【NIPS2019】Infidelity and Sensitivity:模型可解释性方法的定量评估

2020 年 6 月 14 日 AINLP

作者:HardenHuang

学校:清华大学

研究方向:自然语言处理

知乎专栏:模型可解释性论文专栏




NIPS2019的一篇模型可解释性文章,文章主要是提出了模型可解释性方法的两个定量评估指标Infidelity和Sensitivity,同时给出了Infidelity与Sensitivity约束下的最佳可解释性方法。

https://arxiv.org/abs/1901.09392

On the (In)fidelity and Sensitivity for Explanations arxiv.org

如何模型可解释性方法的评估?

模型可解释性方法的评估可以分为主观度量和客观度量两种,可解释性本身是偏人本身的一个概念,因此目前占主流的评估方法为主观度量,但是完全依靠人的主观度量评估模型可解释性方法是不可行的。文章便提出了依靠客观度量去评估模型可解释性方法的两个重要度量InfidelitySensitivity

Infidelity--失真度

  1. 完整性公理

Infidelity的定义来源于Ancona[1]中的completeness axiom(完整性公理),定义如下:

设模型对应函数  ,输出feature importance的可解释性方法函数  ,  定义为对输入  的扰动,则完整性公理的公式如下:

因此完整性公理视最佳可解释性方法函数 为扰动  下模型输出  对输入  的导数。

2. Infidelity的定量表示

设扰动  为一随机变量,对应的概率分布为  ,Infidelity的定量公式表述为:

假定满足完整性公理的可解释性方法函数  ,Infidelity衡量便是可解释性方法函数  与  之间距离期望,该距离期望越小,失真度infidelity越小

3. Explanations with least Infidelity

Infidelity度量下,最佳的可解释性方法函数  定义如下,




Integrated Gradient[2]的公式为  ,

Smoot Gradient[3]的泛化公式为  , 其中 为高斯核函数,同时还可以是其他形式的核函数。

因此可以看出,具有least infidelity的可解释性函数  是Integrated Gradient的平滑版本,对应的核函数形式为 

扰动  有多种定义形式,如下四种扰动:Difference to baseline, Subset of difference to baseline, Difference to noisy baseline, Difference to multiple baselines


3. Many Recent Explanations Optimize Infidelity

有许多模型可解释性方法可以认为是对给定的扰动 约束下,优化infidelity度量。

(1)固定基线扰动:  ,此时扰动固定,对应的可解释性方法有Integrated Gradient, Deep Lift[4], LRP[5]

(2)固定坐标扰动:  ,  是一个坐标向量偏置



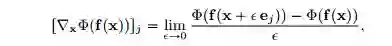
此时的最佳可解释性函数可以认为是梯度可解释性函数[6]



: 

(3)非固定坐标扰动:  , 是一个坐标向量偏置



此时最佳的可解释性函数可以认为是occlusion-1 explanation[7]

(4)0-1 mask扰动:设模型输入  ,此时扰动定义为 



此时最佳解释函数  与输入  的逐点乘积等于Shapley value[8]

4. Some Novel Explanations with New Perturbations

论文作者提出了一些新的扰动形式,基于该些扰动的可解释性方法在Infidelity和Sensitivity两个维度上都取得最佳效果

(1)noisy baseline: 是对固定基线扰动  的一种改进,此时  变为一个随机变量  ,例如高斯噪声。

(2)Square remove:针对图像的扰动,对图像中的一部分或者数个部分的像素块进行mask。

5. Local and Global Explanations

Local Explanation关注的是模型输出对输入feature变化的敏感度

Global Explanation关注的是输入feature变化导致的模型输出的变化。

Sensitivity-敏感度

论文将Sensitivity定义为可解释性方法函数  对输入  的导数,具体的表达如下:

首先定义  ,其中 



可得基于梯度的敏感性分数  的公式表达为:



由此得到基于Lips系数的敏感性分数表达 



如果可解释性函数的局部满足Lipshitz continuous,我们可以得到最终的敏感性分数  表示



max-sensitivity分数  的主要好处是可以通过蒙特卡洛采样进行计算。

Reducing Sensitivity and Infidelity by Smoothing Explanations

文章指出通过smooth explanation即平滑可解释性函数  ,可以同时降低sensitivity与infidelity分数。

1.证明降低sensitivity分数



2. 证明降低infidelity分数



Experiment Results

在MNIST, CIFAR-10和ImageNet上的评测对比多种可解释性方法,给出infidelity与sensitivity结果的对比



Grad, IG, GBP, SHAP分别是vanilla gradient , integrated gradient, Guided Back-Propagation [9] and KernelSHAP[10]等可解释性方法的表示。Grad-SG表示让Grad explanation进行平滑,IG-SG表示让IG explanation进行平滑,GBP-SG表示使GBP explanation进行平滑,Noisy baseline和Square是作者提出的两种新的扰动形式。

从上表可以看出:通过Smooth操作,GBP IG 与Grad等可解释性方法的性能得到了提升,

Noisy baseline和Square两种文章提出的扰动方法,对应的可解释性方法的性能达到最佳。

下面是可视化的一些结果展示




参考

  1. ^Ancona, M., Ceolini, E., Öztireli, C., and Gross, M. A unified view of gradient-based attribution methods for deep neural networks. International Conference on Learning Representations,2018.

  2. ^Sundararajan, M., Taly, A., and Yan, Q. Axiomatic attribution for deep networks. In International Conference on Machine Learning, 2017.

  3. ^Daniel Smilkov, Nikhil Thorat, Been Kim, Fernanda B. Viegas, and Martin Wattenberg. 2017. SmoothGrad: ´ removing noise by adding noise. In ICML Workshop on Visualization for Deep Learning.

  4. ^Shrikumar, A., Greenside, P., and Kundaje, A. Learning important features through propagating activation differences. International Conference on Machine Learning, 2017.

  5. ^Bach, S., Binder, A., Montavon, G., Klauschen, F., Müller, K.-R., and Samek, W. On pixel-wise explanations for non-linear classifier decisions by layer-wise relevance propagation. PloS one, 10(7):e0130140, 2015.

  6. ^Shrikumar, A., Greenside, P., Shcherbina, A., and Kundaje, A. Not just a black box: Learning important features through propagating activation differences. arXiv preprint arXiv:1605.01713, 2016.

  7. ^Zeiler, M. D. and Fergus, R. Visualizing and understanding convolutional networks. In European conference on computer vision, pp. 818–833. Springer, 2014.

  8. ^Lundberg, S. M. and Lee, S.-I. A unified approach to interpreting model predictions. In Advances in Neural Information Processing Systems, pp. 4765–4774, 2017.

  9. ^vanilla gradient [37], integrated gradient [43], Guided Back-Propagation [41], and KernelSHAP [25]

  10. ^Lundberg, S. M. and Lee, S.-I. A unified approach to interpreting model predictions. In Advances in Neural Information Processing Systems, pp. 4765–4774, 2017.




本文由作者授权AINLP原创发布于公众号平台,欢迎投稿,AI、NLP均可。原文链接,点击"阅读原文"直达:


https://zhuanlan.zhihu.com/p/112033098


作者相关的两篇文章:


可解释性论文阅读笔记1-Tree Regularization


可解释性论文阅读笔记2-Leveraging Language Models


推荐阅读

这个NLP工具,玩得根本停不下来

征稿启示| 200元稿费+5000DBC(价值20个小时GPU算力)

文本自动摘要任务的“不完全”心得总结番外篇——submodular函数优化

Node2Vec 论文+代码笔记

模型压缩实践收尾篇——模型蒸馏以及其他一些技巧实践小结

中文命名实体识别工具(NER)哪家强?

学自然语言处理,其实更应该学好英语

斯坦福大学NLP组Python深度学习自然语言处理工具Stanza试用

太赞了!Springer面向公众开放电子书籍,附65本数学、编程、机器学习、深度学习、数据挖掘、数据科学等书籍链接及打包下载

数学之美中盛赞的 Michael Collins 教授,他的NLP课程要不要收藏?

