CVPR 2019 | 国防科大提出双目超分辨算法,效果优异代码已开源

2019 年 6 月 8 日 极市平台

加入极市专业CV交流群,与6000+来自腾讯,华为,百度,北大,清华,中科院等名企名校视觉开发者互动交流!更有机会与李开复老师等大牛群内互动!

同时提供每月大咖直播分享、真实项目需求对接、干货资讯汇总,行业技术交流点击文末“阅读原文”立刻申请入群~


本文授权转载自公众号我爱计算机视觉


近年来,双摄像头成像系统在智能手机、自动驾驶等领域取得了广泛的应用。


近日,来自国防科技大学等单位的学者提出了新型双目超分辨算法,充分利用了左右图的信息提升图像超分辨效果;


另外,他们构建了一个大型双目图像超分辨数据集,用于双目图像超分辨算法的训练和评估。代码已开源,相关论文已被CVPR 2019录用。


以下是论文作者信息:



论文链接:

https://arxiv.org/pdf/1903.05784.pdf 
代码链接:

https://github.com/LongguangWang/PASSRnet 
数据集链接:

https://yingqianwang.github.io/Flickr1024/


引言


双摄系统提供了同一场景两个不同视角的观测信息。然而在实际应用中,由于相机基线、焦距、场景深度以及成像分辨率不同,双目图像的视差具有较大差异。因此如何高效、灵活地利用双摄系统来提升图像的分辨率存在较大的挑战。


本文提出了一种基于视差注意力机制(Parallax Attention Mechanism)的双目图像超分辨网络(Parallax Attention Stereo SR Network, PASSRnet),利用视差注意力机制实现了对双目图像左右图信息的高效融合。


同时本文构建并公开了一个大型双目图像超分辨数据集Flickr1024,用于双目图像超分辨算法的训练和评估。


本文将双目视觉中的对极几何(EPI)关系引入到注意力机制中,计算双目图像不同视差位置间的相似性,并基于这一相似性测度实现对左右图特征的融合。


视差注意力机制能够对双目图像中沿视差方向的全局信息进行融合,不受视差大小的限制,具有更强的灵活性与鲁棒性。


本文所提算法在Middlebury、KITTI2012以及KITTI2015数据集上与主流算法进行了对比,实验结果证明了PASSRnet的优越性。


方法


PASSRnet的网络结构如图1所示,其输入为低分辨率双目RGB图像,输出为高分辨率左视角RGB图像。


图1 PASSRnet网络结构图


● 残差空洞金字塔模块(Residual ASPP Module)


PASSRnet首先利用一个共享权值的Residual ASPP模块对输入的双目图像进行多尺度特征提取,扩大了网络的接受野。


如图1(a)所示,Residual ASPP模块由残差空洞金字塔块(Residual ASPP Block)与残差块交替连接组成。


如图1(b)所示,Residual ASPP Block由三组空洞卷积组(ASPP Group)组成,在每个ASPP Group中,首先利用三个膨胀系数分别为1、4、8的3*3卷积层进行特征提取,之后利用一个1*1卷积对三个膨胀卷积层提取的特征进行融合。


与ASPP Block相比,Residual ASPP Block利用残差连接进一步丰富了特征提取的尺度,实现了更密集的多尺度特征提取。


● 视差注意力模块(Parallax Attention Module)


在提取双目图像的多尺度特征之后,PASSRnet利用视差注意力模块(Parallax Attention Module)对左右图特征进行融合。受“自注意力机制”启发,本文将双目视觉中的对极几何关系引入注意力机制中,将注意力机制的搜索空间限制在极线上。



图2 视差注意力与自注意力示意图


如图2所示,与自注意力机制在图像全局范围内进行搜索不同,视差注意力机制只沿着极线方向进行搜索。对于左图中任意一点(i,j),视差注意力机制将其与右图极线上任意一点进行相似性计算,得到视差注意力图。


以Mright->left为例,Mright->left(i,j,k)表示右图中位置(i,k)对左图中位置(i,j)的权值,也就是说,视差注意力图上的权值分布形态能够描述左右图间的对应关系。利用视差注意力图的这一特性,Parallax Attention Module能够通过批次化矩阵乘实现左右图特征的有效融合(如图3所示)。


图3 批次化矩阵乘示意图


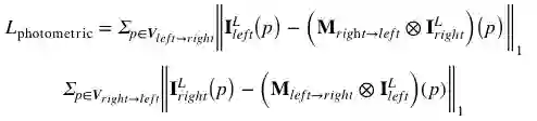
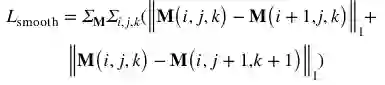
● 损失函数(Loss Function)


本文所提PASSRnet在训练中所采用的损失函数为:



其中设为0.005,各个Loss项的含义如下:


➢ 超分辨损失:



超分辨损失反映了输出图像与Groundtruth间的均方误差(MSE)。


➢ 照度损失:



照度损失反映了双目图像间照度的左右一致性。本文利用视差注意力图计算照度损失。视差注意力图能够较好地反映左右图之间的对应关系,

比如视差注意力图与右图的批次化矩阵乘可以得到左图,反之亦然。


➢ 循环一致性损失:



在照度损失的基础上,受cycle GAN中循环损失启发,本文设计了循环一致性损失,以自封闭的形式进一步对双目图像间的潜在几何关系进行正则。循环一致性损失可以理解为,左图(或右图)经过两次注意力图的映射后,应当能够得到左图(或右图)本身。


➢ 平滑损失:


  


