魔都要用最先进的神经网络预测交通?前排围观

2018 年 11 月 15 日 机器之心

机器之心报道

机器之心编辑部


人工智能控制交通?我们已经在做了。近日,上海交通大学和上海交通信息中心一篇神经网络预测上海交通流量的论文引起了人们的关注。


你是否曾有过这样的经历——有时遇上一个红灯,接下来的每个路口就全是红灯;有时却是一路的绿灯?这并非个人的运气好坏,而是背后一套交通灯系统运行的系统在起作用。


信号灯设置不科学、配时不合理的直接后果就是拥堵不堪的路况和漫长的通勤时间,这对于数以亿计的白领一族和城市居民来说,绝对是 每天最令人烦心的事情之一。如何让信号灯「聪明」起来,正在成为搭建一套「智慧交通系统」最为核心的问题。


现在,面对城市拥堵这个棘手的大难题,上海交通大学和上海市交通信息中心(TIC)的研究者提出一种新型拓扑网络 Linkage Network,用于建模道路网络、展示交通流量的传播规律(propagation pattern)。


先解决交通预测问题


为了实现交通的智能化控制,我们需要建立一套有「预知能力」的系统,预测是智能交通系统(ITS)中最基础、最重要的任务。


以上海市交通信息中心为例,高度准确率的交通预测可以帮助控制交通流量。同时,大规模交通拥堵意味着大量市民聚集在某个特定地点,因此交通预测还可以通过提前通知管理人员来预防公共事件或交通事故的发生,以及及时部署应急预案。


关于交通预测的研究有很多,但仍然存在很多局限。


很多现有方法把交通预测仅当作时序问题来处理,但一个路段的交通条件与其他路段的情况强相关,因此一定不能忽视整个交通网络的整体信息。有些路段的交通条件呈现出很强的季节规律,但大部分路段不具备此类特征。


论文中展示了具备强周期性的路段(左图),以及不具备此类特征的路段(右图)。


也有一些方法期望引入额外的时空数据来辅助交通预测。这种方法一定程度上解决了全局信息的问题,但额外的信息会导致大量算力消耗。道路系统的时空强相关特性表明使用局部信息分别进行交通预测不等于全局预测。


突破之道


上海交通大学和上海市交通信息中心(TIC)的研究者们提出了一种全新的机制来处理交通预测任务,并解决上述局限。


据介绍,该机制包括两大关键部分:Linkage Network 和在线预测器 Graph Recurrent Neural Network (GRNN)。新型拓扑网络 Linkage Network 用于建模道路网络、展示交通流量的传播规律。基于 Linkage Network 模型设计的新型在线交通预测器 GRNN 用于学习交通道路图中的传播规律。它可以基于图信息预测所有路段的交通流量,显著降低了计算复杂度,同时还能保持高准确率。


此外,它还可以预测交通趋势的变化。基于现实世界数据的实验表明本研究提出的方法优于现有的预测方法。


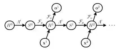
该方法的架构如下图所示:



其中 Linkage Network 用来充实道路网络图所包含的属性信息,展示交通传播规律这一重要属性,从而说明交通变化的内部机制。而 GRNN 用于挖掘和学习该交通规律,并同步进行全局交通预测。


LINKAGE NETWORK


道路网络和 Linkage Network 之间的区别。


我们可以看到,Linkage Network 具备两大优势:


  • 包含的信息更加丰富,尤其是其展示了交通道路的传播规律。

  • 仅在 Linkage Network 的定义下,即可设计算法来学习交通模式。


GRNN


GRNN 包含传播模块(propagation module),可以在交通流量沿着道路网络扩展时向 linkage network 传播隐藏状态。由于交通传播对交通情况有直接影响,因此 GRNN 可以利用学得的传播规律轻松生成预测结果。


GRNN 架构图示。


在这种结构下,GRNN 有两大特点:


  • GRNN 成为一个序列到序列的模型,克服了 GNN 的局限性,后者不擅长处理流动数据;

  • GRNN 可以学习 linkage network 代表的传播模式并同步预测局部交通状况。


研究人员表示,训练整个 GRNN 用的是 BPTT 算法。


实验对比


为了验证算法能否真正预测交通拥堵情况,研究者使用上海市交通信息中心(TIC)的原始出租车轨迹数据集进行了测试,如下图所示:


原始出租车轨迹数据分布图,右侧附图即该研究选择的子图。路段的亮度越高,该路段的样本越多。


为了验证新模型的准确度,研究人员还找到了 5 种基准模型进行对比:HA、ARIMA、GBRT、SVR 和 GGNN。实验证明,GRNN 的效果大大好于此前人们提出的方法。


