【从 0 开始机器学习】手把手用 Python 实现梯度下降法!

2020 年 4 月 10 日 深度学习自然语言处理


机器学习课程也上了一段时间了,今天就带大家从 0 开始手把手用 Python 实现第一个机器学习算法:单变量梯度下降(Gradient Descent)!

我们从一个小例子开始一步步学习这个经典的算法。

一、如何最快下山?

在学习算法之前先来看一个日常生活的例子:下山。

想象一下你出去旅游爬山,爬到山顶后已经傍晚了,很快太阳就会落山,所以你必须想办法尽快下山,然后去吃海底捞。

那最快的下山方法是什么呢?没错就是缩成一个球,然后从最陡的方向直接滚下去,可是我们是人不是球,不能直接滚下去,但是可以借鉴这种方式,改变一下策略。

要想最快下山,其实只需要循环执行以下 3 步骤:

  1. 环顾周围找到最陡的一段路
  2. 在最陡的一段路上走一段距离
  3. 重复以上步骤直到山底

假设你拥有找到目前所在位置最陡路线的能力,那么你只需要重复以上步骤就能以最短时间,最短路程下到山底去吃海底捞啦!

这就是梯度下降法的现实例子,下面来正式学习下梯度下降法的基本思想。

二、梯度下降法基本思想

数学上的梯度下降法步骤跟下山的例子一模一样,只不过换成了数学公式具体表达出来而已,这里用个函数图像来形象解释下:

把这个函数图像想象成一座山,此刻你正在山顶,并且要寻找最快的下山路线。

那么按照上面讲的下山 3 步骤,你要做的就是找最陡的下山方向,然后走一段路,再找最陡的下山方向,再走一段路,以此类推,最后就得到上面的这条下山路线。

2.1 算法解决什么问题?

我们为了尽快下山,用了梯度下山法;

那么对应到数学曲线上,对一个函数应用梯度下降法,就是为了最快地求出函数的全局最小值或者局部最小值;

再对应到机器学习问题上,梯度下降法就是为了尽快求出模型代价函数最小值,进而得到模型参数;

所以梯度下降法要解决的问题就是:以最快速度求函数最小值。

2.2 如何用数学公式表达?

先来用公式表达出下山的步骤:

与下山公式一样,一行公式即可写出梯度下降法公式:

我们来对照下山的例子,详细解释这个公式:

  • 等式左边的 是下一时刻我在山顶的位置:下一函数值
  • 等式右边的 是当前时刻我在山顶的位置:当前函数值
  • 学习率 :算法迭代步长
  • 是最快的下山方向:当前时刻函数值下降最快的方向
  •  是当前时刻的打算迈出的距离:算法当前迭代下降的距离
  • 可以理解为你要下的那座山:算法执行的函数

这里的 在算法中叫做学习率,虽然从名字上不好理解,不过它的作用就是控制算法每次迭代下降的步长,也就是每次下山打算迈开多大步。

你可能疑惑的是下山方向为何加负号,其实在数学上,这个公式 的意思是求偏导数,也叫做求梯度。

函数梯度是函数值增加速度最快的方向,而这里加上一个负号就表示函数值下降最快的方向,也就表示下山速度最快(最陡)的方向。

但是学习率和梯度都不是当前时刻函数值要减少的量,当前函数下降的量等于这两者的乘积

一定不要误以为学习率就是当前函数下降的距离,它只是一种度量方式,可以理解为一个尺度,不是实际的值。

让我们再从实际的梯度下降曲线中直观的看下算法的迭代过程。

三、梯度下降法的直观理解

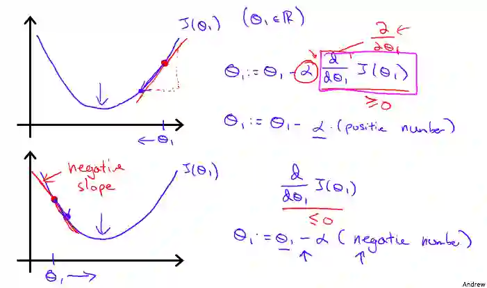
下面这个例子可以很好地解释单变量( )梯度下降的过程:

