深度学习超参数简单理解

2017 年 11 月 28 日 计算机视觉战队 Edison_G

首先谢谢读者的指正,现在已经把所有遮挡的都处理完毕,谢谢您们的指正,谢谢!


正文:

        说到这些参数就会想到Stochastic Gradient Descent (SGD)!其实这些参数在caffe.proto中 对caffe网络中出现的各项参数做了详细的解释。

Learning Rate

学习率决定了权值更新的速度,设置得太大会使结果超过最优值,太小会使下降速度过慢。仅靠人为干预调整参数需要不断修改学习率,因此后面3种参数都是基于自适应的思路提出的解决方案。后面3中参数分别为:Weight Decay 权值衰减,Momentum 动量和Learning Rate Decay 学习率衰减。

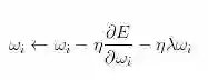
Weight decay

在实际应用中,为了避免网络的过拟合,必须对价值函数(Cost function)加入一些正则项,在SGD中加入这一正则项对这个Cost function进行规范化:

上面这个公式基本思想就是减小不重要的参数对最后结果的影响,网络中有用的权重则不会收到Weight decay影响。

在机器学习或者模式识别中,会出现overfitting,而当网络逐渐overfitting时网络权值逐渐变大,因此,为了避免出现overfitting,会给误差函数添加一个惩罚项,常用的惩罚项是所有权重的平方乘以一个衰减常量之和。其用来惩罚大的权值。

Momentum 

动量来源于牛顿定律,基本思想是为了找到最优加入“惯性”的影响,当误差曲面中存在平坦区域,SGD就可以更快的学习。

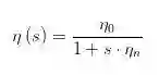
Learning Rate Decay 

该方法是为了提高SGD寻优能力,具体就是每次迭代的时候减少学习率的大小。

点击这里:Difference between neural net weight decay and learning rate


接下来是我在知乎查询到的一点资料(整理了供大家参考学习):

weight decay(权值衰减)的使用既不是为了提高收敛精确度也不是为了提高收敛速度,其最终目的是防止过拟合。在损失函数中,weight decay是放在正则项(regularization)前面的一个系数,正则项一般指示模型的复杂度,所以weight decay的作用是调节模型复杂度对损失函数的影响,若weight decay很大,则复杂的模型损失函数的值也就大。

momentum是梯度下降法中一种常用的加速技术。对于一般的SGD,其表达式为,沿负梯度方向下降。而带momentum项的SGD则写生如下形式:

其中即momentum系数,通俗的理解上面式子就是,如果上一次的momentum(即)与这一次的负梯度方向是相同的,那这次下降的幅度就会加大,所以这样做能够达到加速收敛的过程。
normalization(batch normalization)。batch normalization的是指在神经网络中激活函数的前面,将按照特征进行normalization,这样做的好处有三点:

  1. 提高梯度在网络中的流动。Normalization能够使特征全部缩放到[0,1],这样在反向传播时候的梯度都是在1左右,避免了梯度消失现象。

  2. 提升学习速率。归一化后的数据能够快速的达到收敛。

  3. 减少模型训练对初始化的依赖。

关于网络调参,那就是经验。提供的资料:链接:pan.baidu.com/s/1pLtqfh 密码:tkgp

如有错误请指正,谢谢!

