重磅!谷歌大脑提出EfficientNet平衡模型扩展三个维度,取得精度-效率的最大化!

2019 年 5 月 30 日 GAN生成式对抗网络

来源:极市平台


今天要跟大家重磅介绍上午谷歌大脑新出的论文《EfficientNet: Rethinking Model Scaling for Convolutional Neural Networks》,在模型扩展时平衡好深度、宽度、分辨率,取得精度、效率、模型大小的最大化。


借由此简单有效的模型扩展方法,作者在使用神经架构搜索得到的基模型上扩展出一系列EfficientNets模型,达到了更好的精度和效率的平衡,其中EfficientNet-B7模型在ImageNet数据集上达到 state-of-the-art 84.4% top-1 / 97.1% top-5 精度,并且相比目前最好的方法模型size减小8.4倍,速度快6.1倍!!


简直是神级操作!


该文已被ICML 2019录用,这可能是一篇要改变整个深度卷积网络模型设计的论文了。


下面是作者信息:



两位作者均来自谷歌大脑。


下图是作者使用该文方法得到的7个EfficientNets与目前知名的state-of-the-art模型精度-参数量的比较:




可见本文得到的模型在相近模型大小时,精度高于所有之前的竞争对手!


什么是模型扩展?


模型扩展是借由改变深度卷积网络的宽度、深度、分辨率进而寻找更高精度模型,或者寻找精度-计算量-模型size满足一定要求的模型的方法。


下图展示了这一过程:



其中最右为作者提出的方案,即在三个维度(宽度、深度、分辨率)进行复合扩展。

(模型扩展是很常见的操作,只是之前大家总是关注在宽度和深度,作者在这里将分辨率纳入考量)


这是作者做的实验,单一调整一个维度能够获得精度提升,随着参数调的越大,精度增益越平滑,即改进不再明显。



下图为同时调整深度和分辨率获得的模型的结果,可见联合调整能够获得更好的精度增益曲线。



方法


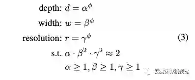
作者就是把深度d、宽度w和分辨率r纳入一个受限的搜索空间,如下:



对于特定的基模型,采用如下两个步骤获得一系列扩展模型,从计算量参数量小精度低到计算量参数量大精度高的一系列模型。



下面是作者用神经网络搜索得到的基模型EfficientNet-B0。



实验结果


实验结果实在是太靓丽了!


这是作者得到的七个模型与现有最好的算法在ImageNet数据集上的比较,在精度超越的同时,计算复杂度和参数量都下降了一个数量级!



下图为在MobileNets和ResNet上与单一维度扩展的比较,计算量相近的情况下,本文方法精度表现出一致性的更高!



在实际的硬件上计算同样验证了理论的结论:



作者用得到的新模型在8个数据集上进行了迁移学习实验,取得了5个state-of-the-art的结果,而且计算量和参数量依旧小一个数量级!



该算法虽然简单,但结果实在是太吸引人了,强烈推荐大家关注!


论文地址:

https://arxiv.org/pdf/1905.11946v1.pdf

开源地址:

https://github.com/tensorflow/tpu/tree/master/models/official/efficientnet


高质量延伸阅读

☞ OpenPV平台发布在线的ParallelEye视觉任务挑战赛

【学界】第1届“智能车辆中的平行视觉”研讨会成功举行

【学界】生成式对抗网络:从生成数据到创造智能

【学界】OpenPV:中科院研究人员建立开源的平行视觉研究平台

【学界】基于平行视觉的特定场景下行人检测

【学界】ParallelEye:面向交通视觉研究构建的大规模虚拟图像集

【CFP】Virtual Images for Visual Artificial Intelligence

【最详尽的GAN介绍】王飞跃等:生成式对抗网络 GAN 的研究进展与展望

【智能自动化学科前沿讲习班第1期】王飞跃教授:生成式对抗网络GAN的研究进展与展望

【智能自动化学科前沿讲习班第1期】王坤峰副研究员:GAN与平行视觉

【重磅】平行将成为一种常态:从SimGAN获得CVPR 2017最佳论文奖说起

【平行讲坛】平行图像:图像生成的一个新型理论框架

【学界】基于生成对抗网络的低秩图像生成方法

【学界】Ian Goodfellow等人提出对抗重编程,让神经网络执行其他任务

【学界】六种GAN评估指标的综合评估实验,迈向定量评估GAN的重要一步

【资源】T2T:利用StackGAN和ProGAN从文本生成人脸

【学界】 CVPR 2018最佳论文作者亲笔解读:研究视觉任务关联性的Taskonomy

【业界】英特尔OpenVINO™工具包为创新智能视觉提供更多可能

【学界】ECCV 2018: 对抗深度学习: 鱼 (模型准确性) 与熊掌 (模型鲁棒性) 能否兼得 

【学界】何恺明组又出神作!最新论文提出全景分割新方法

登录查看更多
5

相关内容

专知会员服务
74+阅读 · 2020年5月21日
谷歌EfficientNet缩放模型,PyTorch实现登热榜
机器学习算法与Python学习
11+阅读 · 2019年6月4日
重磅!MobileNetV3 来了!
极市平台
18+阅读 · 2019年5月8日
介绍高维超参数调整 - 优化ML模型的最佳实践
AI研习社
7+阅读 · 2019年4月17日
CVPR 2019 | 用异构卷积训练深度CNN:提升效率而不损准确度
Learning to See Through Obstructions
Arxiv
7+阅读 · 2020年4月2日
EfficientDet: Scalable and Efficient Object Detection
Arxiv
6+阅读 · 2019年11月20日
AutoML: A Survey of the State-of-the-Art
Arxiv
75+阅读 · 2019年8月14日
W-net: Bridged U-net for 2D Medical Image Segmentation
Arxiv
20+阅读 · 2018年7月12日
Arxiv
5+阅读 · 2017年7月23日
VIP会员
最新内容
战略前沿人工智能的再思考(中文)
专知会员服务
4+阅读 · 5月29日
《量化地基防空系统间接效应的博弈论方法》
专知会员服务
4+阅读 · 5月29日
“史诗怒火行动”中美军损失的作战飞机
专知会员服务
4+阅读 · 5月29日
ICML 2026 | 理解上下文持续学习中的泛化与遗忘
专知会员服务
5+阅读 · 5月28日
Agent Harness综述:大模型智能体执行器工程全景
专知会员服务
14+阅读 · 5月28日
《基于理论的威慑效能评估》
专知会员服务
8+阅读 · 5月28日
相关VIP内容
专知会员服务
74+阅读 · 2020年5月21日
Top
微信扫码咨询专知VIP会员