相对的判别器:现有GAN存在关键属性缺失

2018 年 7 月 4 日 论智
来源:arXiv
编译:Bot

编者按:近日,加拿大犹太综合医院Lady Davis Institute的生物统计学家Alexia Jolicoeur-Martineau发表了一篇令人瞩目的论文,引起“GAN之父”Ian Goodfellow的注意。在论文中,她指出现有的标准GAN(SGAN)还缺少一个基本属性,即训练生成器时,我们不仅应该提高伪数据是真实数据的概率,还应该降低实际数据是真实数据的概率。这个属性是一个重要基础,它也是所有GAN都应该遵守的。

摘要

在标准生成对抗网络(SGAN)中,判别器负责估计输入数据是真实数据的概率,根据这个数值,我们再训练生成器以提高伪数据是真实数据的概率。但本文认为,判别器在提高“伪数据为真”的概率的同时,也应该降低“实际数据为真”的概率,原因有三:

  1. mini-batch中一半的数据是伪数据,这个先验会带来不合逻辑的结果;

  2. 在最小化散度(divergence minimization)的过程中,两个概率不是同步变化;

  3. 实验证实,经过相对判别器诱导,SGAN的性能可以媲美基于IPM的GAN(WGAN、WGAN-GP等),而后者实际上已经具有相对判别器的雏形,因此也更稳定。

本文提出相对GAN(RGAN),并在它的基础上又提出了一个变体——相对均值GAN(RaGAN),变体用平均估计计算判别器概率。此外,论文还显示基于IPM的GAN其实是RGAN的子集。

通过比较,文章发现:(1)相比非相对GAN,RGAN和RaGAN更稳定,产出的数据样本质量更高;(2)在RaGAN上加入梯度惩罚后,它能生成比WGAN-GP质量更高的数据,同时训练时长仅为原先的1/5;(3)RaGAN能够基于非常小的样本(N = 2011)生成合理的高分辨率图像(256x256),撇开做不到的GAN和LSGAN,这些图像在质量上也明显优于WGAN-GP和SGAN生成的归一化图像。

背景简介

GAN是Ian Goodfellow等人在2014年提出的新型神经网络,它一经面世就收获大量关注,并在学界持续发酵。本文把最原始的GAN称为标准GAN,也就是SGAN,它由一个生成器G和一个判别器D构成,前者负责生成伪图像,后者负责评估这个伪图像是真实图像的概率,然后输出结果帮助生成器继续训练,直到最后生成判别器都难辨真假的伪图。

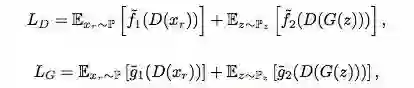
从计算角度看,GAN的生成器和判别器如下所示。其中f1,f2, g1, g2都是输入标量-输出标量的函数,P表示真实数据分布(xr实际数据),Q表示伪数据分布(xf伪数据),Pz是以0为中心的多元正态分布,方差为1,D(x)是判别器在x出的评估值。

一般形式

独立形式:谷歌论文Are GANs Created Equal?

对于生成器,SGAN提出了两种损失函数:saturating和non-saturating。其中前者不稳定,后者较稳定。如果GAN能100%分类真伪数据,那saturating函数的梯度是0,non-saturating的梯度虽然不为0,但它是易变的(volatile)。这意味着如果学习率过高,判别器很可能会“放弃”学习,导致模型性能很差,这种现象在高维数据中尤为明显。

虽然近几年许多研究人员提出了很多新的损失函数,但它们相比SGAN没有太多根本上的进展,因此大多数GAN可以用non-saturating和saturating函数简单地分成两类:g1=− f1 and g2=− f2,saturating;g1=f1 and g2=f2,non-saturating。从本质上来说,它们有一定的相通之处,为了后面方便对比,本文假设所有GAN都用non-saturating损失函数。

另外,一些研究人员发现把IPM(Integral probability metrics积分概率指标)用于GAN可以大幅提高最终结果,但至于IPM为什么能得到这样的效果,他们并没有给出说明。而根据本文的研究,IPM GAN背后起作用的正是相对判别器。

SGAN遗漏的关键元素

本文论证的过程分为两块,一是直接分析“降低实际图像是真实图像概率”的必要性,二是用提出的RGAN和RaGAN和上述GAN做对比。本章是第一部分。

先验知识

这块内容比较简单。经过足够训练后,判别器如果性能过关,那它就应该能正确区分大多数图像的真伪性,把实际图像归类为真实图像,把伪图像归类为非真实图像。而生成器的目标是“愚弄”判别器,让后者把更多的伪图像分类为真实图像,所以它会把一半实际图像和一半伪图像输入判别器,期待从中学到更多真实图像的分布。

虽然听起来很有道理,但这是不合逻辑的。如果实际数据和伪数据看起来差不多,那大多数图像的评估都符合C(xf ) ≈ C(xr)。这时,如果判别器事先知道输入图像中一半真一半假,那它会认为每张图像为真的概率是0.5;如果判别器事先不知道,那它很可能就直接输出D(x) ≈ 1。