算法从曲线的右上角紫色的数据点开始迭代下降,最终下降到底部绿色点找到函数最小值,算法结束,来详细分析一次下降的过程:

  • 计算第一个数据点处的梯度(斜率或偏导数),这里梯度大于 0
  • 计算下一函数值:
  • 重复以上步骤,直到底部绿色点梯度为 0

这里简单说下学习率 对算法的影响:

  • 如果 太小,每次更新的步长很小,导致要很多步才能才能到达最优点;
  • 如果 太大,每次更新步长很大,在快接近最优点时,容易因为步长过大错过最优点,最终导致算法无法收敛,甚至发散;

虽然学习率会影响迭代步长,那是否需要我们每次手动更新学习率呢?

不需要!因为迭代的步长每次都会自动减小!

随着数据点越来越靠近最低点,在该点处的斜率越来越小,即梯度值 越来越小,而 ,所以两者相乘后 也越来越小,进一步导致 值减小的越来越慢。

当算法最后迭代到最低点时,绿色点处斜率为 0,即梯度为 0,此时梯度下降公式将不再变化:

所以算法认为已经找到最优值,不再迭代下降,算法至此结束。

这个例子是从右向左迭代下降,如果起始数据点是在左边,算法是否能正常运行呢?

完全没问题,唯一的不同处是梯度小于 0,公式里面负号变为正号,你可以试着自己分析下。

四、梯度下降法拟合函数直线

理论介绍完了,下面进入实战部分,登龙手把手用 Python 带你实现一个梯度下降法,并用这个的算法来拟合下面的数据点(人口 - 利润):

因为篇幅限制,这里只讲解我认为比较关键的代码,其他比较基础的如加载数据,导包等就不介绍了。

文末有完整代码,里面的注释非常详细,建议下载食用,有收获记得回来给我个 Star 哦!

4.1 模型选择

这个数据集比较简单,只有一个人口特征,但是为了方便代码计算我们人为增加一个特征 ,并且使用线性回归的函数模型:

那先来定义这两个参数:

# X.shape[1] = 2,表示参数数量 n = 2
# theta = [theta_0 = 0, theta_1 = 0]
theta = np.zeros(X.shape[1])

我们的最终目的就是找出最优的参数( ),使得直线拟合的总均方误差达到最小,那如何表示均方误差呢?这就需要代价函数登场了。

4.2 代价函数

代价函数顾名思义就是每组参数所对应的拟合误差量,要想拟合数据集的效果最好,那就要求参数所对应的代价函数取最小值。

这里的我选择常用的均方误差来作为代价函数:

这个代价函数计算的是一组参数( )拟合的数据预测值与真实值均方误差,看下这个函数如何用代码写出来,这里要用点线性代数的知识:

# Cost Function
# X: R(m * n) 特征矩阵
# y: R(m * 1) 标签值矩阵
# theta: R(n) 线性回归参数
def cost_function(theta, X, y):
    # m 为样本数
    m = X.shape[0]
    
    # 误差 = theta * x - y
    inner = X @ theta - y
    
    # 将向量的平方计算转换为:列向量的转置 * 列向量
    square_sum = inner.T @ inner
    
    # 缩小成本量大小,这里无特殊含义
    cost = square_sum / (2 * m)
    
    # 返回 theta 参数对应的成本量
    return cost;

我们的梯度下降法就是应用在这个代价函数上,来寻找代价函数的最小值,进而找到取最小值时对应的参数 ( )。

4.3 计算梯度

梯度下降需要用到某点的梯度,即导数,看下求梯度的代码:

# 计算偏导数
def gradient(theta, X, y):
    # 样本数量
    m = X.shape[0]
    
    # 用向量计算复合导数
    inner = X.T @ (X @ theta - y)
    
    # 不要忘记结果要除以 m
    return inner / m

这个其实也不难,就是代价函数对 进行复合求导:

因为上面的代码是用向量表示的,一列向量里面包含所有参数,所以对包含参数的向量进行乘积,就相当于公式里面的求和符号了。

注意如果使用向量计算,顺序会有点不一样,这里就不详细展开讲了,暂时能理解就可以。

4.4 执行批量梯度下降算法

准备就绪,下面就到了最重要的部分,批量梯度下降法的逻辑代码,其实也很简单,就是执行一个循环 =_=:

# 批量梯度下降法
# epoch: 下降迭代次数 500
# alpha: 初始学习率 0.01
def batch_gradient_decent(theta, X, y, epoch, alpha = 0.01):
    # 计算初始成本:theta 都为 0
    cost_data = [cost_function(theta, X, y)]
    
    # 创建新的 theta 变量,不与原来的混淆
    _theta = theta.copy()
    
    # 迭代下降 500 次
    for _ in range(epoch):
        # 核心公式:theta = theta - 学习率 * 梯度
        _theta = _theta - alpha * gradient(_theta, X, y)
        
        # 保存每次计算的代价数据用于后续分析
        cost_data.append(cost_function(_theta, X, y))
    
    # 返回最终的模型参数和代价数据
    return _theta, cost_data

传入的参数我们之前都介绍过了,再复习下:

  • theta:待预测的直线参数
  • X:样本横坐标值
  • y:样本纵坐标值
  • epoch:迭代下降次数
  • alpha:学习率

最终返回的结果是迭代 500 次后对原始数据拟合误差最小的参数 以及每次计算的代价数据

补充下:这里批量的意思是每次迭代都计算全部样本的均方误差,不是一次计算一个样本,只是我们常常省略批量这两个字,直接叫梯度下降法。

4.5 测试拟合结果

我们来调用上面的批量梯度下降法,看下预测的参数:

epoch = 500
final_theta, cost_data = batch_gradient_decent(theta, X, y, epoch)

final_theta

输出

array([-2.28286727,  1.03099898])

来可视化代价数据看下是否连续下降:

cost_data

代价函数随着迭代次数变多逐渐减小,直到 4.713809 基本不变,至此我们已经找到了我们认为的最优的拟合数据的直线模型参数,因为代价函数取得了最小值。

那来看下拟合的效果,看起来还不错:

五、总结

以上就是我对单变量梯度下降法的基本理解,还有很多不足,希望大家多多指正,文中部分代码用到微积分和线性代数的知识,建议回头复习下,可以更好的理解算法 ^_^!

另外,关于多变量的梯度下降法我也写了点自己的总结:从 0 开始机器学习 - 一文入门多维特征梯度下降法!,原理几乎相同,强烈推荐实践一下。

文中项目超详细注释完整代码 AI-Notes:

https://github.com/DLonng/AI-Notes/blob/master/MachineLearning/code/ex1-linear-regression/my_code_ex1.ipynb

学会了记得回来给我个 Star 哈。

交流学习,进群备注: 昵称-学校(公司)-方向,进入DL&NLP交流群。
方向有很多: 机器学习、深度学习,python,情感分析、意见挖掘、句法分析、机器翻译、人机对话、知识图谱、语音识别等
广告商、博主勿入!