自动作诗机&藏头诗生成器:五言、七言、绝句、律诗全了

这门斯坦福大学自然语言处理经典入门课,我放到B站了

关于AINLP

AINLP 是一个有趣有AI的自然语言处理社区,专注于 AI、NLP、机器学习、深度学习、推荐算法等相关技术的分享,主题包括文本摘要、智能问答、聊天机器人、机器翻译、自动生成、知识图谱、预训练模型、推荐系统、计算广告、招聘信息、求职经验分享等,欢迎关注!加技术交流群请添加AINLPer(id:ainlper),备注工作/研究方向+加群目的。


阅读至此了,点个在看吧👇

登录查看更多
19

相关内容

专知会员服务
46+阅读 · 2020年7月29日
【哈佛大学】机器学习的黑盒解释性,52页ppt
专知会员服务
172+阅读 · 2020年5月27日
专知会员服务
63+阅读 · 2020年3月4日
【哈佛大学商学院课程Fall 2019】机器学习可解释性
专知会员服务
105+阅读 · 2019年10月9日
注意力能提高模型可解释性?实验表明:并没有
黑龙江大学自然语言处理实验室
11+阅读 · 2019年4月16日
论文浅尝 | 用于知识图中链接预测的嵌入方法 SimplE
开放知识图谱
24+阅读 · 2019年4月3日
论文浅尝 | Interaction Embeddings for Prediction and Explanation
开放知识图谱
11+阅读 · 2019年2月1日
如果你研究多因子模型,这篇文章看不懂就别玩了!
量化投资与机器学习
26+阅读 · 2018年7月31日
LibRec 精选:推荐的可解释性[综述]
LibRec智能推荐
10+阅读 · 2018年5月4日
回归预测&时间序列预测
GBASE数据工程部数据团队
44+阅读 · 2017年5月17日
Deep learning for cardiac image segmentation: A review
Arxiv
21+阅读 · 2019年11月9日
Video-to-Video Synthesis
Arxiv
9+阅读 · 2018年8月20日
Arxiv
23+阅读 · 2018年8月3日
Arxiv
5+阅读 · 2018年4月30日
Arxiv
5+阅读 · 2018年3月16日
VIP会员
最新内容
AutoScientists:自组织智能体团队驱动长期科学实验
战略前沿人工智能的再思考(中文)
专知会员服务
3+阅读 · 今天14:53
《量化地基防空系统间接效应的博弈论方法》
专知会员服务
3+阅读 · 今天14:51
“史诗怒火行动”中美军损失的作战飞机
专知会员服务
2+阅读 · 今天14:38
ICML 2026 | 理解上下文持续学习中的泛化与遗忘
专知会员服务
5+阅读 · 5月28日
Agent Harness综述:大模型智能体执行器工程全景
专知会员服务
13+阅读 · 5月28日
《基于理论的威慑效能评估》
专知会员服务
8+阅读 · 5月28日
相关VIP内容
专知会员服务
46+阅读 · 2020年7月29日
【哈佛大学】机器学习的黑盒解释性,52页ppt
专知会员服务
172+阅读 · 2020年5月27日
专知会员服务
63+阅读 · 2020年3月4日
【哈佛大学商学院课程Fall 2019】机器学习可解释性
专知会员服务
105+阅读 · 2019年10月9日
相关资讯
注意力能提高模型可解释性?实验表明:并没有
黑龙江大学自然语言处理实验室
11+阅读 · 2019年4月16日
论文浅尝 | 用于知识图中链接预测的嵌入方法 SimplE
开放知识图谱
24+阅读 · 2019年4月3日
论文浅尝 | Interaction Embeddings for Prediction and Explanation
开放知识图谱
11+阅读 · 2019年2月1日
如果你研究多因子模型,这篇文章看不懂就别玩了!
量化投资与机器学习
26+阅读 · 2018年7月31日
LibRec 精选:推荐的可解释性[综述]
LibRec智能推荐
10+阅读 · 2018年5月4日
回归预测&时间序列预测
GBASE数据工程部数据团队
44+阅读 · 2017年5月17日
相关论文
Deep learning for cardiac image segmentation: A review
Arxiv
21+阅读 · 2019年11月9日
Video-to-Video Synthesis
Arxiv
9+阅读 · 2018年8月20日
Arxiv
23+阅读 · 2018年8月3日
Arxiv
5+阅读 · 2018年4月30日
Arxiv
5+阅读 · 2018年3月16日
Top
微信扫码咨询专知VIP会员