实验结果


表 1:不同方法的对比结果。GRNN 方法成绩领先。


图 8:GRNN 和 GBRT 的性能。可以看出,神经网络的预测与真实情况基本一致。


未来可期


在国内,上海无疑是「智慧城市」运动的先行者。自 2011 年以来,上海已经实施两轮三年行动计划,」智慧城市」系统形成了相对完备的顶层设计和推进机制,并连续 3 年在国家权威机构发布的信息化排名中名列全国第一,为城市提供智能化服务的云端「大脑」和服务能力已达到国际水平。在推进智慧城市建设的第六个年头,上海这座现代化国际大都市的先行经验颇具借鉴和分享价值。


也许在未来,指挥我们在街道上通行的交通信号灯都将由神经网络控制,这个未来并不遥远。红绿灯将不再只是「灯」,它能通过多渠道自行感知和收集相关交通数据,再运用自己的「大脑」进行分析研判,给出信号控制和交通组织的最佳方案。


国内科技巨头也有着智能交通的愿景。11 月 8 日,百度创始人、董事长兼 CEO 李彦宏在第五届互联网大会上发表演讲时介绍了百度在智能交通方面的进展。他表示,百度和中国不少城市有合作。比如在北京,百度将从海淀区开始,接管所有的红路灯,智能实时的进行调整。根据预算,可使交通拥堵时的等待时间减少 30%-40%。此外,他还透露,百度与上海也在智能交通、自动驾驶以及工业升级等方面有合作。


在杭州构建智慧城市的阿里巴巴也已有智能交通的实践,阿里巴巴集团技术委员会主席王坚在今年的云栖大会上曾表示,阿里一直在利用城市大脑的数据挖掘引导交通,让市内道路中的堵点逐渐化解,提升通行速度。杭州道路的拥堵程度已从 2013 年的全国前十退至了今天的 80 多位。


今天,因为技术的发展,一个杭州人去上班可以比北京人晚一个小时出门。


那么上海呢?



本文为机器之心报道,转载请联系本公众号获得授权

✄------------------------------------------------

加入机器之心(全职记者 / 实习生):[email protected]

投稿或寻求报道:content@jiqizhixin.com

广告 & 商务合作:[email protected]

登录查看更多
8

相关内容

Networking:IFIP International Conferences on Networking。 Explanation:国际网络会议。 Publisher:IFIP。 SIT: http://dblp.uni-trier.de/db/conf/networking/index.html
最新《多任务学习》综述,39页pdf
专知会员服务
266+阅读 · 2020年7月10日
华为发布《自动驾驶网络解决方案白皮书》
专知会员服务
130+阅读 · 2020年5月22日
【IJCAI2020】图神经网络预测结构化实体交互
专知会员服务
43+阅读 · 2020年5月13日
金融时序预测中的深度学习方法:2005到2019
专知会员服务
168+阅读 · 2019年12月4日
人工智能能够预测地震吗?
人工智能学家
7+阅读 · 2018年12月10日
周志华与「深度森林」
网易智能菌
7+阅读 · 2018年8月2日
智慧停车行业深度研究与分析报告
智能交通技术
4+阅读 · 2018年3月20日
回归预测&时间序列预测
GBASE数据工程部数据团队
44+阅读 · 2017年5月17日
Arxiv
5+阅读 · 2018年9月11日
Arxiv
19+阅读 · 2018年6月27日
VIP会员
最新内容
BES:让语言模型通过双向进化搜索自我改进
专知会员服务
0+阅读 · 5月30日
以色列-美国-伊朗战争中的无人机:关键要点
专知会员服务
3+阅读 · 5月30日
《Palantir任务保障性软件安全标准(MA-S2)》
专知会员服务
7+阅读 · 5月30日
基于声学的无人机检测技术综述
专知会员服务
5+阅读 · 5月30日
《当代混合战争分析框架:俄乌战争经验教训》
战略前沿人工智能的再思考(中文)
专知会员服务
7+阅读 · 5月29日
《量化地基防空系统间接效应的博弈论方法》
专知会员服务
5+阅读 · 5月29日
相关资讯
人工智能能够预测地震吗?
人工智能学家
7+阅读 · 2018年12月10日
周志华与「深度森林」
网易智能菌
7+阅读 · 2018年8月2日
智慧停车行业深度研究与分析报告
智能交通技术
4+阅读 · 2018年3月20日
回归预测&时间序列预测
GBASE数据工程部数据团队
44+阅读 · 2017年5月17日
Top
微信扫码咨询专知VIP会员