本文设计了定义在视差注意力图上的平滑损失。根据视差注意力图的物理意义可以看出,这一损失在反映了视差在局部区域内的平滑性。


数据集


图4 Flickr1024数据集


在双目视觉领域,现有的数据集(例如KITTI数据集、Middlebury数据集以及ETH3D数据集)更多地针对深度估计与光流估计等任务,在场景数量、场景多样性以及图像质量等方面无法满足双目超分辨算法的需求。因此,本文收集了1024幅双目图像,构建并公开了一个大型双目图像超分辨数据集Flickr1024,用于对双目超分辨算法进行训练和评估。


实验结果


实验部分首先通过消融学习对网络中不同模块以及不同Loss函数的有效性进行了验证:


● 网络结构


表1 不同网络结构的结果对比


● 损失函数

表2 不同损失函数的结果对比


● 算法对比(Comparison to the State-of-the-arts):


本文在Middlebury, KITTI2012以及KITTI2015三个公开数据集上将PASSRnet与双目超分辨算法StereoSR(CVPR18),单图超分辨算法SRCNN(ECCV14)、VDSR(CVPR16)、DRCN(CVPR16)、LapSRN(CVPR17)以及DRRN(CVPR17)进行了对比,结果如下表所示:


表3 不同方法的结果对比


图5与图6进一步展示了本文提出的PASSRnet与其他对比算法超分辨结果的可视化效果:

图5 不同超分辨算法结果对比


图6 不同超分辨算法结果对比


● 灵活性


本文进一步测试了PASSRnet算法和StereoSR算法在处理不同视差图像时的灵活性。实验通过对测试集图像的缩放得到不同分辨率、不同视差大小的测试图像,数值结果如下表所示:


表4 不同方法的灵活性对比


由上表可见,随着输入图像分辨率的增加,双目图像间的视差不断增大,PASSRnet相比于StereoSR的优势不断增强,这主要是因为StereoSR算法无法对视差超过64像素的图像信息进行融合,而PASSRnet采用了视差注意力机制,可以对双目图像全局信息进行有效融合;


当图像水平分辨率低于64像元时,StereoSR需要对图像进行Zero Padding至64像元,造成了不必要的计算开销。相比之下,PASSRnet具有更高的计算效率。


超分辨率结果视觉比较示例(请点击查看大图):



论文链接:

https://arxiv.org/pdf/1903.05784.pdf

代码链接:

https://github.com/LongguangWang/PASSRnet

数据集链接:

https://yingqianwang.github.io/Flickr1024/





*推荐阅读



点击左下角阅读原文”,即可申请加入极市目标跟踪、目标检测、工业检测、人脸方向、视觉竞赛等技术交流群,更有每月大咖直播分享、真实项目需求对接、干货资讯汇总,行业技术交流,一起来让思想之光照的更远吧~



觉得有用麻烦给个在看啦~  

登录查看更多
19

相关内容

CVPR 2020 最佳论文与最佳学生论文!
专知会员服务
36+阅读 · 2020年6月17日
【CVPR 2020-商汤】8比特数值也能训练卷积神经网络模型
专知会员服务
26+阅读 · 2020年5月7日
【国防科大】复杂异构数据的表征学习综述
专知会员服务
86+阅读 · 2020年4月23日
专知会员服务
110+阅读 · 2020年3月12日
Transformer文本分类代码
专知会员服务
118+阅读 · 2020年2月3日
近期必读的7篇 CVPR 2019【视觉问答】相关论文和代码
专知会员服务
37+阅读 · 2020年1月10日
近期必读的9篇 CVPR 2019【视觉目标跟踪】相关论文和代码
【学界】CVPR 2019 Oral 目标跟踪最强算法SiamRPN++开源实现
GAN生成式对抗网络
16+阅读 · 2019年5月3日
CVPR 2019 Oral 目标跟踪最强算法SiamRPN++开源实现
极市平台
47+阅读 · 2019年5月2日
CVPR2019无人驾驶相关论文
极市平台
21+阅读 · 2019年3月20日
北大开源ECCV2018深度去雨算法:RESCAN
极市平台
8+阅读 · 2018年7月19日
Mesh R-CNN
Arxiv
4+阅读 · 2019年6月6日
VIP会员
最新内容
以色列-美国-伊朗战争中的无人机:关键要点
专知会员服务
1+阅读 · 54分钟前
《Palantir任务保障性软件安全标准(MA-S2)》
专知会员服务
4+阅读 · 今天13:49
基于声学的无人机检测技术综述
专知会员服务
3+阅读 · 今天13:37
《当代混合战争分析框架:俄乌战争经验教训》
专知会员服务
4+阅读 · 今天13:11
战略前沿人工智能的再思考(中文)
专知会员服务
7+阅读 · 5月29日
《量化地基防空系统间接效应的博弈论方法》
专知会员服务
5+阅读 · 5月29日
“史诗怒火行动”中美军损失的作战飞机
专知会员服务
6+阅读 · 5月29日
ICML 2026 | 理解上下文持续学习中的泛化与遗忘
专知会员服务
5+阅读 · 5月28日
相关VIP内容
CVPR 2020 最佳论文与最佳学生论文!
专知会员服务
36+阅读 · 2020年6月17日
【CVPR 2020-商汤】8比特数值也能训练卷积神经网络模型
专知会员服务
26+阅读 · 2020年5月7日
【国防科大】复杂异构数据的表征学习综述
专知会员服务
86+阅读 · 2020年4月23日
专知会员服务
110+阅读 · 2020年3月12日
Transformer文本分类代码
专知会员服务
118+阅读 · 2020年2月3日
近期必读的7篇 CVPR 2019【视觉问答】相关论文和代码
专知会员服务
37+阅读 · 2020年1月10日
近期必读的9篇 CVPR 2019【视觉目标跟踪】相关论文和代码
Top
微信扫码咨询专知VIP会员