文科生都能看懂的机器学习教程:梯度下降、线性回归、逻辑回归

2019 年 3 月 13 日 新智元





  新智元报道   

来源:Medium

编辑:元子

【新智元导读】虽然在Coursera、MIT、UC伯克利上有很多机器学习的课程,包括吴恩达等专家课程已非常经典,但都是面向有一定理科背景的专业人士。本文试图将机器学习这本深奥的课程,以更加浅显易懂的方式讲出来,让没有理科背景的读者都能看懂。


把复杂的东西简单化,让非专业人士也能短时间内理解,并露出恍然大悟的表情,是一项非常厉害的技能。


举个例子。你正在应聘机器学习工程师,面对的是文科出身的HR,如果能在最短时间内让她了解你的专业能力,就能极大地提升面试成功率。


现在,机器学习这么火,想入行的人越来越多,然而被搞糊涂的人也越来越多。因为大众很难理解机器学习是干吗的?那些神秘拗口的概念,比如逻辑回归、梯度下降到底是什么?j


一个23岁的药物学专业的学生说,当他去参加机器学习培训课程的时候,感觉自己就家里那位不懂现代科技的奶奶。


于是一名叫Audrey Lorberfeld的毕业生,试图将大众与机器学习之间的鸿沟,亲手填补上。于是有了这个系列文章。


本系列第一讲:梯度下降、线性回归和逻辑回归。


算法 vs 模型


在理解开始了解机器学习之前,我们需要先搞懂两个基础概念:算法和模型。


我们可以把模型看做是一个自动售货机,输入(钱),输出(可乐)。算法是用来训练这个模型的,


模型根据给定的输入,做出对应的决策获得预期输出。例如,一个算法根据投入的金额,可乐的单价,判断钱够不够,如果多了该找多少钱。


总而言之,算法是模型背后的数学生命力。没有模型,算法只是一个数学方程式。模型的不同,取决于用的算法的不同。


梯度下降/最佳拟合线


(虽然这个传统上并不被认为是一种机器学习算法,但理解梯度对于了解有多少机器学习算法可用,及如何优化至关重要。)梯度下降帮助我们根据一些数据,获得最准确的预测。


举个例子。你有一个大的清单,列出每个你认识的人身高体重。然后做成下面这种分布图:



图上面的数字比较奇怪?不用在意这些细节。


现在,小区居委会要举办一个根据身高猜体重的比赛,赢的人发红包。就用这张图。你怎么办?


你可能会想在图上画一根线,这个线非常完美的给出了身高和体重的对应关系。


比如,根据这条完美线,身高1.5米的人体重基本在60斤左右。啊那么,这根完美线是怎么找出来呢?答:梯度下降。



我们先提一个概念叫RSS(the residual sum of squares)。RSS是点和线之间差异的平方和,这个值代表了点和线的距离有多远。梯度下降就是找出RSS的最小值。


我们把每次为这根线找的不同参数进行可视化,就得到了一个叫做成本曲线的东西。这个曲线的地步,就是我们的RSS最小值。


Gradient Descent可视化(使用MatplotLib)

来自不可思议的数据科学家Bhavesh Bhatt


梯度下降还有其他的一些细分领域,比如“步长”和“学习率”(即我们想要采取什么方向到底部的底部)。


总之,:我们通过梯度下降找到数据点和最佳拟合线之间最小的空间;而最佳你和线是我们做预测的直接依据。


线性回归


线性回归是分析一个变量与另外一个或多个变量(自变量)之间,关系强度的方法。


线性回归的标志,如名称所暗示的那样,即自变量与结果变量之间的关系是线性的,也就是说变量关系可以连城一条直线。


这看起来像我们上面做的!这是因为线性回归中我们的“回归线”之前的最佳实践线。最佳拟合线显示了我们的点之间最佳的线性关系。反过来,这使我们能够做出预测。


关于线性回归的另一个重点是,结果变量或“根据其他变量而变化的”变量(有点绕哈)总是连续的。但这意味着什么?


假设我们想测量一下纽约州影响降雨的因素:结果变量就是降雨量,就是我们最关系的东西,而影响降水的自变量是海拔。


如果结果变量不是连续的,就可能出现在某个海拔,没有结果变量,导致我们没办法做出预测。


反之,任意给定的海拔,我们都可以做出预测。这就是线性回归最酷的地方!


