CVPR2020 | 腾讯推出超强少样本目标检测算法,公开千类少样本检测训练集FSOD

2020 年 3 月 5 日 CVer

点击上方“CVer”,选择加"星标"或“置顶”

重磅干货,第一时间送达

本文转载自:晓飞的算法工程笔记

论文提出了新的少样本目标检测算法,创新点包括Attention-RPN、多关系检测器以及对比训练策略,另外还构建了包含1000类的少样本检测数据集FSOD,在FSOD上训练得到的论文模型能够直接迁移到新类别的检测中,不需要fine-tune

论文: Few-Shot Object Detection with Attention-RPN and Multi-Relation Detector

  • 论文地址:https://arxiv.org/abs/1908.01998
  • 数据集链接:https://github.com/fanq15/Few-Shot-Object-Detection-Dataset

Introduction


  不同于正常的目标检测任务,few-show目标检测任务需要通过几张新目标类别的图片在测试集中找出所有对应的前景。为了处理好这个任务,论文主要有两个贡献:

  • 提出一个通用的few-show目标检测算法,通过精心设计的对比训练策略以及RPN和检测器中加入的attention模块,该网络能够榨干目标间的匹配关系,不需要fine-tune就可以进行靠谱的新目标检测。实验表明,early stage的attention模块能够显著提升proposal的质量,而后面的多关系检测(multi-relation detector)模块则能有效抑制和过滤错误的背景
  • 提供了一个1000类的少样本训练集FSOD,论文提出的模型的性能提升有一定程度得益于此训练集,是一个前所未有的训练集

FSOD: A Highly-Diverse Few-Shot Object Detection Dataset


  尽管目前目标检测的训练集已经非常庞大,但是对于少样本目标检测算法的使用而言,这些训练集的类别都太少了。因此,论文构造了一个少样本目标检测专用的训练集

Dataset Construction

  新训练集基于ImageNet(选了531类)和Open Images dataset V4(选了469类),但训练集间的类别不同,为了防止合并后存在漏标的情况,先对label进行分析和合并成树状结构,补充标注,然后去掉标注质量差的图片,包括包含目标太小( )的图片。将类别分为训练集和测试集,先用COCO的类别作为基础训练集,防止pretrain的影响,然后尽量选择与当前训练集差距较大的类别作为测试集,共包含200类,再选择另外800类作为训练集

Dataset Analysis

  新训练集的数据情况如图3和表1,主要有两个特性:

  • High diversity in categories,类别覆盖的领域很多,包括动物、衣服、武器等,且训练集和测试集的类别来自不同的领域
  • Challenging setting,数据集在box大小和宽高比上有很多种,26.5%的图片包含至少3个目标,且有大量非目标类别的物体,干扰性很大

Our Methodology


Problem Definition

  给予包含目标特写的辅助图片(support image) 以及可能包含 类目标的查询图片 ,任务是找出查询图片中所有辅助图片对应的类别目标,并且标记其准确的位置。如果辅助集包含 个类别,每个类提供 张图片,则称为K-way N-shot检测

Deep Attentioned Few-Shot Detection

  论文提出新attention网络,该网络能够在RPN模块和多关系检测模块中学习辅助集与查询集间的通用的匹配关系。网络为包含多分支的权重共享框架,一个分支用于查询集,其它则用于辅助集(为了方便,图4只画了一个分支),对于同类别的辅助分支,使用平均特征图作为辅助特征图。查询分支的权重共享主干为Faster R-CNN(包括RPN),使用这个分支来训练辅助集和查询集的匹配关系,能够学习到同类别的通用知识

  • Attention-Based Region Proposal Network

  在少样本目标检测中,RPN能够产生潜在的相关box用于接下来的检测任务,不仅要分辨前景和背景,还要过滤不属于辅助集的前景。如果没有足够的辅助集信息,RPN将会产生大量不相关的proposal。为了解决这个问题,提出了attention RPN,能够使用辅助图片的信息来过滤背景以及不相关的前景,产生更少但更准的候选目标