如果生成器的学习率设得很高/迭代次数很多,再加上判别器输出了个约等于1的概率,这时生成器“眼里”的实际数据和伪数据是不平等的,它会认为伪数据更真实,C(xf ) > C(xr)。而如果是坚信有一半伪数据的判别器,它会被迫把实际图像分类成伪数据,背离正确分类的目标。

最小化散度

在SGAN中,我们认为判别器损失函数等于Jensen-Shannon散度(JSD)。因此,计算JSD可以等同为计算这个式子的最大值:

对于xr∈P和xf∈Q,如果D(xr) = D(xf ) = 0.5,JSD最小化;如果D(xr) = 1,D(xf) = 0,JSD最大化。

如果我们想在JSD的最大值和最小值之间得出一个最小化的散度,这相当于D(xr)的阈值是(0.5, 1),D(xf)的阈值是(0, 0.5)。但如下图所示,当我们执行最小化时,变化的只有D(xf),而对实际图像计算出的概率D(xr)却没有发生改变,这不合理。

梯度

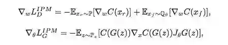
下面是SGAN和IPM GAN的损失函数对比:

SGAN


基于IPM的GAN

从这几个方程可以看出,当同时满足以下几点时,SGAN和 IPM GAN的结果是差不多的:

  1. SGAN的判别器:D(xr) = 0,D(xf) = 1;

  2. SGAN的生成器:D(xf) = 0;

  3. C(x)∈F。

换句话说,如果生成器能直接影响判别器,那SGAN和基于IPM的GAN可以性能相近。对于后者,GAN在计算判别器损失函数梯度时会同时考虑实际数据和伪数据,但SGAN的D(xr)是不会随着D(xf)变化而变化的,它会停止学习,转而更关注伪数据。另一方面,如果D(xr)会随D(xf)的上升而下降,这就意味着真实数据会被纳入梯度计算中,这也是基于IPM的GAN更稳定,而SGAN更容易崩溃的原因。

实验对比

简而言之,相对的GAN和普通GAN的区别如下所示。

标准GAN(SGAN)的判别器:

相对标准GAN(RSGAN)的判别器:

相对均值标准GAN(RaSGAN)的判别器:

翻译后的论文图

CIFAR-10上的FID值对比,RSGAN表现出众

在LSGAN中引入相对判别器后生成的128×128猫图,FID值仅为15.85


WGAN-GP生成的256×256猫图,FID>100

论文地址:arxiv.org/pdf/1807.00734.pdf

登录查看更多
33

相关内容

【CVPR2020】MSG-GAN:用于稳定图像合成的多尺度梯度GAN
专知会员服务
29+阅读 · 2020年4月6日
专知会员服务
63+阅读 · 2020年3月4日
生成式对抗网络GAN异常检测
专知会员服务
120+阅读 · 2019年10月13日
万字综述之生成对抗网络(GAN)
PaperWeekly
43+阅读 · 2019年3月19日
手把手 | 生成式对抗网络(GAN)之MNIST数据生成
数说工作室
10+阅读 · 2017年7月31日
干货|生成对抗网络(GAN)之MNIST数据生成
全球人工智能
7+阅读 · 2017年7月24日
GAN猫的脸
机械鸡
11+阅读 · 2017年7月8日
GAN | GAN介绍(2)
KingsGarden
27+阅读 · 2017年3月14日
GAN | GAN介绍(1)
KingsGarden
79+阅读 · 2017年3月13日
Object Detection in 20 Years: A Survey
Arxiv
48+阅读 · 2019年5月13日
Adversarial Transfer Learning
Arxiv
12+阅读 · 2018年12月6日
Arxiv
5+阅读 · 2018年5月21日
Arxiv
11+阅读 · 2018年3月23日
VIP会员
最新内容
人工智能在战场行动中的演进及伊朗案例
专知会员服务
2+阅读 · 今天13:08
美AI公司Anthropic推出网络安全模型“Mythos”
专知会员服务
2+阅读 · 今天12:58
【博士论文】面向城市环境的可解释计算机视觉
专知会员服务
0+阅读 · 今天12:57
大语言模型的自改进机制:技术综述与未来展望
专知会员服务
0+阅读 · 今天12:50
《第四代军事特种作战部队选拔与评估》
专知会员服务
1+阅读 · 今天6:23
相关VIP内容
【CVPR2020】MSG-GAN:用于稳定图像合成的多尺度梯度GAN
专知会员服务
29+阅读 · 2020年4月6日
专知会员服务
63+阅读 · 2020年3月4日
生成式对抗网络GAN异常检测
专知会员服务
120+阅读 · 2019年10月13日
相关资讯
万字综述之生成对抗网络(GAN)
PaperWeekly
43+阅读 · 2019年3月19日
手把手 | 生成式对抗网络(GAN)之MNIST数据生成
数说工作室
10+阅读 · 2017年7月31日
干货|生成对抗网络(GAN)之MNIST数据生成
全球人工智能
7+阅读 · 2017年7月24日
GAN猫的脸
机械鸡
11+阅读 · 2017年7月8日
GAN | GAN介绍(2)
KingsGarden
27+阅读 · 2017年3月14日
GAN | GAN介绍(1)
KingsGarden
79+阅读 · 2017年3月13日
Top
微信扫码咨询专知VIP会员