岭回归与LASSO回归


现在我们知道什么是线性回归,接下来还有更酷的,比如岭回归。在开始理解岭回归之前,我们先来了解正则化。


简单地说,数据科学家使用正则化,确保模型只关注能够对结果变量产生显著影响的自变量。


但是那些对结果影响不显著的自变量会被正则忽略吗?当然不会!原因我们后面再展开细讲。


原则上,我们创建这些模型,投喂数据,然后测试我们的模型是否足够好。


如果不管自变量相关也好不相关都投喂进去,最后我们会发现模型在处理训练数据的时候超棒;但是处理我们的测试数据就超烂。


这是因为我们的模型不够灵活,面对新数据的时候就显得有点不知所措了。这个时候我们称之为“Overfit”过拟合。


接下来我们通过一个过长的例子,来体会一下过拟合。



比方说,你是一个新妈妈,你的宝宝喜欢吃面条。几个月来,你养成了一个在厨房喂食并开窗的习惯,因为你喜欢新鲜空气。


接着你的侄子给宝宝一个围裙,这样他吃东西就不会弄得满身都是,然后你又养成了一个新的习惯:喂宝宝吃面条的时候,必须穿上围裙。


随后你又收养了一只流浪狗,每次宝宝吃饭的时候狗就蹲在婴儿椅旁边,等着吃宝宝掉下来的面条。


作为一个新妈妈,你很自然的会认为,开着的窗户+围裙+婴儿椅下面的狗,是让你的宝宝能够开心吃面条的必备条件。


直到有一天你回娘家过周末。当你发现厨房里没有窗户你有点慌;然后你突然想起来走的匆忙围裙也没带;最要命的是狗也交给邻居照看了,天哪!


 你惊慌到手足无措以至于忘记给宝宝喂食,就直接把他放床上了。看,当你面对一个完全新的场景时你表现的很糟糕。而在家则完全是另外一种画风了。


经过重新设计模型,过滤掉所有的噪音(不相关的数据)后你发现,其实宝宝仅仅是喜欢你亲手做的面条。


第二天,你就能坦然的在一个没有窗户的厨房里,没给宝宝穿围裙,也没有狗旁边,开开心心的喂宝宝吃面条了。


这就是机器学习的正则化所干的事情:让你的模型只关注有用的数据,忽略干扰项。


在左边:LASSO回归(你可以看到红色梯级表示的系数在穿过y轴时可以等于零)

在右边:岭回归(你可以看到系数接近,但从不等于零,因为它们从不穿过y轴)

图片来源:Prashant Gupta的“机器学习中的正规化”


在各种正规化的,有一些所谓的惩罚因子(希腊字母拉姆达:λ)。这个惩罚因子的作用是在数学计算中,缩小数据中的噪声。


在岭回归中,有时称为“L2回归”,惩罚因子是变量系数的平方值之和。惩罚因子缩小了自变量的系数,但从来没有完全消除它们。这意味着通过岭回归,您的模型中的噪声将始终被您的模型考虑在内。


另一种正则化是LASSO或“L1”正则化。在LASSO正则化中,只需惩罚高系数特征,而不是惩罚数据中的每个特征。


此外,LASSO能够将系数一直缩小到零。这基本上会从数据集中删除这些特征,因为它们的“权重”现在为零(即它们实际上是乘以零)。


通过LASSO回归,模型有可能消除大部分噪声在数据集中。这在某些情况下非常有用!


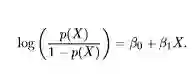
逻辑回归


现在我们知道,线性回归=某些变量对另一个变量的影响,并且有2个假设:结果变量是连续的;变量和结果变量之间的关系是线性的。


但如果结果变量不是连续的而是分类的呢?这个时候就用到逻辑回归了。


分类变量只是属于单个类别的变量。比如每一周都是周一到周日7个日子,那么这个时候你就不能按照天数去做预测了。


每周的第一天都是星期一,周一发生的事情,就是发生在周一。没毛病。


逻辑回归模型只输出数据点在一个或另一个类别中的概率,而不是常规数值。这也是逻辑回归模型主要用于分类的原因。


在逻辑回归的世界中,结果变量与自变量的对数概率(log-odds)具有线性关系。


比率(odds)


逻辑回归的核心就是odds。举个例子:


一个班里有19个学生,其中女生6个,男生13个。假设女性通过考试的几率是5:1,而男性通过考试的几率是3:10。这意味着,在6名女性中,有5名可能通过测试,而13名男性中有3名可能通过测试。


那么,odds和概率(probability)不一样吗?并不。


概率测量的是事件发生的次数与所有事情发生的总次数的比率,例如,投掷40次投币10次是正面的概率是25%;odds测量事件发生的次数与事件的次数的比率,例如抛掷30次有10次是正面,odds指的是10次正面:30次反面。


这意味着虽然概率总是被限制在0-1的范围内,但是odds可以从0连续增长到正无穷大!


