高斯YoloV3目标检测(文中供源码链接)

2020 年 7 月 13 日 计算机视觉战队

点击蓝字关注我们







扫码关注我们

公众号 : 计算机视觉研究院

扫码回复:高斯yolov3,获取下载链接


概述


这个高斯yolov3是一个老的技术,最近看到了,就和大家分享一下!
在目标检测中,实时性和精确性的trade-off至关重要,YOLOv3是目前为止在这方面做得比较好的算法。通过高斯分布的特性,改进YOLOv3使得网络能够输出每个检测框的不确定性,从而提升了网络的精度。
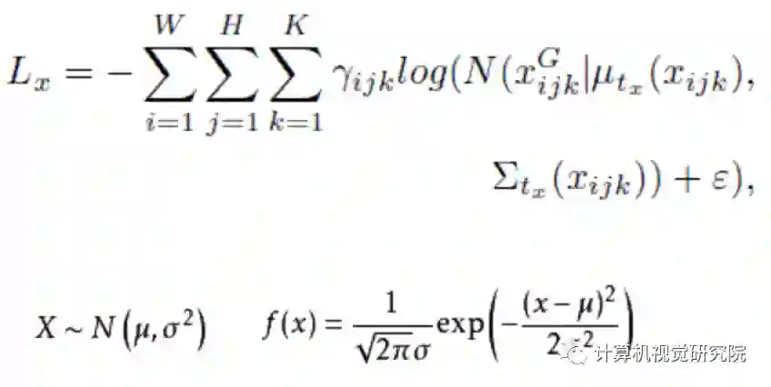
主要是在yolov3中,bbox的回归没有对边界框概率的评估,因此为bbox的四个坐标值分别拟合一个高斯分布。

模型



高斯yolov3是yolov3的改进版,它利用高斯分布的特性(也叫正态分布,详见参考资料),改进yolov3,使得网络能够输出每个检测框的不确定性,从而提升了网络的精度。

yolov3识别出的目标类别是有置信度的,但目标框只有位置而没有置信度,也就是说,从结果中无法预知当前目标框的可靠性。基于这一点,高斯yolov3利用Gaussian模型来对网络输出进行建模,在基本不改变yolov3网络结构和计算量的情况下,能够输出每个预测框的可靠性,并且在算法总体性能上提升了3个点的MAP。

下图,RGB图像作为yolov3网络的输入,检测结果会在三个不同的尺度分别输出,包含了目标的坐标位置,目标是正样本还是负样本,目标属于那个类别的置信度,对于每个尺度的分支而言,会在每个grid中会预测出三个结果(因为每个尺度下会有三个anchor)。最终将三个尺度的结果合并,进行非极大值抑制(NMS)后,输出最终的检测结果。

The provided example weight file ("Gaussian_yolov3_BDD.weights") is not the weight file used in the paper, but newly trained weight for release code validation. Because this weight file is more accurate than the weight used in the paper, we provide this file in the repository.
输出Bounding box的四个坐标、Objectness score和Class scores。为bounding box输出的四个坐标分别添加一个高斯分布,得到对应输出为:

Guassian YOLOv3介绍

如图所示,Guassian YOLOv3通过增加网络的输出,和改进网络的损失函数,实现了对预测框可靠性的输出。

  • 新的预测输出
下图为源代码对比,从中我们可以看出,与原始的YOLOv3在坐标预测时输出4个维度不同,Guassian YOLOv3在bounding box的坐标预测输出中包含了8个维度。
  • 新的损失函数

由于Gaussian YOLOv3的输出进行了调整,与之对应的损失函数的计算也会做相应的调整。与原始的YOLOv3相比,仅仅调整了预测框坐标位置的回归策略。如下代码对比所示,原始的YOLOv3进行box回归时,由于网络预测输出就是坐标本身,因此计算梯度时就利用了均方误差的方式。而由于Gaussian YOLOv3输出的是均值和方差,因此在计算梯度时就结合了高斯分布的策略。

