首次证明:牵手就能同步脑电波,还能缓解疼痛

2019 年 11 月 30 日 量子位
鱼羊 十三 发自 凹非寺 
量子位 报道 | 公众号 QbitAI

握住你的手,我虽然看不穿你的灵魂,但我的脑电波悄悄地和你同步啦。

这不是神棍的胡说八道,而是科学实验证明的结论。

来自以色列海法大学的一项研究表明:

和关系亲密的人身体接触,能让人们的脑电波同步

而且关系越亲密,这种神奇的效应就越明显。

听上去有些不可思议?想起了银河护卫队里能直击灵魂的螳螂女?

银河护卫队Mantis

但实验数据可不会说谎,研究团队的西蒙妮(Simone Shamay-Tsoory)教授表示:

这项研究首次展示了在握手的过程中双方脑电波是同步的。

看来,连科学证据都在告诉你:用肢体表达你的爱意,你可能更懂那个Ta了。

双手紧握,脑波同步

研究人员设置了这样一个脑电图(EEG)实验。

他们请来了22对异性恋伴侣参与实验,年龄在23-32岁之间,没有孩子,并且保持长期恋爱关系。

在实验中,女性受试者会在五种不同的条件下接受疼痛刺激,而她的男性伴侣则作为是否有肢体接触的条件:

  • 触摸+疼痛刺激(touch-pain)

  • 无触摸+疼痛刺激(no-touch-pain)

  • 触摸+无疼痛刺激(touch-no-pain)

  • 无触摸+无疼痛刺激(no-touch-no-pain)

  • 无疼痛刺激、被试不在一起(no-pain-alone,基线条件)

上方为女性,下方是男性。二者的脑电波信号同步采集。

实验一共分为三个阶段

第一阶段是行为分析

触摸+疼痛条件下比无触摸+疼痛的同理心精度(empathic accuracy)要高,这就表明伴侣的触碰增加了同理心精度。

在触摸+疼痛条件下,女性被试者对疼痛程度的评分比无触摸+疼痛和仅有疼痛刺激条件下的要低,确认了触碰具有镇痛效应

第二阶段是脑间连接分析

图中的“target”是女性伴侣(痛苦目标),“observer”是男性伴侣(触摸者),橙色线条代表统计显著的脑间连接,头皮上的颜色代表该区域的连接个数。

不难看出,在特定条件下,双方的大脑区域存在某种耦合的关系

图A:无触摸+无疼痛条件下,脑间连接主要集中在女性的右顶区(right parietal regions)和男性的顶颞枕联合区(parieto-occipito-temporalareas);

图B:触摸+无疼痛条件下,脑间连接主要集中在女性的中心区(central regions)和男性的前中区(fronto-central regions);

图C:无触摸+疼痛条件下,脑间连接主要集中在女性的右前区(right frontal regions)、左中前区(left central-frontal areas)和男性被试的左中前区(left central-frontalregions)。

而图D,非常明显,触摸+疼痛条件下脑间连接的条数最多,为22条。主要集中在了女性的左、右中前区(left and rightcentral-frontal regions)和男性被试的右额顶枕区(right frontal-parietal-occipital regions)。

不难看出,在触摸+疼痛条件下,双方这种耦合关系最为紧密。

这就说明了,牵手的双方,脑电波同步了

第三阶段是脑间连接聚类分析

这一步主要是在触摸+疼痛和无触摸+疼痛条件下,使用NMF(统计分析)方法对脑间连接进行聚类。

在这两种情况下,three-cluster解决方案拟合的效果都最佳。

而后,研究人员研究了行为数据脑间连接的关系。

结果表明,在触摸+疼痛条件下,cluster 2和镇痛显著相关。

而在无触摸+疼痛条件下,所有cluster和镇痛都无显著相关。

也就是说,牵手后脑电波同步的情况下,疼痛也缓解了

脑波同步,缓解疼痛

那么,被试者们都有什么的体验呢?

在另一组条件相似的实验中,每位女性参与者接受了4种不同实验条件下的测试:

  • 疼痛基准测试(伴侣在隔壁房间):接受75秒疼痛度为60的热刺激。

  • 与伴侣无接触情况下的疼痛测试(伴侣在身边):疼痛刺激与前一项相同。

  • 与伴侣接触(握手)情况下的疼痛测试:疼痛刺激不变。

  • 与陌生异性接触(握手)情况下的疼痛测试:疼痛刺激不变,陌生人由男性研究人员充当。

每一项测试之间保持10分钟休息时间,以免影响实验结果。

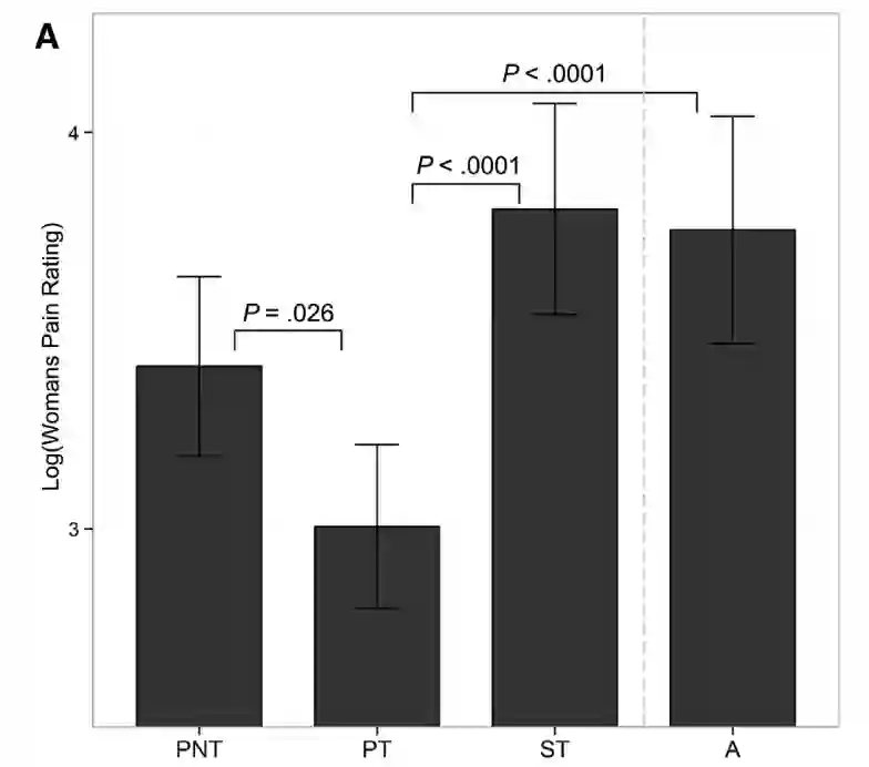
A:仅疼痛;PNT:与伴侣无接触;PT:与伴侣接触;ST:与陌生人接触。

实验结果表明,在受试者单独感受疼痛时,施加疼痛刺激5s后捕获的疼痛等级均值为51.33

在与陌生人接触时,受试者感受到的疼痛等级平均为51.71

而当伴侣在面前,但双方没有肢体接触时,疼痛等级均值下降到了34.12

当与伴侣握住手时,疼痛等级更是下降到了23.14

也就是说,与伴侣握手时,人们感受到的身体疼痛真的会下降。但和陌生人的接触并无助益,跟自己一个人待着差不多。

并且,实验结果还表明,当你和伴侣手牵着手时,伴侣越同情你的痛苦,你的疼痛就会缓解更多。

接触和无接触状态下,伴侣同理心和受试者疼痛等级间的关系

同性才是“真爱”?

值得注意的是,被试者之间的关系在实验中起了很关键的作用。

有意思的结果来了。

两个陌生同性被试者在做实验时,这种人际耦合关系还算明显。

而在两个陌生异性被试者之中,这种耦合关系会减弱。

比起只由朋友或者陌生人组合的关系,情侣之间的耦合关系会更明显。

不仅如此,若是男女双方位置互调,也就是说男生是痛苦目标,女生是触摸者,这种耦合关系的强弱也会有所变化。

看来,男生和女生在合作过程中,确实扮演着不同角色、起着不一样的作用。

遗憾的是,研究并没有针对同性情侣展开研究。

One More Thing

既然触觉和共情具有协同镇痛的作用,这就有可能对急性疼痛具有重要的意义。

例如,分娩。

事实上,最近已经有报道称,在60%的情况下,分娩过程中伴侣的存在是有效的,父亲的在场对分娩过程中的各方面都起到了积极作用。

再往小了说,女生每个月被“亲戚”访问的时候,男生除了备好热水之外,现在是不是又有一个新方法缓解她的痛苦呢?

总之,不要害羞。毕竟,现在科学都支持你,多和亲密之人肢体接触,是有好处的。

传送门

论文链接:
https://www.ncbi.nlm.nih.gov/pubmed/27363627/
https://www.ncbi.nlm.nih.gov/pmc/articles/PMC5856497/

大咖齐聚!量子位MEET大会报名开启

量子位 MEET 2020 智能未来大会启幕,李开复、倪光南、景鲲、周伯文、吴明辉、曹旭东、叶杰平、唐文斌、王砚峰、黄刚、马原等AI大咖与你一起读懂人工智能。观众票即将售罄,扫码报名预定席位 ~

量子位 QbitAI · 头条号签约作者

վ'ᴗ' ի 追踪AI技术和产品新动态

喜欢就点「在看」吧 !



登录查看更多
1

相关内容

【ICML2020-哈佛】深度语言表示中可分流形
专知会员服务
13+阅读 · 2020年6月2日
【CVPR2020】MSG-GAN:用于稳定图像合成的多尺度梯度GAN
专知会员服务
29+阅读 · 2020年4月6日
同质结中的“超注入”现象:半导体光源迎来新机遇!
浅谈外泌体抑制剂——鞘磷脂酶抑制剂GW4869
外泌体之家
8+阅读 · 2018年12月19日
AI情绪识别技术背后:一场悄然来袭的“暴政”
大数据文摘
7+阅读 · 2018年10月11日
Arxiv
5+阅读 · 2019年4月8日
Physical Primitive Decomposition
Arxiv
4+阅读 · 2018年9月13日
Arxiv
7+阅读 · 2018年3月19日
VIP会员
最新内容
美陆军设想无人系统司令部
专知会员服务
0+阅读 · 今天13:45
【博士论文】已对齐人工智能系统的持久脆弱性
专知会员服务
0+阅读 · 今天13:52
扭曲还是编造?视频大语言模型幻觉研究综述
专知会员服务
0+阅读 · 今天13:41
《采用系统思维应对混合战争》125页
专知会员服务
0+阅读 · 今天12:47
战争机器学习:数据生态系统构建(155页)
专知会员服务
6+阅读 · 今天8:10
内省扩散语言模型
专知会员服务
5+阅读 · 4月14日
国外反无人机系统与技术动态
专知会员服务
3+阅读 · 4月14日
Top
微信扫码咨询专知VIP会员