,而是根据数学中求导理论推导出来的。

 

这些导数滤波器可以使用scipy.ndimage.filters模块的标准卷积操作来简单地实现。

代码为:

from PIL import Image
from numpy import *
import matplotlib.pyplot as plt
from scipy.ndimage import filters

im = array(Image.open('test.jpg').convert('L'))

imx = zeros(im.shape)
filters.sobel(im, 1, imx)

imy = zeros(im.shape)
filters.sobel(im, 0, imx)

magnitude = sqrt(imx ** 2 + imy ** 2)

fig = plt.figure(figsize=(30, 30))

plt.subplot(2, 2, 1)
plt.axis('off')
plt.imshow(im, plt.cm.gray)

plt.subplot(2, 2, 2)
plt.axis('off')
plt.imshow(imx, plt.cm.gray)

plt.subplot(2, 2, 3)
plt.axis('off')
plt.imshow(imy, plt.cm.gray)

plt.subplot(2, 2, 4)
plt.axis('off')
plt.imshow(magnitude, plt.cm.gray)

plt.show()


输出结果为:

上述输出结果分别是原始灰度图像、x导数图像、y导数图像、梯度大小图像


这种计算图像导数的方法有一些缺陷,在该方法中,滤波器的尺度需要随着图像分辨率的变化而变化。为了在图像噪声方面更稳健,以及在任意尺度上计算导数,我们使用高斯导数滤波器:

其中表示xy方向上的导数,为标准差为σ的高斯函数。


我们之前用于模糊的filters.gaussian_filter()函数可以接受额外的参数,用来计算高斯导数。可以简单的按照下面的方式来处理:

from PIL import Image
from numpy import *
import matplotlib.pyplot as plt
from scipy.ndimage import filters

im = array(Image.open('test.jpg').convert('L'))

sigma = 3  # 标准差

imx = zeros(im.shape)
filters.gaussian_filter(im, (sigma, sigma), (0, 1), imx)

imy = zeros(im.shape)
filters.gaussian_filter(im, (sigma, sigma), (1, 0), imy)

fig = plt.figure(figsize=(30, 30))

plt.subplot(1, 3, 1)
plt.axis('off')
plt.imshow(im, plt.cm.gray)

plt.subplot(1, 3, 2)
plt.axis('off')
plt.imshow(imx, plt.cm.gray)

plt.subplot(1, 3, 3)
plt.axis('off')
plt.imshow(imy, plt.cm.gray)

plt.show()


输出结果为:

(a)

 

(b)

上面输出结果(a)、(b)中图片依次为:原始灰度图像,x导数图像,y导数图像,而(a),(b)的区别为设置不同的标准差之后的高斯滤波处理图像。



参考文献:

python计算机视觉编程:http://yongyuan.name/pcvwithpython/

-END-

专 · 知

人工智能领域主题知识资料查看获取【专知荟萃】人工智能领域26个主题知识资料全集(入门/进阶/论文/综述/视频/专家等)

请PC登录www.zhuanzhi.ai或者点击阅读原文,注册登录专知,获取更多AI知识资料

请扫一扫如下二维码关注我们的公众号,获取人工智能的专业知识!

请加专知小助手微信(Rancho_Fang),加入专知主题人工智能群交流!加入专知主题群(请备注主题类型:AI、NLP、CV、 KG等)交流~


点击“阅读原文”,使用专知

登录查看更多
3

相关内容

图像处理(image processing),用计算机对图像进行分析,以达到所需结果的技术。又称影像处理。图像处理一般指数字图像处理。数字图像是指用工业相机、摄像机、扫描仪等设备经过拍摄得到的一个大的二维数组,该数组的元素称为像素,其值称为灰度值。
【实用书】Python机器学习Scikit-Learn应用指南,247页pdf
专知会员服务
270+阅读 · 2020年6月10日
最新《自动微分手册》77页pdf
专知会员服务
104+阅读 · 2020年6月6日
【干货书】机器学习Python实战教程,366页pdf
专知会员服务
347+阅读 · 2020年3月17日
计算机视觉最佳实践、代码示例和相关文档
专知会员服务
20+阅读 · 2019年10月9日
实战 | 用Python做图像处理(三)
七月在线实验室
15+阅读 · 2018年5月29日
实战 | 用Python做图像处理(二)
七月在线实验室
17+阅读 · 2018年5月25日
计算机视觉与深度学习实战
炼数成金订阅号
8+阅读 · 2018年2月9日
On Feature Normalization and Data Augmentation
Arxiv
15+阅读 · 2020年2月25日
Arxiv
6+阅读 · 2018年2月24日
Arxiv
7+阅读 · 2018年1月21日
Arxiv
3+阅读 · 2017年12月14日
VIP会员
最新内容
基于数据优化的人机协同与机器人僚机
专知会员服务
3+阅读 · 今天2:08
美陆军设想无人系统司令部
专知会员服务
3+阅读 · 4月15日
【博士论文】已对齐人工智能系统的持久脆弱性
扭曲还是编造?视频大语言模型幻觉研究综述
专知会员服务
4+阅读 · 4月15日
《采用系统思维应对混合战争》125页
专知会员服务
6+阅读 · 4月15日
相关资讯
实战 | 用Python做图像处理(三)
七月在线实验室
15+阅读 · 2018年5月29日
实战 | 用Python做图像处理(二)
七月在线实验室
17+阅读 · 2018年5月25日
计算机视觉与深度学习实战
炼数成金订阅号
8+阅读 · 2018年2月9日
Top
微信扫码咨询专知VIP会员