病理图像的全景分割

2019 年 6 月 1 日 人工智能前沿讲习班
 

论文题目:Panoptic Segmentation with an End-to-End Cell R-CNN for Pathology Image Analysis

论文地址:https://link.springer.com/chapter/10.1007/978-3-030-00934-2_27



前言

各种癌细胞的形态线索对于病理学家确定癌症的分期是至关重要的,为了获得定量的形态学信息,作者提出了一种用于病理图像全光分割的端到端网络,集目标检测、定位、和像素集的分割于一体,通过优化六个loss来达到最终的效果。

语义分割:将所有的目标分割成一种颜色,不能够产生单独的目标的分割掩码。

实例分割:为每个对象生成唯一的id,但它仅依赖于细胞内材料的图像特征

全光分割:不仅产生了实例细胞掩膜,而且充分利用了细胞间和细胞内材料之间潜在的信息关系

该框架的主要思想是实现语义分割和实例分割的统一。


网络架构

网络提出的主要思想是实现语义分割和实例分割的结合。

语义分割分支和特征图分支

语义分割分支:GCN( global convolutional network)具有较高的效率和全局接收域,所以作者选择做我语义分割分支。GCB的卷积核采用的是1*k+K*1和k*1+1*k来代替k*k确保有足够的接受域,GCB被设计是为了减小参数。BR包含一个conv+relu+conv块,以及一个残差设计x=F(x)+x,BR旨在取代不可训练的条件随机场或其他后处理技术,简单来说,一切都是可以学习的。ResNet的参数不仅共享于语义分割分支还共享于特征图分支。

特征图分支:目的是在RPN和实力分支之间共享特征(P2,P3,P4,P5,P6),在残差网络后的特征图分支后的一级和二级的卷积核是1*1和3*3。


Region Proposal Network(RPN)和Instance Branch

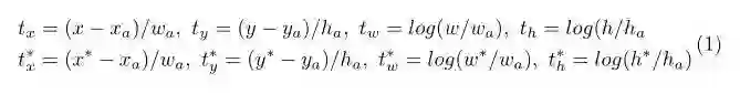
RPN的输入是P2,P3,P4,P5,P6,输出是带有分数显示是否成为对象的可能性的包围框提案。矩形边框最初是由滑动窗口策略生成的,在每个采样点产生不同的比例和尺寸的矩形框。每个边框都被分配一个分数和边框参数。

其中x、y、w、h为中心采样点坐标,为预测边界框的宽度和高度(ROIs),同样,x a、y a、w a、h a表示矩形框的相应变量,其他的变量是金标准。

输出进一步被提取提案层提取。矩形框按分数降序排列。然后应用box delta细化,非max抑制会移除相互之间具有强重叠的细化边框候选,对于矩形框形和分数损失的优化,只有正锚对损失计算有贡献。为了成功训练RPN,正锚与负锚的比例保持在一定范围内。

实例分支包含实例定位和鉴别分支以及实例掩码分支。实例定位和鉴别分支进一步的改进边框的位置和评估每个物体的可能性(是前景还是背景)。(The pyramid ROI)金字塔式感兴趣区域归一层根据感兴趣区域的大小选择相应的feature map层次。在这里,我们不使用特定于类的损失,而是使用前景-背景损失。这个特殊的设计试图使用相同的网络从不同的类中分割单元格。

Lsemantic和Linstance是categorical cross-entropy loss 和binary cross-entropy loss;Lboxes(RPN)和Lboxes(Instance)是L1正则化损失和L1(t-t*)。L(fg-bg)是不同类之间的简单log损失。



实验结果

图5是不同的肿瘤种类导致的成像条件不同



总结

提出了一种新颖的端对端框架来生成全光分割。用新的语义分割分支将单个的语义和实例分割结合起来。



体会

1、可以用类似的结构来进行底层的约束,就是在浅层特征提取的时候就进行loss的约束,中间层就进行一些任务,不仅对最后起到形状的约束,还有多任务的需要,不一定非要在输出的时候才进行约束。

2、文章中的几个模块可以进行借鉴,比如GCB( global convolution block)。

注:要想知道Global Average Pooling,了解深度网络中常见的pooling方式,以及全连接层。即将窗口大小设置成feature map的大小,对整个网路在结构上做正则化防止过拟合。