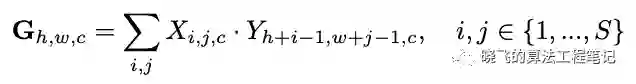
  Attention RPN的核心是计算相似度特征图,对于辅助特征图 以及查询特征图 ,相似度特征图 计算如上。辅助特征 用来作为核在查询特征图上进行类似depth-wise卷积的滑动。在实际中,查询特征采用RPN的输入特征,用于卷积的辅助特征大小为 ,由global average产生,在获得attention特征后,使用 卷积进一步提取特征,然后接objectness分类和box预测,attention RPN的loss  会跟Faster R-CNN一样加入到模型的训练中

  • Multi-Relation Detector

  RPN后面一般会接一个检测器用于对proposal进行重新评估和调整,而论文则希望检测器能够有强大的类别区分能力,提出了多关系检测器(multi-relation detector)来度量相似性.该检测器包含3个attention相似性模块,将3个模块的分数求和作为最终的匹配分数。对于大小均为 的辅助特征 和查询特征

  • global-relation head,用于学习全局匹配的深层embedding。将 concatenate成特征 ,然后平均池化成 ,最后用加ReLU的两层全连接层输出最后的分数
  • local-correlation head,学习pixel-wise和depth-wise的关系,即对应位置的关系。首先使用 卷积分别操作 ,使用前面的Attention RPN的相似性计算 进行depth-wise的相似性计算获得相似性特征图, ,最后用单层全连接层获得分数
  • patch-relation head,用于学习非线性的块匹配,即一对多的关系。将 concatenate成特征 ,然后输出到表8的块关系模块中,表8的卷积层后面都接ReLU,所有卷积层和池化层都进行0填充,模块将特征图从 下采样为 (这里池化层的s1/p0感觉描述不清楚,等源码放出来再看看),最后同时接两个全连接层,一个全连接产生匹配分数,另外一个产生bbox的预测

  论文对3种head的重要性进行了实验,可以看到这3种head能很好地互补,结合起来能够完整地表达目标间的关系

Two-way Contrastive Training Strategy

  通常少样本训练策略为每次输入为 ,论文认为模型应该同时学习识别同类别和区分不同类别,提出2-way对比训练策略

  如图7,该策略每轮随机选择一张查询图片 、一张辅助图片 以及一张别的类别的辅助图片 组成三元组 ,查询图片中只有 类目标标记为前景。在训练时,不仅学习 间的相似性,也学习 间的差异性。由于背景proposal的数量比较大,占据着训练过程,所以 控制为1:2:1比例,根据匹配分数从高到低选择。每个proposal的损失为 ,匹配损失使用二值交叉熵

  论文对不同的训练策略进行了对比,2-way 5-shot对比训练策略效果最优,并且可以看到attention RPN也是有效的, 提升了1.9

Experiments


Training Details

  查询图片短边为600像素,长边上限1000像素,辅助图片裁剪目标区域加16像素的位置,resize然后0填充至 ,在推理时,相同类别的辅助集使用平均特征集

Comparison with State-of-the-Art Methods

  这里表格的finetune是指直接在测试集上进行finetune

Realistic Applications

More Categories vs More Samples?

CONCLUSION


  论文提出了新的少样本目标检测算法,创新点包括Attention-RPN、多关系检测器以及对比训练策略,另外还构建了包含1000类的少样本检测数据集FSOD,在FSOD上训练得到的论文模型能够直接迁移到新类别的检测中,不需要fine-tune


推荐阅读


2020年AI算法岗求职群来了(含准备攻略、面试经验、内推和学习资料等)


重磅!CVer-目标检测交流群已成立


扫码添加CVer助手,可申请加入CVer-目标检测 微信交流群,目前已满3000+人,旨在交流目标检测的学习、科研、工程项目等内容。


一定要备注:研究方向+地点+学校/公司+昵称(如目标检测+上海+上交+卡卡),根据格式备注,可更快被通过且邀请进群

▲长按加群


▲长按关注我们

麻烦给我一个在看!

