还在脑补画面?这款GAN能把故事画出来

2019 年 7 月 6 日 机器之心

选自arXiv

作者:Yitong Li等

机器之心编译

参与:一鸣、路

当我们阅读的时候,我们的头脑可以想象书中发生的事情,似乎文本可以转换为脑海中栩栩如生的画面。这种能力似乎是人类的「专利」。现在,机器也可以做到这一点了。来自杜克大学和微软等机构的研究人员开发了一种新的GAN网络——StoryGAN,它可以根据文本生成对应的故事插图。

阅读小说是一件很有趣的事情,但是没有插图的故事往往索然无味。特别是儿童书籍,缺乏插图可能会让故事变得无聊。



如下是大段的儿童故事文本,即使内容很精彩,读者也不一定有兴趣阅读下去。如果配以图片,内容会有趣很多。


近来,一些研究人员就基于以上文本生成了对应的故事图片!



虽然不是很精致,但是已经有了故事的大概样貌。


具体来说,他们是根据如下故事内容生成图片的:




以下还有更多例子,左边五张图为生成结果,右边五张图则是实际的插图。




这种神奇的操作是怎么来的呢?我们来看这项有趣的研究《StoryGAN: A Sequential Conditional GAN for Story Visualization》。


论文链接:https://arxiv.org/pdf/1812.02784v2.pdf


这项研究的作者提出了一个新的任务类型——故事可视化,即基于给定句子生成一系列对应的图像,每张图像对应一个句子。和视频生成不同的是,故事图像化较少关注生成图像的连续性,而是更多地强调多个动态场景和角色之间的连贯性。此类问题目前无法被任何单个图像或视频生成方法解决。因此,论文作者提出了一个新的故事-图像序列生成模型——StoryGAN,它基于条件序列生成对抗网络。这一模型的特别之处在于,它有一个深度语境编码器可以动态跟踪故事流,以及两个判别器用于判别故事和图像,以便提升图像质量和生成序列的连贯性。为了评价模型的效果,研究人员修改了已有的数据集 CLEVR-SV 和 Pororo-SV。实验结果表明,StoryGAN 在图像质量、语境连贯性和人类评分上都超过了当前最佳模型。


图 1:输入的故事是「Pororo 和 Crong 在一起钓鱼。Crong 看了一下水桶。Pororo 的鱼竿上有一条鱼。」每个句子都需要生成一幅对应的图片。


基于故事文本生成图像,难点是什么?


让模型基于自然语言学习生成有意义且连贯的图像序列是一个有挑战的任务,它需要对自然语言和图像都能够理解和推理。


该任务主要面临两项挑战。第一,图像序列必须连贯且完整地描述整个故事。这项任务和文本-图像生成任务紧密相关,因为图像需要基于很短的描述语句生成。


第二项挑战是如何有逻辑地呈现故事线。具体来说,图像中目标的外观和背景布局必须根据故事情节推进以恰当的方式呈现。


StoryGAN 如何解决这个难题


下图展示了 StoryGAN 的模型架构:


图 2:StoryGAN 架构图示。灰色实心圈中的变量分别代表输入故事 S 和单个句子 s_1,...,s_T,以及随机噪声生成器网络包括故事编码器、语境编码器和图像生成器。顶部有两个判别器,分别判断每个图像-句子对和图像-序列-故事对是真实数据还是生成数据。


给定一个多句子段落(故事),StoryGAN 使用循环神经网络(RNN),将之前生成的图像信息加入到根据当前句生成图像的过程中。语境信息从语境编码器中获得,包括堆叠的 GRU 单元和新提出的 Text2Gist 单元。语境编码器将当前句子和故事向量转换为高维特征向量(Gist),用于之后的图像生成任务。


当故事推进时,Gist 动态更新,以反映故事流中的目标变化和场景变化。在 Text2Gist 组件中,句子被转换为一个隐藏向量,并与经过滤波器的输入做卷积,从而调整以适应整个故事,所以我们可以通过修改滤波器的方式优化混合过程。类似的方法还有动态滤波(dynamic filtering)、注意力模型和元学习(meta-learning)。


为了保证生成图像序列的连贯性,研究人员采用了一个双层 GAN 网络。他们使用了一个图像级别判别器来衡量句子和生成图像之间的相关性,以及一个故事判别器来衡量生成图像序列和整个故事的整体匹配度。


故事编码器


如图 2 粉色区域所示,故事编码器 E(·) 对故事 S 进行随机映射,得到低维嵌入向量 h_0。h_0 编码了整个故事,并作为隐藏层的初始状态输入到语境编码器中。


语境编码器


在序列图像生成任务中,角色、动作、背景等信息经常变化,每张图像可能都不相同。这里需要解决两个问题:


  • 如何在背景改变时有效地更新语境信息。

  • 如何在生成每张图像时将新的输入和随机噪声结合,从而可视化角色的变化(变化可能非常大)。


为了解决这两个问题,研究人员使用了一种基于深度 RNN 的语境编码器结构,用于在序列图像生成过程中捕捉语境信息。


这个深度循环神经网络包括两个隐藏层。底层使用标准 GRU 单元,而顶层使用论文提出的 Text2Gist 单元,它是 GRU 的一种变体。


在时间步 t,GRU 层接受句子 s_t 和等距高斯噪声ε_t 作为输入,并输出向量 i_t。Text2Gist 单元将 GRU 的输出 i_t 和故事语境向量 h_t 结合(h_t 来自故事编码器),生成 o_t。o_t 编码了在时间步 t 需要生成图像的所有必要信息。h_t 由 Text2Gist 更新,以反映潜在的语境信息变化。


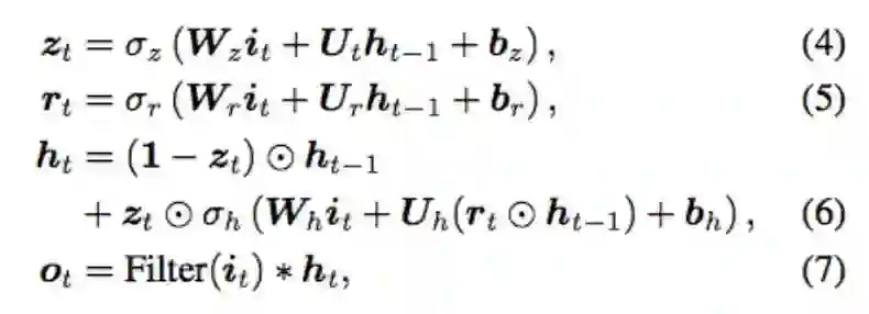
如下为以上过程的公式:



o_t 是 Gist 向量,因为它分别结合了来自 h_t-1 的全局语境和 i_t 在时间步 t 的局部语境信息。故事编码器则初始化了 h_0,而 g_0 则是从等距高斯噪声分布中随机采样得到。根据以上信息,在时间步 t,Text2Gist 的内部运算过程如下:



在公式中,z_t 和 r_t 分别是更新门(update gate)和重置门(reset gate)的输出。更新门决定上一个时间步的信息要保留多少,而重置门决定从 h_t-1 中遗忘多少信息。σ_z 、σ_r 和 σ_h 是非线性 sigmoid 函数。和标准的 GRU 不同,输出 o_t 实际上是 Filter(i_t) 和 h_t 的卷积结果。


学习 i_t 学习的目的是适应 h_t。具体来说,Filter(·) 将向量 i_t 转换为多通道过滤器,其大小是 C_out × 1 × 1 × len(h_t ),C_out 表示输出通道数量。这一过程使用神经网络。由于 h_t 是向量,这个滤波器作为 1D 标准卷积层使用。


Text2Gist 中的这种卷积操作混合了来自 h_t 的全局语境信息,以及来自 i_t 的局部语境信息。由于 i_t 编码了 S 中 s_t 和 h_t 的信息,即它编码了整个故事的信息。而卷积操作可以被视为帮助 s_t 从生成过程中挑选重要的信息。实验结果表明,Text2Gist 比传统的循环神经网络在故事可视化上更加高效。


判别器


StoryGAN 使用两个判别器,分别对应图像和故事。这两个判别器分别确保局部和全局的故事可视化连贯性。


图 3:故事判别器的结构。图像和故事文本特征的内积作为输入馈送到全连接层,并使用 sigmoid 非线性函数预测是生成的还是真实的故事对。


算法


StoryGAN 的伪代码如算法 1 所示:


StoryGAN 的算法伪代码


在训练中,研究人员使用 Adam 优化器进行参数更新。他们发现,不同的 mini-batch 大小可以加快训练收敛的速度。在每轮训练中,在不同的时间步更新生成器和判别器也有很多好处。具体的网络和训练细节可以在附录 A 中找到。


实验


数据集


由于没有现有的数据集进行训练,研究人员根据现有的 CLEVR [19] 和 Pororo [21] 数据集进行了修改,制作了 CLEVR-SV 和 Pororo-SV 两个数据集。


1. CLEVR-SV 数据集


原版的 CLEVR 数据集用于视觉问答任务。研究人员使用如下方法将其改造为 CLEVR-SV:


  • 将一个故事中最多的目标数量限制在 4 个。

  • 目标为金属或橡胶制的物体,有八种颜色和两种尺寸。

  • 目标的形状可以是圆柱体、立方体或球体。

  • 目标每次增加一个,直到形成一个由四幅图像序列构成的故事。


研究人员生成了 10000 个图像序列用于训练,以及 3000 个图像序列用于测试。


2. Pororo-SV 数据集


Pororo 数据集原本用来进行视频问答,每个一秒的视频片段都有超过一个手写描述,40 个视频片段构成一个完整的故事。每个故事有一些问题和答案对。整个数据集有 16K 个时长一秒的视频片段,以及 13 个不同角色,而手写描述平均有 13.6 个词,包括发生了什么,以及视频中是哪个角色。这些视频片段总共组成了 408 个故事。


图 10:Pororo 数据集中出现的角色。


研究人员将 Pororo 数据集进行了改造。他们将每个视频片段的描述作为故事的文本输入。对于每个视频片段,随机提取一帧画面(采样率为 30Hz)作为真实的图像样本用于训练。五个连续的图像组成一个完整故事。最后,研究人员制作了 15,336 个描述-故事对,其中 13000 个用于训练,剩余的 2336 个用于测试。该数据集被称为 Pororo-SV。


研究人员对比了 StoryGAN 和其他模型的表现,并通过计算分类准确率、人类评分等方式评估结果。


CLEVR-SV 结果


图 5:不同模型在 CLEVR-SV 上生成结果的对比。


表 1:不同模型的生成结果和真实结果的结构相似性(SSIM)分数。


Pororo-SV 结果


图 6:两个故事中,不同模型的生成结果对比。


表 2:角色分类准确率。上界为分类器在真实图像中的分类准确率。


表 3:人类在评价生成图像时在不同指标上的打分。指标包括:图像质量、故事连贯性、相关性。±表示标准差。


表 4:基于排序的人类评估结果。±表示标准差。StoryGAN 获得了最高的平均排序,而 ImageGAN 表现最差。



文为机器之心编译,转载请联系本公众号获得授权

✄------------------------------------------------

加入机器之心(全职记者 / 实习生):[email protected]

投稿或寻求报道:content@jiqizhixin.com

广告 & 商务合作:[email protected]

登录查看更多
5

相关内容

GAN:生成性对抗网,深度学习模型的一种,在神经网络模型中引入竞争机制,非常流行。
【ICML2020-西电】用于语言生成的递归层次主题引导RNN
专知会员服务
22+阅读 · 2020年6月30日
CVPR 2020 最佳论文与最佳学生论文!
专知会员服务
36+阅读 · 2020年6月17日
姿势服装随心换-CVPR2019
专知会员服务
36+阅读 · 2020年1月26日
必读的10篇 CVPR 2019【生成对抗网络】相关论文和代码
专知会员服务
33+阅读 · 2020年1月10日
学习一个宫崎骏画风的图像风格转换GAN
AI科技评论
18+阅读 · 2020年3月13日
用AI实现动画角色的姿势迁移,Adobe等提出新型「木偶动画」
机器学习算法与Python学习
7+阅读 · 2019年10月13日
GAN用于无监督表征学习,效果依然惊人……
机器之心
12+阅读 · 2019年7月9日
能生成逼真图像的不只有 GAN
机器学习算法与Python学习
8+阅读 · 2019年6月6日
“万人迷”小冰背后的AI故事
AI100
6+阅读 · 2019年1月13日
2018年有意思的几篇GAN论文
专知
21+阅读 · 2019年1月5日
GAN猫的脸
机械鸡
11+阅读 · 2017年7月8日
Revisiting CycleGAN for semi-supervised segmentation
Arxiv
3+阅读 · 2019年8月30日
Arxiv
4+阅读 · 2018年9月25日
Arxiv
8+阅读 · 2018年5月21日
Arxiv
6+阅读 · 2018年3月31日
VIP会员
最新内容
《自动化战略情报管控》
专知会员服务
1+阅读 · 今天14:31
得失评估:审视对伊朗战争的轨迹(简报)
专知会员服务
1+阅读 · 今天14:19
【CMU博士论文】迈向可解释机器学习的理论基础
专知会员服务
1+阅读 · 今天12:23
基于数据优化的人机协同与机器人僚机
专知会员服务
5+阅读 · 今天2:08
相关资讯
学习一个宫崎骏画风的图像风格转换GAN
AI科技评论
18+阅读 · 2020年3月13日
用AI实现动画角色的姿势迁移,Adobe等提出新型「木偶动画」
机器学习算法与Python学习
7+阅读 · 2019年10月13日
GAN用于无监督表征学习,效果依然惊人……
机器之心
12+阅读 · 2019年7月9日
能生成逼真图像的不只有 GAN
机器学习算法与Python学习
8+阅读 · 2019年6月6日
“万人迷”小冰背后的AI故事
AI100
6+阅读 · 2019年1月13日
2018年有意思的几篇GAN论文
专知
21+阅读 · 2019年1月5日
GAN猫的脸
机械鸡
11+阅读 · 2017年7月8日
Top
微信扫码咨询专知VIP会员