登录查看更多
4

相关内容

【CMU】深度学习模型中集成优化、约束和控制,33页ppt
专知会员服务
46+阅读 · 2020年5月23日
【伯克利】再思考 Transformer中的Batch Normalization
专知会员服务
41+阅读 · 2020年3月21日
Sklearn 与 TensorFlow 机器学习实用指南,385页pdf
专知会员服务
131+阅读 · 2020年3月15日
【新书】Pro 机器学习算法Python实现,379页pdf
专知会员服务
204+阅读 · 2020年2月11日
模型压缩究竟在做什么?我们真的需要模型压缩么?
专知会员服务
28+阅读 · 2020年1月16日
深度学习优化算法总结(SGD,AdaGrad,Adam等)
极市平台
34+阅读 · 2019年4月30日
你有哪些深度学习(rnn、cnn)调参的经验?
七月在线实验室
10+阅读 · 2019年3月27日
干货 | 深入理解深度学习中的激活函数
计算机视觉life
16+阅读 · 2019年1月29日
深度学习面试100题(第41-45题)
七月在线实验室
15+阅读 · 2018年7月18日
深度学习必须理解的25个概念
机器学习算法与Python学习
5+阅读 · 2018年6月7日
深度学习入门必须理解这25个概念
AI100
7+阅读 · 2018年6月6日
最近流行的激活函数
计算机视觉战队
6+阅读 · 2017年11月27日
[学习] 这些深度学习网络调参技巧,你了解吗?
菜鸟的机器学习
7+阅读 · 2017年7月30日
[学习] 这些深度学习网络训练技巧,你了解吗?
菜鸟的机器学习
7+阅读 · 2017年7月29日
A survey on deep hashing for image retrieval
Arxiv
15+阅读 · 2020年6月10日
Meta-Transfer Learning for Zero-Shot Super-Resolution
Arxiv
43+阅读 · 2020年2月27日
Arxiv
22+阅读 · 2018年8月30日
W-net: Bridged U-net for 2D Medical Image Segmentation
Arxiv
20+阅读 · 2018年7月12日
Arxiv
8+阅读 · 2018年6月19日
Arxiv
12+阅读 · 2018年1月12日
VIP会员
最新内容
超越网格:作战环境对炮兵的影响
专知会员服务
1+阅读 · 今天15:35
KDD 2026 | MixRAGRec:面向LLM推荐的混合专家KG-RAG框架
BES:让语言模型通过双向进化搜索自我改进
专知会员服务
4+阅读 · 5月30日
以色列-美国-伊朗战争中的无人机:关键要点
专知会员服务
4+阅读 · 5月30日
《Palantir任务保障性软件安全标准(MA-S2)》
专知会员服务
14+阅读 · 5月30日
基于声学的无人机检测技术综述
专知会员服务
8+阅读 · 5月30日
《当代混合战争分析框架:俄乌战争经验教训》
相关VIP内容
【CMU】深度学习模型中集成优化、约束和控制,33页ppt
专知会员服务
46+阅读 · 2020年5月23日
【伯克利】再思考 Transformer中的Batch Normalization
专知会员服务
41+阅读 · 2020年3月21日
Sklearn 与 TensorFlow 机器学习实用指南,385页pdf
专知会员服务
131+阅读 · 2020年3月15日
【新书】Pro 机器学习算法Python实现,379页pdf
专知会员服务
204+阅读 · 2020年2月11日
模型压缩究竟在做什么?我们真的需要模型压缩么?
专知会员服务
28+阅读 · 2020年1月16日
相关资讯
深度学习优化算法总结(SGD,AdaGrad,Adam等)
极市平台
34+阅读 · 2019年4月30日
你有哪些深度学习(rnn、cnn)调参的经验?
七月在线实验室
10+阅读 · 2019年3月27日
干货 | 深入理解深度学习中的激活函数
计算机视觉life
16+阅读 · 2019年1月29日
深度学习面试100题(第41-45题)
七月在线实验室
15+阅读 · 2018年7月18日
深度学习必须理解的25个概念
机器学习算法与Python学习
5+阅读 · 2018年6月7日
深度学习入门必须理解这25个概念
AI100
7+阅读 · 2018年6月6日
最近流行的激活函数
计算机视觉战队
6+阅读 · 2017年11月27日
[学习] 这些深度学习网络调参技巧,你了解吗?
菜鸟的机器学习
7+阅读 · 2017年7月30日
[学习] 这些深度学习网络训练技巧,你了解吗?
菜鸟的机器学习
7+阅读 · 2017年7月29日
相关论文
A survey on deep hashing for image retrieval
Arxiv
15+阅读 · 2020年6月10日
Meta-Transfer Learning for Zero-Shot Super-Resolution
Arxiv
43+阅读 · 2020年2月27日
Arxiv
22+阅读 · 2018年8月30日
W-net: Bridged U-net for 2D Medical Image Segmentation
Arxiv
20+阅读 · 2018年7月12日
Arxiv
8+阅读 · 2018年6月19日
Arxiv
12+阅读 · 2018年1月12日
Top
微信扫码咨询专知VIP会员