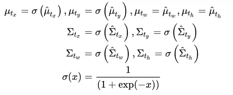
  • GT值的计算

  • 最终的预测输出

其实为两个方差取平均后的值,最终对conf值进行修改,其他的得分例如class score和location score并未发生改变,因此实际进行的改动并不大。


对比结果


可视化结果:

如果想加入我们“ 计算机视觉研究院 ”,请扫二维码加入我们。我们会按照你的需求将你拉入对应的学习群!
计算机视觉研究院主要涉及深度学习领域,主要致力于人脸检测、人脸识别,多目标检测、目标跟踪、图像分割等研究方向。研究院接下来会不断分享最新的论文算法新框架,我们这次改革不同点就是,我们要着重” 研究 “。之后我们会针对相应领域分享实践过程,让大家真正体会 摆脱理论 的真实场景,培养爱动手编程爱动脑思考的习惯!






扫码关注我们

公众号 : 计算机视觉研究院

扫码回复:高斯yolov3,获取下载链接

登录查看更多
0

相关内容

YOLO是快速的端到端的目标检测深度网络

知识荟萃

精品入门和进阶教程、论文和代码整理等

更多

查看相关VIP内容、论文、资讯等
深度学习目标检测方法综述
专知会员服务
280+阅读 · 2020年8月1日
专知会员服务
164+阅读 · 2020年4月21日
CVPR2020 | 商汤-港中文等提出PV-RCNN:3D目标检测新网络
专知会员服务
45+阅读 · 2020年4月17日
专知会员服务
110+阅读 · 2020年3月12日
进化历程详解:YOLOv1到YOLOv3
极市平台
31+阅读 · 2019年8月27日
角网络——目标检测(文后有paper地址及源码)
计算机视觉战队
5+阅读 · 2019年6月5日
Faster R-CNN
数据挖掘入门与实战
4+阅读 · 2018年4月20日
Fast R-CNN
数据挖掘入门与实战
3+阅读 · 2018年4月20日
期待已久的—YOLO V3
计算机视觉战队
20+阅读 · 2018年4月13日
YOLO升级到v3版,检测速度比R-CNN快1000倍
人工智能头条
10+阅读 · 2018年3月28日
YOLOv3:An Incremental Improvement 全文翻译
极市平台
12+阅读 · 2018年3月28日
【下载】PyTorch 实现的YOLO v2目标检测算法
专知
15+阅读 · 2017年12月27日
Arxiv
25+阅读 · 2020年3月11日
Arxiv
8+阅读 · 2018年4月8日
Arxiv
7+阅读 · 2018年1月24日
VIP会员
最新内容
【CMU博士论文】迈向可解释机器学习的理论基础
专知会员服务
0+阅读 · 23分钟前
基于数据优化的人机协同与机器人僚机
专知会员服务
4+阅读 · 今天2:08
美陆军设想无人系统司令部
专知会员服务
3+阅读 · 4月15日
【博士论文】已对齐人工智能系统的持久脆弱性
相关VIP内容
相关资讯
进化历程详解:YOLOv1到YOLOv3
极市平台
31+阅读 · 2019年8月27日
角网络——目标检测(文后有paper地址及源码)
计算机视觉战队
5+阅读 · 2019年6月5日
Faster R-CNN
数据挖掘入门与实战
4+阅读 · 2018年4月20日
Fast R-CNN
数据挖掘入门与实战
3+阅读 · 2018年4月20日
期待已久的—YOLO V3
计算机视觉战队
20+阅读 · 2018年4月13日
YOLO升级到v3版,检测速度比R-CNN快1000倍
人工智能头条
10+阅读 · 2018年3月28日
YOLOv3:An Incremental Improvement 全文翻译
极市平台
12+阅读 · 2018年3月28日
【下载】PyTorch 实现的YOLO v2目标检测算法
专知
15+阅读 · 2017年12月27日
Top
微信扫码咨询专知VIP会员