登录查看更多
0

相关内容

训练集,在AI领域多指用于机器学习训练的数据,数据可以有标签的,也可以是无标签的。
【CVPR2020-北京大学】自适应间隔损失的提升小样本学习
专知会员服务
85+阅读 · 2020年6月9日
CVPR2020 | 商汤-港中文等提出PV-RCNN:3D目标检测新网络
专知会员服务
45+阅读 · 2020年4月17日
【CVPR2020-谷歌】多目标(车辆)跟踪与检测框架 RetinaTrack
专知会员服务
45+阅读 · 2020年4月10日
【CVPR2020-旷视】DPGN:分布传播图网络的小样本学习
专知会员服务
28+阅读 · 2020年4月1日
【CVPR2020-百度】用于视觉识别的门控信道变换
专知会员服务
13+阅读 · 2020年3月30日
47.4mAP!最强Anchor-free目标检测网络:SAPD
极市平台
13+阅读 · 2019年12月16日
ICCV 2019 | 精确的端到端的弱监督目标检测网络
AI科技评论
11+阅读 · 2019年12月9日
CVPR 2019:精确目标检测的不确定边界框回归
AI科技评论
13+阅读 · 2019年9月16日
综述 | CVPR2019目标检测方法进展
计算机视觉life
15+阅读 · 2019年4月3日
一种小目标检测中有效的数据增强方法
极市平台
119+阅读 · 2019年3月23日
三分支网络——目前目标检测性能最佳网络框架
人工智能前沿讲习班
6+阅读 · 2019年3月5日
CVPR2018 目标检测算法总览(最新的目标检测论文)
极市平台
21+阅读 · 2018年12月21日
CVPR 2018|Cascade R-CNN:向高精度目标检测器迈进
极市平台
10+阅读 · 2018年7月20日
Few-shot Adaptive Faster R-CNN
Arxiv
3+阅读 · 2019年3月22日
Scale-Aware Trident Networks for Object Detection
Arxiv
4+阅读 · 2019年1月7日
Arxiv
5+阅读 · 2018年4月17日
Arxiv
3+阅读 · 2018年3月5日
Arxiv
5+阅读 · 2017年7月23日
Arxiv
5+阅读 · 2016年12月29日
VIP会员
最新内容
人工智能在战场行动中的演进及伊朗案例
专知会员服务
2+阅读 · 今天13:08
美AI公司Anthropic推出网络安全模型“Mythos”
专知会员服务
2+阅读 · 今天12:58
【博士论文】面向城市环境的可解释计算机视觉
专知会员服务
0+阅读 · 今天12:57
大语言模型的自改进机制:技术综述与未来展望
专知会员服务
0+阅读 · 今天12:50
《第四代军事特种作战部队选拔与评估》
专知会员服务
1+阅读 · 今天6:23
相关资讯
47.4mAP!最强Anchor-free目标检测网络:SAPD
极市平台
13+阅读 · 2019年12月16日
ICCV 2019 | 精确的端到端的弱监督目标检测网络
AI科技评论
11+阅读 · 2019年12月9日
CVPR 2019:精确目标检测的不确定边界框回归
AI科技评论
13+阅读 · 2019年9月16日
综述 | CVPR2019目标检测方法进展
计算机视觉life
15+阅读 · 2019年4月3日
一种小目标检测中有效的数据增强方法
极市平台
119+阅读 · 2019年3月23日
三分支网络——目前目标检测性能最佳网络框架
人工智能前沿讲习班
6+阅读 · 2019年3月5日
CVPR2018 目标检测算法总览(最新的目标检测论文)
极市平台
21+阅读 · 2018年12月21日
CVPR 2018|Cascade R-CNN:向高精度目标检测器迈进
极市平台
10+阅读 · 2018年7月20日
Top
微信扫码咨询专知VIP会员