为什么要做特征缩放,怎么做特征缩放,什么时候做特征缩放?特征缩放三连了解一下!

2019 年 12 月 11 日 极市平台

加入极市专业CV交流群,与6000+来自腾讯,华为,百度,北大,清华,中科院等名企名校视觉开发者互动交流!更有机会与李开复老师等大牛群内互动!

同时提供每月大咖直播分享、真实项目需求对接、干货资讯汇总,行业技术交流。关注 极市平台 公众号 ,回复 加群,立刻申请入群~



来源:AI公园@微信公众号

作者:Sudharsan Asaithambi

编译:ronghuaiyang



在使用某些算法时,特征缩放可能会使结果发生很大变化,而在其他算法中影响很小或没有影响。为了理解这一点,让我们看看为什么需要缩放特征、各种缩放方法以及什么时候应该对特征进行尺度缩放。


为什么要做特征缩放


大多数情况下,你的数据集将包含在大小、单位和范围上差别很大的特征。但是,由于大多数机器学习算法在计算中使用两个数据点之间的欧氏距离,这会是一个问题。

如果不加考虑,这些算法只考虑特征的大小而忽略了单位。在5kg和5000gms不同的单元之间,结果会有很大的差异。在距离计算中,大尺度的特征比小尺度的特征要重要得多。

小特征 vs 大特征


为了抑制这种效果,我们需要将所有特征都处理成相同的级别。这可以通过缩放来实现。


如何对特征进行缩放


有4中常用的方法可以来做特征的缩放。

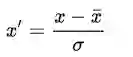
1. 标准化:

标准化将值替换为z-score

这个重新分布的特征意味着μ= 0和标准偏差σ= 1sklearn.preprocessing.scale可以帮助我们在python中实现标准化。


2. 均值归一化:

这个分布的值域为[-1,1],μ=0

标准化均值归一化可用于假设中心数据为零的算法,如主成分分析(PCA).


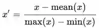
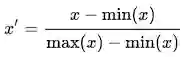
3. 最小-最大值缩放:

这种缩放使值介于0和1之间。


4. 单位向量化:

这个缩放考虑到将整个特征向量归一化到单位长度。

最小-最大缩放单位向量化技术产生的值范围为[0,1]。当处理带有硬边界的特征时,这非常有用。例如,在处理图像数据时,颜色的范围只能从0到255。


什么时候进行特征缩放


我在这里遵循的经验法则是任何计算距离或假设正常的算法,缩放你的特征!!

一些算法的例子,其中的特征缩放是很重要的:

  • k-最近邻具有欧氏距离度量,对大小敏感,因此应该对所有特征进行缩放,使其尺度相同。

  • 主成分分析(PCA),缩放是关键。主成分分析试图得到方差最大的特征,对于高幅值特征,方差较大。这使得PCA倾向于高幅值特征。

  • 梯度下降可以通过缩放进行加速。这是因为θ在小尺度上会下降的很快,在大尺度上会很慢,所以,变量尺度不均匀的时候,在最优化的路径上会有震荡,效率下降。

  • 基于树的模型不是基于距离的模型,可以处理不同范围的特性。因此,建模树时不需要缩放。

  • 线性判别分析(LDA)、朴素贝叶斯等算法设计的时候就准备好了处理这一问题,并相应地赋予特征权重。在这些算法中执行特征缩放可能没有多大效果。

好了,希望你能理解为什么如何何时进行特征缩放。

英文原文:https://medium.com/greyatom/why-how-and-when-to-scale-your-features-4b30ab09db5e




-End-



*延伸阅读




CV细分方向交流群


添加极市小助手微信(ID : cv-mart),备注:研究方向-姓名-学校/公司-城市(如:目标检测-小极-北大-深圳),即可申请加入目标检测、目标跟踪、人脸、工业检测、医学影像、三维&SLAM、图像分割等极市技术交流群(已经添加小助手的好友直接私信),更有每月大咖直播分享、真实项目需求对接、干货资讯汇总,行业技术交流一起来让思想之光照的更远吧~