-----END-----



作者 | 有所不为(https://www.zhihu.com/people/you-suo-bu-wei-30-76)

版权声明

本文版权归《有所不为》,转载请自行联系



点击文末阅读原文 或 扫描上方二维码报名

 

历史文章推荐



你正在看吗?👇

登录查看更多
16

相关内容

语义分割,在机器学习上,多指对一段文本或者一张图片,提取其中有意义的部分,我们将这些有意义的部分称为语义单元,将这些语义单元提取出来的过程,称为语义分割。
高效医疗图像分析的统一表示
专知会员服务
36+阅读 · 2020年6月23日
最新《医学图像深度语义分割》综述论文
专知会员服务
97+阅读 · 2020年6月7日
【CVPR2020-旷视】DPGN:分布传播图网络的小样本学习
专知会员服务
28+阅读 · 2020年4月1日
专知会员服务
42+阅读 · 2020年2月20日
【泡泡点云时空】基于分割方法的物体六维姿态估计
泡泡机器人SLAM
18+阅读 · 2019年9月15日
漫谈全景分割
PaperWeekly
11+阅读 · 2019年3月14日
CVPR2019 | 全景分割:Attention-guided Unified Network
极市平台
9+阅读 · 2019年3月3日
全景分割这一年,端到端之路
机器之心
14+阅读 · 2018年12月24日
超像素、语义分割、实例分割、全景分割 傻傻分不清?
计算机视觉life
19+阅读 · 2018年11月27日
一文概览用于图像分割的CNN
论智
14+阅读 · 2018年10月30日
Faster R-CNN
数据挖掘入门与实战
4+阅读 · 2018年4月20日
Mask R-CNN 论文笔记
统计学习与视觉计算组
11+阅读 · 2018年3月22日
基于深度学习的图像目标检测(下)
机器学习研究会
12+阅读 · 2018年1月1日
W-net: Bridged U-net for 2D Medical Image Segmentation
Arxiv
20+阅读 · 2018年7月12日
Arxiv
7+阅读 · 2018年1月24日
VIP会员
最新内容
BES:让语言模型通过双向进化搜索自我改进
专知会员服务
0+阅读 · 5月30日
以色列-美国-伊朗战争中的无人机:关键要点
专知会员服务
3+阅读 · 5月30日
《Palantir任务保障性软件安全标准(MA-S2)》
专知会员服务
7+阅读 · 5月30日
基于声学的无人机检测技术综述
专知会员服务
5+阅读 · 5月30日
《当代混合战争分析框架:俄乌战争经验教训》
战略前沿人工智能的再思考(中文)
专知会员服务
7+阅读 · 5月29日
《量化地基防空系统间接效应的博弈论方法》
专知会员服务
5+阅读 · 5月29日
相关VIP内容
高效医疗图像分析的统一表示
专知会员服务
36+阅读 · 2020年6月23日
最新《医学图像深度语义分割》综述论文
专知会员服务
97+阅读 · 2020年6月7日
【CVPR2020-旷视】DPGN:分布传播图网络的小样本学习
专知会员服务
28+阅读 · 2020年4月1日
专知会员服务
42+阅读 · 2020年2月20日
相关资讯
【泡泡点云时空】基于分割方法的物体六维姿态估计
泡泡机器人SLAM
18+阅读 · 2019年9月15日
漫谈全景分割
PaperWeekly
11+阅读 · 2019年3月14日
CVPR2019 | 全景分割:Attention-guided Unified Network
极市平台
9+阅读 · 2019年3月3日
全景分割这一年,端到端之路
机器之心
14+阅读 · 2018年12月24日
超像素、语义分割、实例分割、全景分割 傻傻分不清?
计算机视觉life
19+阅读 · 2018年11月27日
一文概览用于图像分割的CNN
论智
14+阅读 · 2018年10月30日
Faster R-CNN
数据挖掘入门与实战
4+阅读 · 2018年4月20日
Mask R-CNN 论文笔记
统计学习与视觉计算组
11+阅读 · 2018年3月22日
基于深度学习的图像目标检测(下)
机器学习研究会
12+阅读 · 2018年1月1日
Top
微信扫码咨询专知VIP会员