【机器学习数学基础】动图解释泰勒级数(一)

2018 年 2 月 25 日 机器学习研究会

在遇到一个生僻的概念或者公式时,确认它的几种不同的表述形式(马甲)是很重要,也就是定义问题:我们到底要了解的东西是什么 & 怎么称呼:


泰勒公式(也叫 泰勒展开式、泰勒多项式)
泰勒级数

它是微积分学下的一个重要概念,与之有关联的有:如泰勒定理多元泰勒公式,以拉格朗日型余项为代表的各类余项审敛法牛顿差值公式(牛顿级数)(列出为了进行树状知识整合和梳理)

1
什么是泰勒公式

基本定义:

数学定义,公式各个部分代表什么含义先说清楚

个人粗浅总结,初学者产生记不住的感觉大多数情况下是没有沉下心来想想公式的各部分表示的是什么东西,梳理一下会清晰很多

联想链条

首先拆字

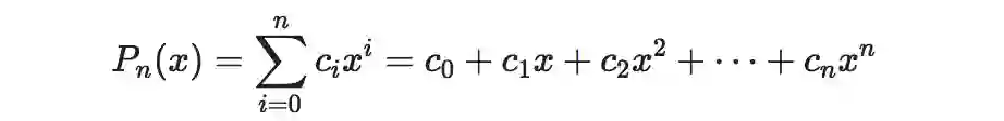
【公式】 <什么公式?>➜ 【多项式】(Polynomials),把多项式的一般形式写出来,这应该是非常容易理解的概念,即指数不仅仅为2的抛物线的组合

【泰勒】<谐音“太乐” ≈ 如果所有小数都能近似成整数那不是太快乐了?> ➜ 近似,获得一个直观理解

  • 泰勒公式通过把【任意函数表达式】转换(重写)为【多项式】形式,是一种极其强大的函数近似工具

为什么说它强大呢?

  • 多项式非常【友好】,三易,易计算,易求导,易积分

  • 几何感觉和计算感觉都很直观,如抛物线和几次方就是底数自己乘自己乘几次

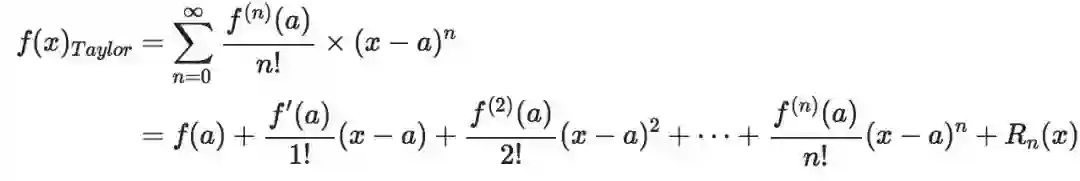
泰勒公式干的事情就是:使用多项式表达式估计(近似)f(x)在x=a附近的值

那么如何近似呢?使用一个例子来加深理解


转自:机器学习算法与自然语言处理


完整内容请点击“阅读原文”

