有人把机器学习的数学基础整理成了专辑

2020 年 6 月 30 日 DataFunTalk

本文推荐一份机器学习数学基础专辑,在线阅读地址:(数学基础专辑), 同时文末提供下载。

机器学习,需要一定的数学基础,也需要一定的代码能力。机器学习从业者数学基础不扎实,只会用一些工具和框架,相当于某些武术家只会耍套路,外行人觉得很厉害,但实战起来一定是鼻青脸肿。
如何在有限的计算资源下找出最优解,在目标函数及其导数的各种情形下,应该如何选择优化方法;各种方法的时间空间复杂度、收敛性如何;还要知道怎样构造目标函数,才便于用凸优化或其他框架来求解,这些都需要一定的数学基础。可以说,数学基础是机器学习从业人员的天花板。

博士的代码能力,不一定比硕士强,但数学基础,往往要比硕士扎实很多。为什么机器学习从业人员学历越高,往往工资越高,通常和掌握的基础知识正相关。

关于数学基础资料,这里我推荐黄海广博士整理的数学笔记:
这份资料已经做成了专辑(数学基础专辑

黄海广博士目前Github star已经超过45000,曾经翻译过吴恩达课程。

 专辑分为两个部分(1-2,3-5):

一、CS229数学基础

CS229的数学基础,分为概率论线性代数两部分,是斯坦福系列课程的数学基础资料,主要翻译者(黄海广、石振宇)。

内容截图

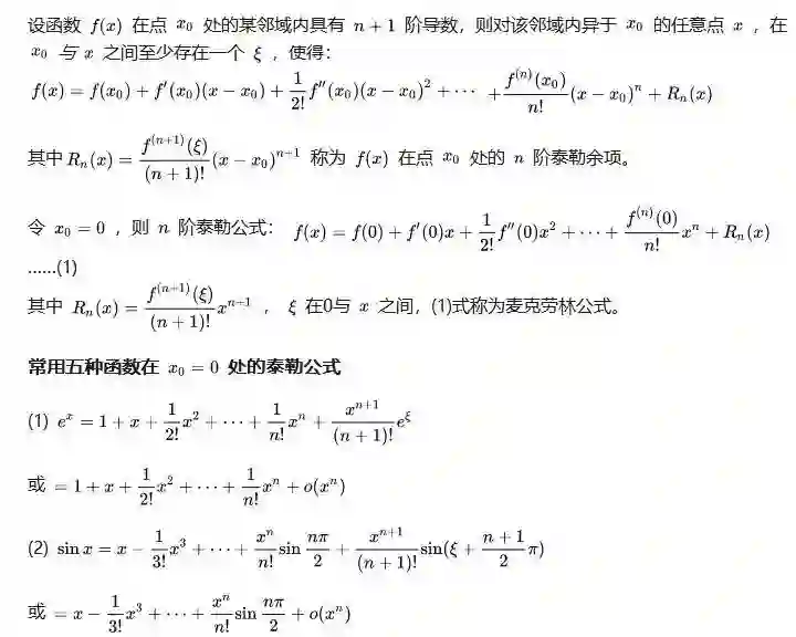
二、大学数学基础精华

机器学习最基础的数学知识,可以分为高等数学线性代数概率论与数理统计三部分:

内容截图

三、专辑下载

数学专辑可以在线阅读,也可以下载(pdf、word、markdown文件),可以直接在“机器学习初学者”公众号回复“math”即可获取下载地址。


下载内容截图扫码进入公众号,回复“math”即可获取下载地址

登录查看更多
1

相关内容

一图搞定ML!2020版机器学习技术路线图,35页ppt
专知会员服务
94+阅读 · 2020年7月28日
【纽约大学】最新《离散数学》笔记,451页pdf
专知会员服务
131+阅读 · 2020年5月26日
【资源】100+本免费数据科学书
专知会员服务
110+阅读 · 2020年3月17日
机器学习速查手册,135页pdf
专知会员服务
345+阅读 · 2020年3月15日
《深度学习》圣经花书的数学推导、原理与Python代码实现
谷歌机器学习速成课程中文版pdf
专知会员服务
147+阅读 · 2019年12月4日
【机器学习课程】Google机器学习速成课程
专知会员服务
171+阅读 · 2019年12月2日
【推荐系统/计算广告/机器学习/CTR预估资料汇总】
专知会员服务
88+阅读 · 2019年10月21日
机器学习必备的数学基础有哪些?
人工智能头条
12+阅读 · 2019年10月18日
【资源】机器学习数学全书,1900页PDF下载
全球人工智能
158+阅读 · 2019年10月17日
421页《机器学习数学基础》最新2019版PDF下载
1024 | 最全面试总结,深度学习500问,面试必备【下载】
机器学习算法与Python学习
53+阅读 · 2018年10月24日
381页机器学习数学基础PDF下载
专知
89+阅读 · 2018年10月9日
机器学习数学基础【附PPT下载】
专知
46+阅读 · 2018年9月17日
图解高等数学|线性代数
遇见数学
39+阅读 · 2017年10月18日
如何用 3 个月零基础入门机器学习?
AI研习社
6+阅读 · 2017年9月27日
Arxiv
102+阅读 · 2020年3月4日
Arxiv
10+阅读 · 2020年2月15日
Arxiv
6+阅读 · 2018年11月29日
Arxiv
22+阅读 · 2018年8月30日
The Matrix Calculus You Need For Deep Learning
Arxiv
12+阅读 · 2018年7月2日
Arxiv
8+阅读 · 2018年5月15日
VIP会员
最新内容
美陆军设想无人系统司令部
专知会员服务
2+阅读 · 4月15日
【博士论文】已对齐人工智能系统的持久脆弱性
扭曲还是编造?视频大语言模型幻觉研究综述
专知会员服务
1+阅读 · 4月15日
《采用系统思维应对混合战争》125页
专知会员服务
5+阅读 · 4月15日
战争机器学习:数据生态系统构建(155页)
专知会员服务
8+阅读 · 4月15日
内省扩散语言模型
专知会员服务
6+阅读 · 4月14日
相关VIP内容
一图搞定ML!2020版机器学习技术路线图,35页ppt
专知会员服务
94+阅读 · 2020年7月28日
【纽约大学】最新《离散数学》笔记,451页pdf
专知会员服务
131+阅读 · 2020年5月26日
【资源】100+本免费数据科学书
专知会员服务
110+阅读 · 2020年3月17日
机器学习速查手册,135页pdf
专知会员服务
345+阅读 · 2020年3月15日
《深度学习》圣经花书的数学推导、原理与Python代码实现
谷歌机器学习速成课程中文版pdf
专知会员服务
147+阅读 · 2019年12月4日
【机器学习课程】Google机器学习速成课程
专知会员服务
171+阅读 · 2019年12月2日
【推荐系统/计算广告/机器学习/CTR预估资料汇总】
专知会员服务
88+阅读 · 2019年10月21日
相关资讯
机器学习必备的数学基础有哪些?
人工智能头条
12+阅读 · 2019年10月18日
【资源】机器学习数学全书,1900页PDF下载
全球人工智能
158+阅读 · 2019年10月17日
421页《机器学习数学基础》最新2019版PDF下载
1024 | 最全面试总结,深度学习500问,面试必备【下载】
机器学习算法与Python学习
53+阅读 · 2018年10月24日
381页机器学习数学基础PDF下载
专知
89+阅读 · 2018年10月9日
机器学习数学基础【附PPT下载】
专知
46+阅读 · 2018年9月17日
图解高等数学|线性代数
遇见数学
39+阅读 · 2017年10月18日
如何用 3 个月零基础入门机器学习?
AI研习社
6+阅读 · 2017年9月27日
相关论文
Arxiv
102+阅读 · 2020年3月4日
Arxiv
10+阅读 · 2020年2月15日
Arxiv
6+阅读 · 2018年11月29日
Arxiv
22+阅读 · 2018年8月30日
The Matrix Calculus You Need For Deep Learning
Arxiv
12+阅读 · 2018年7月2日
Arxiv
8+阅读 · 2018年5月15日
Top
微信扫码咨询专知VIP会员