△长按添加极市小助手


△长按关注极市平台


觉得有用麻烦给个在看啦~  



登录查看更多
1

相关内容

【新书册】贝叶斯神经网络,41页pdf
专知会员服务
180+阅读 · 2020年6月3日
打怪升级!2020机器学习工程师技术路线图
专知会员服务
99+阅读 · 2020年6月3日
【CVPR2020】MSG-GAN:用于稳定图像合成的多尺度梯度GAN
专知会员服务
29+阅读 · 2020年4月6日
【伯克利】再思考 Transformer中的Batch Normalization
专知会员服务
41+阅读 · 2020年3月21日
【经典书】精通机器学习特征工程,中文版,178页pdf
专知会员服务
360+阅读 · 2020年2月15日
【论文】结构GANs,Structured GANs,
专知会员服务
15+阅读 · 2020年1月16日
GANs最新综述论文: 生成式对抗网络及其变种如何有用
专知会员服务
72+阅读 · 2019年10月19日
网络宽度对深度学习模型性能有什么影响?
极市平台
15+阅读 · 2019年7月7日
树形结构为什么不需要归一化?
七月在线实验室
8+阅读 · 2019年4月30日
独家 | 一文带你读懂特征工程!
数据派THU
6+阅读 · 2018年8月23日
BAT机器学习面试题1000题(331~335题)
七月在线实验室
12+阅读 · 2018年8月13日
一文看懂常用特征工程方法
AI研习社
17+阅读 · 2018年5月2日
数据科学家需要了解的5种聚类算法
论智
5+阅读 · 2018年4月7日
机器学习(28)【降维】之sklearn中PCA库讲解与实战
机器学习算法与Python学习
8+阅读 · 2017年11月27日
机器学习(27)【降维】之主成分分析(PCA)详解
机器学习算法与Python学习
9+阅读 · 2017年11月22日
神经网络中的「注意力」是什么?怎么用?
人工智能学家
5+阅读 · 2017年10月19日
超级干货 :一文读懂特征工程
数据分析
10+阅读 · 2017年9月6日
CoCoNet: A Collaborative Convolutional Network
Arxiv
6+阅读 · 2019年1月28日
Arxiv
6+阅读 · 2018年7月9日
Arxiv
8+阅读 · 2018年1月19日
Arxiv
8+阅读 · 2018年1月12日
VIP会员
最新内容
《第四代军事特种作战部队选拔与评估》
专知会员服务
0+阅读 · 今天6:23
不对称优势上升:自主系统如何强化海上拒止
专知会员服务
0+阅读 · 今天5:51
《人工智能赋能电磁战》(报告)
专知会员服务
2+阅读 · 4月17日
【CMU博士论文】迈向可扩展的开放世界三维感知
相关VIP内容
【新书册】贝叶斯神经网络,41页pdf
专知会员服务
180+阅读 · 2020年6月3日
打怪升级!2020机器学习工程师技术路线图
专知会员服务
99+阅读 · 2020年6月3日
【CVPR2020】MSG-GAN:用于稳定图像合成的多尺度梯度GAN
专知会员服务
29+阅读 · 2020年4月6日
【伯克利】再思考 Transformer中的Batch Normalization
专知会员服务
41+阅读 · 2020年3月21日
【经典书】精通机器学习特征工程,中文版,178页pdf
专知会员服务
360+阅读 · 2020年2月15日
【论文】结构GANs,Structured GANs,
专知会员服务
15+阅读 · 2020年1月16日
GANs最新综述论文: 生成式对抗网络及其变种如何有用
专知会员服务
72+阅读 · 2019年10月19日
相关资讯
网络宽度对深度学习模型性能有什么影响?
极市平台
15+阅读 · 2019年7月7日
树形结构为什么不需要归一化?
七月在线实验室
8+阅读 · 2019年4月30日
独家 | 一文带你读懂特征工程!
数据派THU
6+阅读 · 2018年8月23日
BAT机器学习面试题1000题(331~335题)
七月在线实验室
12+阅读 · 2018年8月13日
一文看懂常用特征工程方法
AI研习社
17+阅读 · 2018年5月2日
数据科学家需要了解的5种聚类算法
论智
5+阅读 · 2018年4月7日
机器学习(28)【降维】之sklearn中PCA库讲解与实战
机器学习算法与Python学习
8+阅读 · 2017年11月27日
机器学习(27)【降维】之主成分分析(PCA)详解
机器学习算法与Python学习
9+阅读 · 2017年11月22日
神经网络中的「注意力」是什么?怎么用?
人工智能学家
5+阅读 · 2017年10月19日
超级干货 :一文读懂特征工程
数据分析
10+阅读 · 2017年9月6日
Top
微信扫码咨询专知VIP会员