SepViT:可分离视觉Transformer

2022 年 4 月 18 日 CVer

点击下方卡片,关注“CVer”公众号

AI/CV重磅干货,第一时间送达

转载自:集智书童
SepViT: Separable Vision Transformer
论文:https://arxiv.org/abs/2203.15380

Vision Transformers在一系列的视觉任务中取得了巨大的成功。然而,它们通常都需要大量的计算来实现高性能,这在部署在资源有限的设备上这是一个负担。

为了解决这些问题,作者受深度可分离卷积启发设计了深度可分离Vision Transformers,缩写为SepViT。SepViT通过一个深度可分离Self-Attention促进Window内部和Window之间的信息交互。并群欣设计了新的Window Token Embedding和分组Self-Attention方法,分别对计算成本可忽略的Window之间的注意力关系进行建模,并捕获多个Window的长期视觉依赖关系。

在各种基准测试任务上进行的大量实验表明,SepViT可以在准确性和延迟之间的权衡方面达到最先进的结果。其中,SepViT在ImageNet-1K分类上的准确率达到了84.0%,而延迟率降低了40%。在下游视觉任务中,SepViT在ADE20K语义分割任务达到50.4%的mIoU,基于RetinaNet的COCO目标检测任务达到47.5AP,基于Mask R-CNCN的48.7 box AP检测和分割任务实现43.9 mask AP。

1简介

近年来,许多计算机视觉(CV)研究人员致力于设计面向CV的Vision Transformers,以超过卷积神经网络(CNNs)的性能。Vision Transformers具有较高的远距离依赖建模能力,在图像分类、语义分割、目标检测等多种视觉任务中取得了显著的效果。然而,强大的性能通常是以计算复杂度为代价的。

最初,ViT首先将Transformer引入图像识别任务中。它将整个图像分割为几个Patches,并将每个Patch作为一个Token提供给Transformer。然而,由于计算效率低下的Self-Attention,基于Patch的Transformer很难部署。

为了解决这个问题,Swin提出了基于Window的Self-Attention,限制了非重叠子Window中Self-Attention的计算。显然,基于Window的Self-Attention在很大程度上降低了复杂性,但构建Window间连接的Shift操作符给ONNX或TensorRT的部署带来了困难。

Twins利用基于Window的Self-Attention和PVT的Spatial Reduction Attention,提出了空间可分离Self-Attention。尽管Twins是部署友好型的,并且具有出色的性能,但它的计算复杂度几乎没有降低。

CSWin通过Cross-Shaped Window Self-Attention得到了最先进的性能,但吞吐量较低。

尽管在这些著名的Transformer中取得了不同程度的进展,但它最近的大部分成功都伴随着巨大的资源需求。

为了克服上述问题本文提出了一种高效的Transformer Backbone,称为可分离Vision Transformers (SepViT),它可以按顺序捕获局部和全局依赖。SepViT的一个关键设计元素是深度可分离的Self-Attention模块,如图2所示。

受MobileNet中深度可分卷积的启发重新设计了Self-Attention模块,并提出了深度可分离Self-Attention,它由Depthwise Self-Attention和Pointwise Self-Attention组成,分别对应于MobileNet中的Depthwise和PointWise卷积。Depthwise Self-Attention用于捕获每个Window内的局部特征,Pointwise Self-Attention用于构建Window间的连接,提高表达能力。

此外,为了得到局部Window的全局表示开发了一种新的Window Token Embedding方法,该方法可以在极小的计算代价下模拟Window间的注意力关系。此外,还将AlexNet的分组卷积思想扩展到深度可分离Self-Attention,并提出了分组的Self-Attention以进一步提高性能。

为了验证SepViT的有效性,作者对一些典型的视觉任务进行了一系列实验,包括ImageNet-1K分类、ADE20K语义分割、目标检测和实例分割。

实验结果表明,与其他Vision Transformer相比,SepViT能够在性能和延迟之间实现更好的权衡。如图1所示,与具有相同精度的方法相比,在相同延迟约束下,SepViT获得了更好的精度,且推理时间更少。此外,SepViT可以方便地应用和部署,因为它只包含一些通用运算符(例如转置和矩阵乘法等)。综上所述,本文工作的贡献可以总结如下:

  • 提出了具有深度可分离Self-Attention的可分离Vision Transformer(SepViT)。它可以在单个Transformer块中实现窗口内的局部信息通信和Window之间的全局信息交换。
  • 提出了一种基于Window Token Embedding的方法来学习每个Window的全局特征表示,这有助于SepViT在计算成本可以忽略不计的情况下建模Window之间的注意关系。
  • 将深度可分离Self-Attention扩展到SepViT中的分组Self-Attention。它可以跨多个Window捕获更多的上下文,并实现更好的性能。

2相关工作

2.1 ViTs

在计算机视觉领域,CNN由于其空间归纳偏差的优势而占主导地位。之后,为了模拟像素的全局依赖性,ViT首次将Transformer引入到计算机视觉中,并在图像分类任务上取得了良好的性能。很快,一系列基于ViT技术制作了Vision Transformer。

DeiT介绍了知识蒸馏方案,并提出了数据高效的图像Transformer。

T2T-ViT通过递归地将相邻的Token聚合为一个Token,逐步将图像结构化为Token。

TNT提出了内部和外部的Transformer来分别建模词嵌入和句子嵌入之间的关系。

CPVT产生条件位置编码,该编码基于输入Token的局部邻域,并能适应任意的输入大小。

最近,PVT和Swin同步提出了对密集预测任务(如目标检测、语义和实例分割)友好的层次结构。同时,Swin作为先锋提出了基于Window的Self-Attention来计算Local Window内的注意。

随后,Twins和CSWin相继提出了基于层次结构的空间可分Self-Attention和十字形窗口Self-Attention。

另一方面,一些研究者将CNN的空间感应偏差引入到Transformer中。CoaT、CVT和LeViT在引入了Self-Attention前后引入了卷积,得到了满意的结果。

关于轻量级Transformer的设计,MobileFormer和MobileViT将Transformer块与MobileNet-V2中的Inverted Bottleneck Blocks串联和并行结合。另一个研究方向是利用神经结构搜索技术自动搜索Transformer的结构细节。

2.2 轻量化模型

针对移动端视觉任务,提出了许多轻量级和移动端友好的卷积方案。其中,分组卷积是由AlexNet首次提出的分组卷积,它对特征映射进行分组并进行分布式训练。

那么,移动端友好卷积的代表性工作必须是具有深度可分离卷积的MobileNet。深度可分离卷积包括用于空间信息通信的Depthwise卷积和用于跨通道信息交换的Pointwise卷积。随着时间的推移,许多基于上述工作的变体被开发出来。在本文的工作中,作者将深度可分离卷积的思想应用到Transformer中,旨在在不牺牲性能的情况下降低Transformer的计算复杂度。

3SepViT

在本节中,首先说明SepViT的设计概述,然后讨论SepViT Block中的一些关键模块。最后,提供了具有不同flop的体系结构。

3.1 概览

如图2所示,SepViT遵循了广泛使用的层次体系结构和基于Window的Self-Attention。

此外,SepViT还采用了条件位置编码(CPE)。对于每个阶段,都有一个重叠的Patch合并层用于特征图降采样,然后是一系列的SepViT Block。空间分辨率将以stride=4步或stride=2步逐步进行下采样,最终达到32倍下采样,通道尺寸也逐步增加一倍。

值得注意的是,局部上下文和全局信息都可以在单个SepViT Block中捕获,而其他工作应该使用2个连续的Block来完成这种局部-全局建模。

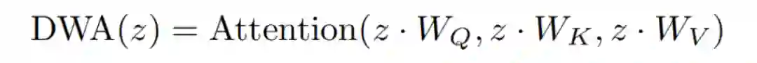
在SepViT块中,每个Window内的局部信息通信是通过DepthWise Self-Attention(DWA)实现的,Window间的全局信息交换是通过PointWise Self-Attention(PWA)进行。

3.2 深度可分离自注意力机制

1、Depthwise Self-Attention(DWA)

与一些开创性的作品类似,SepViT是建立在基于Window的Self-Attention方案之上的。首先,对输入特征图执行一个Window划分。每个Window都可以看作是特征映射的一个输入通道,而不同的Window包含不同的信息。与之前的工作不同,本文为每个Window创建了一个Window Token,作为一个全局表示,用于在下面的PointWise Self-Attention模块中建模注意力关系。