登录查看更多
0

相关内容

【圣经书】《强化学习导论(2nd)》电子书与代码,548页pdf
专知会员服务
208+阅读 · 2020年5月22日
《强化学习》简介小册,24页pdf
专知会员服务
282+阅读 · 2020年4月19日
机器学习速查手册,135页pdf
专知会员服务
345+阅读 · 2020年3月15日
《深度学习》圣经花书的数学推导、原理与Python代码实现
【新书】傻瓜式入门深度学习,371页pdf
专知会员服务
194+阅读 · 2019年12月28日
【强化学习】深度强化学习初学者指南
专知会员服务
184+阅读 · 2019年12月14日
100行Python代码,轻松搞定神经网络
大数据文摘
4+阅读 · 2019年5月2日
面试时让你手推公式不在害怕 | 梯度下降
计算机视觉life
14+阅读 · 2019年3月27日
从示例中理解SVM算法(附代码)
论智
10+阅读 · 2018年5月10日
干货:10 种机器学习算法的要点(附 Python代码)
全球人工智能
4+阅读 · 2018年1月5日
免费|机器学习算法Python实现
全球人工智能
6+阅读 · 2018年1月2日
动手写机器学习算法:SVM支持向量机(附代码)
七月在线实验室
12+阅读 · 2017年12月5日
手把手教TensorFlow(附代码)
深度学习世界
15+阅读 · 2017年10月17日
BAT机器学习面试1000题系列(第51~55题)
七月在线实验室
10+阅读 · 2017年10月8日
机器学习(7)之感知机python实现
机器学习算法与Python学习
4+阅读 · 2017年7月23日
Meta-Learning to Cluster
Arxiv
18+阅读 · 2019年10月30日
Meta-Learning with Implicit Gradients
Arxiv
13+阅读 · 2019年9月10日
Embedding Logical Queries on Knowledge Graphs
Arxiv
3+阅读 · 2019年2月19日
Implicit Maximum Likelihood Estimation
Arxiv
7+阅读 · 2018年9月24日
Learning to Importance Sample in Primary Sample Space
Neural Arithmetic Logic Units
Arxiv
5+阅读 · 2018年8月1日
VIP会员
最新内容
人工智能在战场行动中的演进及伊朗案例
专知会员服务
4+阅读 · 4月18日
美AI公司Anthropic推出网络安全模型“Mythos”
专知会员服务
2+阅读 · 4月18日
【博士论文】面向城市环境的可解释计算机视觉
大语言模型的自改进机制:技术综述与未来展望
《第四代军事特种作战部队选拔与评估》
专知会员服务
1+阅读 · 4月18日
相关VIP内容
【圣经书】《强化学习导论(2nd)》电子书与代码,548页pdf
专知会员服务
208+阅读 · 2020年5月22日
《强化学习》简介小册,24页pdf
专知会员服务
282+阅读 · 2020年4月19日
机器学习速查手册,135页pdf
专知会员服务
345+阅读 · 2020年3月15日
《深度学习》圣经花书的数学推导、原理与Python代码实现
【新书】傻瓜式入门深度学习,371页pdf
专知会员服务
194+阅读 · 2019年12月28日
【强化学习】深度强化学习初学者指南
专知会员服务
184+阅读 · 2019年12月14日
相关资讯
100行Python代码,轻松搞定神经网络
大数据文摘
4+阅读 · 2019年5月2日
面试时让你手推公式不在害怕 | 梯度下降
计算机视觉life
14+阅读 · 2019年3月27日
从示例中理解SVM算法(附代码)
论智
10+阅读 · 2018年5月10日
干货:10 种机器学习算法的要点(附 Python代码)
全球人工智能
4+阅读 · 2018年1月5日
免费|机器学习算法Python实现
全球人工智能
6+阅读 · 2018年1月2日
动手写机器学习算法:SVM支持向量机(附代码)
七月在线实验室
12+阅读 · 2017年12月5日
手把手教TensorFlow(附代码)
深度学习世界
15+阅读 · 2017年10月17日
BAT机器学习面试1000题系列(第51~55题)
七月在线实验室
10+阅读 · 2017年10月8日
机器学习(7)之感知机python实现
机器学习算法与Python学习
4+阅读 · 2017年7月23日
相关论文
Meta-Learning to Cluster
Arxiv
18+阅读 · 2019年10月30日
Meta-Learning with Implicit Gradients
Arxiv
13+阅读 · 2019年9月10日
Embedding Logical Queries on Knowledge Graphs
Arxiv
3+阅读 · 2019年2月19日
Implicit Maximum Likelihood Estimation
Arxiv
7+阅读 · 2018年9月24日
Learning to Importance Sample in Primary Sample Space
Neural Arithmetic Logic Units
Arxiv
5+阅读 · 2018年8月1日
Top
微信扫码咨询专知VIP会员