这给我们的逻辑回归模型带来了问题,因为我们知道我们的预期输出是概率(即0-1的数字)。


那么,我们如何从odds到概率?


让我们想一个分类问题,比如你最喜欢的足球队和另一只球队比赛,赢了6场。你可能会说你的球队失利的几率是1:6,或0.17。


而你的团队获胜的几率,因为他们是一支伟大的球队,是6:1或6。如图:


图片来源:

https://www.youtube.com/watch?v=ARfXDSkQf1Y


现在,你不希望你的模型预测你的球队将在未来的比赛中取胜,只是因为他们过去获胜的几率远远超过他们过去失败的几率,对吧?


还有更多模型需要考虑的因素(可能是天气,也许是首发球员等)!因此,为了使得odds的大小均匀分布或对称,我们计算出一些称为对数比率(log-odds)的东西。


log-odds


我们所谓的“正态分布”:经典的钟形曲线!


Log-odds是自然对数odds的简写方式。当你采用某种东西的自然对数时,你基本上可以使它更正常分布。当我们制作更正常分布的东西时,我们基本上把它放在一个非常容易使用的尺度上。


当我们采用log-odds时,我们将odds的范围从0正无穷大转换为负无穷正无穷大。可以在上面的钟形曲线上看到这一点。


即使我们仍然需要输出在0-1之间,我们通过获取log-odds实现的对称性使我们比以前更接近我们想要的输出!


Logit函数


“logit函数”只是我们为了得到log-odds而做的数学运算!


恐怖的不可描述的数学。呃,我的意思是logit函数。


logit函数,用图表绘制


正如您在上面所看到的,logit函数通过取其自然对数将我们的odds设置为负无穷大到正无穷大。


Sigmoid函数


好的,但我们还没有达到模型给我们概率的程度。现在,我们所有的数字都是负无穷大到正无穷大的数字。名叫:sigmoid函数。


sigmoid函数,以其绘制时呈现的s形状命名,只是log-odds的倒数。通过得到log-odds的倒数,我们将我们的值从负无穷大正无穷大映射到0-1。反过来,让我们得到概率,这正是我们想要的!


与logit函数的图形相反,其中我们的y值范围从负无穷大到正无穷大,我们的sigmoid函数的图形具有0-1的y值。好极了!



有了这个,我们现在可以插入任何x值并将其追溯到预测的y值。该y值将是该x值在一个类别或另一个类别中的概率。


最大似然估计


你还记得我们是如何通过最小化RSS(有时被称为“普通最小二乘法”或OLS法)的方法在线性回归中找到最佳拟合线的吗?


在这里,我们使用称为最大似然估计(MLE)的东西来获得最准确的预测。


MLE通过确定最能描述我们数据的概率分布参数,为我们提供最准确的预测。


我们为什么要关心如何确定数据的分布?因为它很酷!(并不是)


它只是使我们的数据更容易使用,并使我们的模型可以推广到许多不同的数据。



一般来说,为了获得我们数据的MLE,我们将数据点放在s曲线上并加上它们的对数似然。


基本上,我们希望找到最大化数据对数似然性的s曲线。我们只是继续计算每个log-odds行的对数似然(类似于我们对每个线性回归中最佳拟合线的RSS所做的那样),直到我们得到最大数量。


好了,到此为止我们知道了什么是梯度下降、线性回归和逻辑回顾,下一讲,由Audrey妹子来讲解决策树、随机森林和SVM。


参考链接:

https://towardsdatascience.com/machine-learning-algorithms-in-laymans-terms-part-1-d0368d769a7b

新智元春季招聘开启,一起弄潮AI之巅!


岗位详情请戳:

【春招英雄贴】新智元呼召智士主笔,2019勇闯AI之巅!




【2019新智元 AI 技术峰会倒计时14天】


 2019年的3月27日,新智元再汇AI之力,在北京泰富酒店举办AI开年盛典——2019新智元AI技术峰会。峰会以“智能云•芯世界“为主题,聚焦智能云和AI芯片的发展,重塑未来AI世界格局。


同时,新智元将在峰会现场权威发布若干AI白皮书,聚焦产业链的创新活跃,评述华人AI学者的影响力,助力中国在世界级的AI竞争中实现超越。

购票二维码

活动行购票链接:http://hdxu.cn/9Lb5U

点击文末“阅读原文”,马上参会!