然后,对每个Window内的所有像素Token及其对应的Window Token执行DepthWise Self-Attention(DWA)。这个Window操作非常类似于MobileNets中的深度卷积层,旨在融合每个通道内的空间信息。

DWA的实现可以总结如下:

其中z是特征Token,由像素和Window Token组成。 表示3个线性层,分别用于query、key和value计算的常规Self-Attention。

注意是指在local Window上工作的标准Self-Attention操作符。

2、Window Token Embedding

建模Window之间的注意力关系的一个直接解决方案是使用所有像素Token。然而,这也将带来巨大的计算成本,使整个模型非常复杂。

为了更好地建立Window之间的注意力关系,提出了一种Window Token Embedding方案,该方案利用单个Token来封装每个子Window的核心信息。这个Window Token可以初始化为固定的零向量,也可以初始化为零的可学习向量。

在通过DWA时,每个Window中的Window Token和像素Token之间存在信息交互。因此,Window Token可以学习此Window的全局表示。由于有效的Window Token,可以用可以忽略的计算代价来建模Window之间的注意关系。

3、Pointwise Self-Attention(PWA)

MobileNets中著名的Pointwise Convolution被用来融合来自不同通道的信息。在本文的工作中模仿Pointwise Convolution来设计Pointwise Self-Attention(PWA)模块来建立Window之间的连接。

PWA还主要用于跨Window融合信息,并获得输入特征图的最终表示。更具体地说,从DWA的输出中提取特征映射和Window Token。然后,利用Window Token对Window间的注意力关系进行建模,并在层归一化(LN)层和Gelu激活函数后生成注意力图。同时,直接将特征映射视为PWA的value分支,而不进行任何其他额外的操作。

利用注意力图和特征图的形式,在Window之间进行注意力计算,进行全局信息交换。在形式上,PWA的实现可以描述如下:

其中,wt表示Window Token。

在这里,注意是一个标准的Self-Attention操作符,但可以在所有的Window z上工作。

4、Complexity Analysis

给定一个大小为H×W×C的输入特征,在ViT的全局Transformer Block中,Multi-Head Self-Attention(MSA)的计算复杂度为

Window Size为M×M基于Window的Transformer(通常M是H和WM的共同因素,所以Window的数量为 )的复杂性可以在Swin中减少到

对于SepViT中的深度可分离Self-Attention,其复杂性包括DWA和PWA两部分。

DWA

在基于Window的Self-Attention的基础上,DWA具有类似的计算成本。此外,Window Token的引入将会导致额外的成本,但与DWA的总成本相比,这一点可以忽略不计。DWA的复杂度计算方法如下:

其中 是线性层中编码Window Token的额外成本。2N(M2+1)2C表示N个Token的Self-Attention所涉及的矩阵乘法,其中M2+1表示Window中的M2像素Token及其对应的Window Token。由于子Token数量N通常是一个很小的值,Window Token造成的额外开销可以忽略。

PWA

由于Window Token总结了本地窗口的全局信息,因此所提出的PWA有助于在窗口级而不是像素级上有效地执行窗口之间的信息交换。具体地说,PWA的复杂性如下:

其中, 表示用N个Window Token计算query和key的小成本,而value分支为零成本。 表示在一个Window上计算生成具有N个Window Token的注意力映射,这在很大程度上节省了PWA的计算成本。最后,NHWC表示注意映射和特征映射之间的矩阵乘法。

3.3 Grouped Self-Attention

介于组卷积在视觉识别中的优异表现,于是作者利用组卷积对深度可分离Self-Attention进行了扩展,并提出了分组Self-Attention。

如图3所示,将相邻的子Window拼接,形成更大的Window,类似于将Window分成组,在一组Window内进行深度的Self-Attention通信。通过这种方式,Grouped Self-Attention可以捕获多个Window的长期视觉依赖关系。

在计算成本和性能增益方面,Grouped Self-Attention比深度可分离Self-Attention具有一定的额外成本,但也具有更好的性能。最终,我们将具有Grouped Self-Attention的块应用于SepViT,并在网络的后期与深度可分Self-Attention块交替运行。