登录查看更多
6

相关内容

泰勒级数的定义 若函数f(x)在点的某一邻域内具有直到(n+1)阶导数,则在该邻域内f(x)的n阶泰勒公式为: f(x)=f(x0)+f`( x0)(x- x0)+f``( x0)(x-x0)²/2!+f```( x0)(x- x0)³/3!+...fn(x0)(x- x0)n/n!+.... 其中:fn(x0)(x- x0)n/n!,称为拉格朗日余项。 以上函数展开式称为泰勒级数。
【哈佛大学】机器学习的黑盒解释性,52页ppt
专知会员服务
172+阅读 · 2020年5月27日
【经典书】机器学习高斯过程,266页pdf
专知会员服务
235+阅读 · 2020年5月2日
干货书《数据科学数学系基础》2020最新版,266页pdf
专知会员服务
326+阅读 · 2020年3月23日
机器学习速查手册,135页pdf
专知会员服务
345+阅读 · 2020年3月15日
【经典书】精通机器学习特征工程,中文版,178页pdf
专知会员服务
360+阅读 · 2020年2月15日
【机器学习课程】Google机器学习速成课程
专知会员服务
171+阅读 · 2019年12月2日
可视化理解四元数,愿你不再掉头发
计算机视觉life
31+阅读 · 2019年1月2日
博客 | 机器学习中的数学基础(凸优化)
AI研习社
14+阅读 · 2018年12月16日
合集 | 更好的解释(数学篇) 1~12
遇见数学
31+阅读 · 2018年10月11日
机器之心最干的文章:机器学习中的矩阵、向量求导
深度学习世界
12+阅读 · 2018年2月7日
[遇见数学] 2017回顾 | 曾经推荐过的好书
遇见数学
4+阅读 · 2017年12月26日
【直观详解】什么是PCA、SVD
机器学习研究会
5+阅读 · 2017年11月10日
【直观详解】支持向量机SVM
机器学习研究会
18+阅读 · 2017年11月8日
机器学习(13)之最大熵模型详解
机器学习算法与Python学习
7+阅读 · 2017年8月24日
【基础数学】- 01
遇见数学
20+阅读 · 2017年7月25日
Arxiv
10+阅读 · 2020年2月15日
Arxiv
19+阅读 · 2018年6月27日
Arxiv
5+阅读 · 2018年3月16日
VIP会员
最新内容
AutoScientists:自组织智能体团队驱动长期科学实验
战略前沿人工智能的再思考(中文)
专知会员服务
2+阅读 · 今天14:53
《量化地基防空系统间接效应的博弈论方法》
专知会员服务
2+阅读 · 今天14:51
“史诗怒火行动”中美军损失的作战飞机
专知会员服务
2+阅读 · 今天14:38
ICML 2026 | 理解上下文持续学习中的泛化与遗忘
专知会员服务
5+阅读 · 5月28日
Agent Harness综述:大模型智能体执行器工程全景
专知会员服务
13+阅读 · 5月28日
《基于理论的威慑效能评估》
专知会员服务
8+阅读 · 5月28日
相关VIP内容
【哈佛大学】机器学习的黑盒解释性,52页ppt
专知会员服务
172+阅读 · 2020年5月27日
【经典书】机器学习高斯过程,266页pdf
专知会员服务
235+阅读 · 2020年5月2日
干货书《数据科学数学系基础》2020最新版,266页pdf
专知会员服务
326+阅读 · 2020年3月23日
机器学习速查手册,135页pdf
专知会员服务
345+阅读 · 2020年3月15日
【经典书】精通机器学习特征工程,中文版,178页pdf
专知会员服务
360+阅读 · 2020年2月15日
【机器学习课程】Google机器学习速成课程
专知会员服务
171+阅读 · 2019年12月2日
相关资讯
可视化理解四元数,愿你不再掉头发
计算机视觉life
31+阅读 · 2019年1月2日
博客 | 机器学习中的数学基础(凸优化)
AI研习社
14+阅读 · 2018年12月16日
合集 | 更好的解释(数学篇) 1~12
遇见数学
31+阅读 · 2018年10月11日
机器之心最干的文章:机器学习中的矩阵、向量求导
深度学习世界
12+阅读 · 2018年2月7日
[遇见数学] 2017回顾 | 曾经推荐过的好书
遇见数学
4+阅读 · 2017年12月26日
【直观详解】什么是PCA、SVD
机器学习研究会
5+阅读 · 2017年11月10日
【直观详解】支持向量机SVM
机器学习研究会
18+阅读 · 2017年11月8日
机器学习(13)之最大熵模型详解
机器学习算法与Python学习
7+阅读 · 2017年8月24日
【基础数学】- 01
遇见数学
20+阅读 · 2017年7月25日
Top
微信扫码咨询专知VIP会员