登录查看更多
4

相关内容

线性回归是利用数理统计中回归分析,来确定两种或两种以上变量间相互依赖的定量关系的一种统计分析方法,运用十分广泛。其表达形式为y = w'x+e,e为误差服从均值为0的正态分布。

知识荟萃

精品入门和进阶教程、论文和代码整理等

更多

查看相关VIP内容、论文、资讯等
【实用书】Python机器学习Scikit-Learn应用指南,247页pdf
专知会员服务
270+阅读 · 2020年6月10日
【哈佛大学】机器学习的黑盒解释性,52页ppt
专知会员服务
172+阅读 · 2020年5月27日
简明扼要!Python教程手册,206页pdf
专知会员服务
48+阅读 · 2020年3月24日
【干货书】机器学习Python实战教程,366页pdf
专知会员服务
347+阅读 · 2020年3月17日
Sklearn 与 TensorFlow 机器学习实用指南,385页pdf
专知会员服务
131+阅读 · 2020年3月15日
TensorFlow Lite指南实战《TensorFlow Lite A primer》,附48页PPT
专知会员服务
70+阅读 · 2020年1月17日
谷歌机器学习速成课程中文版pdf
专知会员服务
147+阅读 · 2019年12月4日
已删除
将门创投
10+阅读 · 2018年5月2日
第二章 机器学习中的数学基础
Datartisan数据工匠
12+阅读 · 2018年4月5日
入门 | 这是一份文科生都能看懂的线性代数简介
机器之心
14+阅读 · 2018年3月31日
干货:10 种机器学习算法的要点(附 Python代码)
全球人工智能
4+阅读 · 2018年1月5日
教程 | 理解XGBoost机器学习模型的决策过程
机器之心
6+阅读 · 2017年12月20日
10分钟搞懂Tensorflow 逻辑回归实现手写识别
全球人工智能
5+阅读 · 2017年10月19日
机器学习算法比较
我爱机器学习
4+阅读 · 2016年12月11日
Arxiv
5+阅读 · 2020年3月26日
Tutorial on NLP-Inspired Network Embedding
Arxiv
7+阅读 · 2019年10月16日
Bivariate Beta LSTM
Arxiv
6+阅读 · 2019年10月7日
VIP会员
最新内容
战略前沿人工智能的再思考(中文)
专知会员服务
6+阅读 · 5月29日
《量化地基防空系统间接效应的博弈论方法》
专知会员服务
5+阅读 · 5月29日
“史诗怒火行动”中美军损失的作战飞机
专知会员服务
5+阅读 · 5月29日
ICML 2026 | 理解上下文持续学习中的泛化与遗忘
专知会员服务
5+阅读 · 5月28日
Agent Harness综述:大模型智能体执行器工程全景
专知会员服务
15+阅读 · 5月28日
《基于理论的威慑效能评估》
专知会员服务
8+阅读 · 5月28日
相关VIP内容
【实用书】Python机器学习Scikit-Learn应用指南,247页pdf
专知会员服务
270+阅读 · 2020年6月10日
【哈佛大学】机器学习的黑盒解释性,52页ppt
专知会员服务
172+阅读 · 2020年5月27日
简明扼要!Python教程手册,206页pdf
专知会员服务
48+阅读 · 2020年3月24日
【干货书】机器学习Python实战教程,366页pdf
专知会员服务
347+阅读 · 2020年3月17日
Sklearn 与 TensorFlow 机器学习实用指南,385页pdf
专知会员服务
131+阅读 · 2020年3月15日
TensorFlow Lite指南实战《TensorFlow Lite A primer》,附48页PPT
专知会员服务
70+阅读 · 2020年1月17日
谷歌机器学习速成课程中文版pdf
专知会员服务
147+阅读 · 2019年12月4日
相关资讯
已删除
将门创投
10+阅读 · 2018年5月2日
第二章 机器学习中的数学基础
Datartisan数据工匠
12+阅读 · 2018年4月5日
入门 | 这是一份文科生都能看懂的线性代数简介
机器之心
14+阅读 · 2018年3月31日
干货:10 种机器学习算法的要点(附 Python代码)
全球人工智能
4+阅读 · 2018年1月5日
教程 | 理解XGBoost机器学习模型的决策过程
机器之心
6+阅读 · 2017年12月20日
10分钟搞懂Tensorflow 逻辑回归实现手写识别
全球人工智能
5+阅读 · 2017年10月19日
机器学习算法比较
我爱机器学习
4+阅读 · 2016年12月11日
Top
微信扫码咨询专知VIP会员