3.4 SepViT Block

综上所述,SepViT块可以表述如下:

其中,¨zl、ˆzl和zl分别表示DWA、PWA和SepViT块l的输出。˙zl和˙wt是特征映射和学习到的窗口令牌。Concat表示连接操作,而Slice表示切片操作。

复杂度分析

我们比较了我们提出的SepViT块与其他两个SOTA块(Swin,Twins)的复杂性。正如之前所述,Window内和窗口之间的信息交互是在一个SepViT块中完成的,而Swin和Twins需要两个连续的块。

如图4所示,可以观察到,在网络的每个阶段,SepViT块只花费了其竞争对手的Mac的一半左右。原因在于2个方面:

  1. SepViT块更轻;
  2. SepViT块删除了许多冗余层,

例如,在一个SepViT块中只有一个MLP层和2个LN层,而在2个连续的双块或双块中有双MLP和LN层。

3.5 Architecture Configurations

为了与其他vision Transformers进行公平的比较,作者提出了SepVit-t(Tiny)、SepVit-s(Small)和SepVit-b(Base)变种。

此外,还设计了SepViT-Lite变体与一个非常轻的模型尺寸。SepViT变体的具体配置如表1所示,由于SepViT的效率更高,因此在某些阶段,SepViT的Embedding块深度比竞争对手要小。

DSSA和GSA分别表示具有Depthwise Separable Self-Attention和Grouped Self-Attention Block。此外,每个MLP层的扩展比设置为4,在所有SepViT变体中,DSSA和GSA的Window Sizes分别为7×7和14×14。

4实验

4.1 消融实验

1、Efficient Components

如上所述,SepViT采用了条件位置编码(CPE)和重叠贴片嵌入(OPE)。因此,以Swin-T+CPVT为baseline,并产生带有CPE但不带OPE的SepViT-T,以消除其他因素的影响。

如表6所示,每个组件依次添加以验证它们的作用,SepViT-T简单地配备了DSSA比Swin+CPVT强0.5%,它比755张图像/s的吞吐量快得多。同时,带有CPE、OPE和DSSA的SepViT-T达到了82.0%的top-1准确率。在第二阶段和第三阶段交替使用GSA和DSSA后,准确率提高了0.3%。

2、Window Token Embedding

进一步研究了用固定的零向量或可学习向量初始化Window Token是否会有影响。与固定的零初始化方案相比,可学习的Window Token帮助SepViT-T将性能提高到82.5%,如表6的最后一行所示。

此外,验证学习的有效性的全局表示每个Window Token Embedding方案,进一步研究其他一些方法的全局表示直接从DWA的输出特性图,如平均池(平均池)和深度卷积(DWConv)。

结果如表7所示,Window Token Embedding方案在这些方法中取得了最好的性能。同时,通过对Win token和Avg池化方法的参数和流量的比较,发现Window Token Embedding方案的计算成本可以忽略不计。

3、与Lite模型的比较

为了进一步探索SepViT的潜力,将SepViT缩小到一个精简版的模型尺寸(SepViT-Lite)。正如在表8中观察到的,SepViT-Lite获得了一个极好的最高精度,为72.3%,优于类似模型尺寸的同类算法。

4.2 图像分类

4.3 目标检测

4.4 语义分割

4.5 实例分割


ICCV和CVPR 2021论文和代码下载


后台回复:CVPR2021,即可下载CVPR 2021论文和代码开源的论文合集

后台回复:ICCV2021,即可下载ICCV 2021论文和代码开源的论文合集

后台回复:Transformer综述,即可下载最新的3篇Transformer综述PDF


图像分割和Transformer交流群成立


扫描下方二维码,或者添加微信:CVer6666,即可添加CVer小助手微信,便可申请加入CVer-图像分割或者Transformer 微信交流群。另外其他垂直方向已涵盖:目标检测、图像分割、目标跟踪、人脸检测&识别、OCR、姿态估计、超分辨率、SLAM、医疗影像、Re-ID、GAN、NAS、深度估计、自动驾驶、强化学习、车道线检测、模型剪枝&压缩、去噪、去雾、去雨、风格迁移、遥感图像、行为识别、视频理解、图像融合、图像检索、论文投稿&交流、PyTorch、TensorFlow和Transformer等。


一定要备注:研究方向+地点+学校/公司+昵称(如图像分割或者Transformer+上海+上交+卡卡),根据格式备注,可更快被通过且邀请进群


▲扫码或加微信: CVer6666,进交流群


CVer学术交流群(知识星球)来了!想要了解最新最快最好的CV/DL/ML论文速递、优质开源项目、学习教程和实战训练等资料,欢迎扫描下方二维码,加入CVer学术交流群,已汇集数千人!


扫码进群

▲点击上方卡片,关注CVer公众号

整理不易,请点赞和在看

登录查看更多
0

相关内容

【AAAI2022】基于双流更新的视觉Transformer动态加速方法
专知会员服务
24+阅读 · 2021年12月11日
专知会员服务
30+阅读 · 2021年7月30日
【CVPR2021】重新思考BiSeNet让语义分割模型速度起飞
专知会员服务
34+阅读 · 2021年5月5日
专知会员服务
65+阅读 · 2021年4月11日
Transformer替代CNN?8篇论文概述最新进展!
专知会员服务
77+阅读 · 2021年1月19日
华为等发布《视觉Transformer转换器》综述论文,21页pdf
专知会员服务
86+阅读 · 2020年12月25日
Pale Transformer:新视觉ViT主干
CVer
0+阅读 · 2022年1月2日
国家自然科学基金
0+阅读 · 2013年12月31日
国家自然科学基金
0+阅读 · 2013年12月31日
国家自然科学基金
0+阅读 · 2013年12月31日
国家自然科学基金
0+阅读 · 2012年12月31日
国家自然科学基金
0+阅读 · 2011年12月31日
国家自然科学基金
0+阅读 · 2011年12月31日
国家自然科学基金
0+阅读 · 2008年12月31日
Arxiv
1+阅读 · 2022年6月8日
Arxiv
11+阅读 · 2022年3月16日
Arxiv
103+阅读 · 2021年6月8日
Arxiv
17+阅读 · 2021年3月29日
Arxiv
19+阅读 · 2020年12月23日
VIP会员
最新内容
技术、多域威慑与海上战争(报告)
专知会员服务
3+阅读 · 今天15:04
“在云端防御”:提升北约数据韧性(报告)
专知会员服务
2+阅读 · 今天14:54
人工智能及其在海军行动中的整合(综述)
专知会员服务
2+阅读 · 今天14:07
美军MAVEN项目全面解析:算法战架构
专知会员服务
16+阅读 · 今天8:36
从俄乌战场看“马赛克战”(万字长文)
专知会员服务
10+阅读 · 今天8:19
相关VIP内容
【AAAI2022】基于双流更新的视觉Transformer动态加速方法
专知会员服务
24+阅读 · 2021年12月11日
专知会员服务
30+阅读 · 2021年7月30日
【CVPR2021】重新思考BiSeNet让语义分割模型速度起飞
专知会员服务
34+阅读 · 2021年5月5日
专知会员服务
65+阅读 · 2021年4月11日
Transformer替代CNN?8篇论文概述最新进展!
专知会员服务
77+阅读 · 2021年1月19日
华为等发布《视觉Transformer转换器》综述论文,21页pdf
专知会员服务
86+阅读 · 2020年12月25日
相关基金
国家自然科学基金
0+阅读 · 2013年12月31日
国家自然科学基金
0+阅读 · 2013年12月31日
国家自然科学基金
0+阅读 · 2013年12月31日
国家自然科学基金
0+阅读 · 2012年12月31日
国家自然科学基金
0+阅读 · 2011年12月31日
国家自然科学基金
0+阅读 · 2011年12月31日
国家自然科学基金
0+阅读 · 2008年12月31日
相关论文
Arxiv
1+阅读 · 2022年6月8日
Arxiv
11+阅读 · 2022年3月16日
Arxiv
103+阅读 · 2021年6月8日
Arxiv
17+阅读 · 2021年3月29日
Arxiv
19+阅读 · 2020年12月23日
Top
微信扫码咨询专知VIP会员