Nature重磅:“空气燃料”不是梦!碳中和里程碑初验成功

2021 年 11 月 5 日 学术头条

撰文:库珀
编审:寇建超
排版:李雪薇



这是一张“神奇”的太阳能燃料系统的照片,该装置放置于苏黎世联邦理工学院机器实验室大楼楼顶。据介绍,这种装置制造的燃料是碳中性的,因为它们燃烧释放的二氧化碳与制作时提取的二氧化碳量一样多。

而且,这个系统可以利用阳光和空气直接生产出液态烃或甲醇燃料,也就是所谓的“空气燃料”。

甚至,研究人员认为,该系统所需的升级方案有望满足全球范围内的航空煤油消耗量(2019 年为 4140 亿升)。

空气燃料?未来是不是可以“秒杀”新能源电池?听上去确实有点不可思议。

如今,来自苏黎世联邦理工大学(ETH)的科研团队就成功地验证了太阳能空气燃料生产流程的技术可行性,论文日前发表在顶级科学期刊 Nature 上。据论文描述,当前的系统能在日常条件下运转,在一天 7 小时的工作时间内产生 32 毫升的甲醇。


(来源:Nature


众所周知,阳光和空气是地球上唾手可得的自然资源,随着生产流程的优化和改进,这项研究成果有望为生产碳中和的碳氢燃料铺平道路。

太阳能空气燃料合成系统

如今,在全球推进“碳中和”的背景下,许多国家都在开启一场经济社会全方位的绿色低碳转型,例如推进使用低碳能源取代化石燃料,或者倡导低碳出行。

在交通领域,航空航运目前约占人为二氧化碳排放总量的 8%,全球旅游业和贸易量的增长预计将进一步增加这一指标。在现实生活中,碳中和的交通运输是可行的,例如近年来开始普及的由电池供能的新能源汽车,但挑战在于,电量焦虑往往难以很好满足长途商业旅行需求,特别是在航空旅行中。

近年来,通过太阳能驱动的过程从水和二氧化碳中提取燃料(石油衍生液体碳氢化合物燃料的合成替代品)被视为是很有希望的一种解决方案。

科学家们尝试了许多可能的方法,其中,使用浓缩太阳辐射作为高温过程热源的热化学路径潜在具有高生产率和有效性。进一步而言,如果实验所需的二氧化碳能直接从大气中获得,则可以提供真正意义上的碳中和燃料,如果水分子也能从空气中共同提取,那么原料来源和燃料生产可以集中在阳光照射强烈、水资源有限的沙漠地区进行。

针对这一设想,苏黎世联邦理工大学的科研团队演示了整个热化学太阳能空气燃料生产链的运行,完成了直接从环境空气中捕获水分子和二氧化碳到运输燃料(如甲醇)的合成,并评估了将这种合成燃料推向市场所需的经济可行性和政策。

图|太阳能空气燃料系统的简化工艺链(来源:Nature


从实验装置来看,他们开发的太阳能空气燃料系统包含三个基本单元:

1、直接空气捕捉(DAC)装置,直接从环境空气中共同提取二氧化碳和水分子;
2、太阳能氧化还原装置,将二氧化碳和水分子转化为所需的一氧化碳和氢气混合物(合成气);
3、将合成气转化为液态烃或甲醇的气-液(GTL)装置。

ETH 附属的一家公司专门从事二氧化碳空气捕获技术,名为 Climeworks AG,该公司的技术可通过吸附-脱附过程直接从环境空气中过滤出二氧化碳,为这项实验提供了基础设备。吸附在环境温度和压力下进行,每次循环 180 分钟,解吸在 95 °C 和 0.1-0.3  bar 下进行,每次循环 43 分钟。该装置可处理 2000 立方米/hr的气流,每天 5.5 个循环可产生约 8 kg 的二氧化碳,测得纯度为 98%(其余为空气)和 20-40 kg 的水(取决于空气相对湿度),污染物低于 0.2 ppm 的检测限值。

在吸附步骤中,废气离开装置,捕获了约 40-70% 的初始二氧化碳含量。解吸步骤中,从 DAC 装置排出的捕获二氧化碳流在环境压力下收集到气球式缓冲罐中,随后压缩至最大 12 bar,并储存在 750 升钢缓冲罐中,水分子则从解吸流中冷凝并储存在塑料缓冲罐中。根据需要,二氧化碳和水分子均从缓冲罐输送至太阳能氧化还原装置。

视频|动画解释太阳能燃料系统的工作原理(来源:苏黎世联邦理工学院)

具体而言,太阳能氧化还原装置通过集中太阳辐射,驱动还原-氧化(氧化还原)循环,通过二氧化碳和水分子的热化学分解产生一氧化碳和氢气。研究人员使用非化学计量氧化铈作为氧化还原材料,因为它具有快速动力学、晶体稳定性和丰度。至于可替代的氧化还原材料,如钙钛矿和铁尖晶石等,可能会表现出优异的氧化还原性能,但尚未证明其稳定性。

太阳能氧化还原装置中心的循环包括两个步骤:在第一吸热步骤中,二氧化铈热还原生成氧气,在第二放热步骤中,还原的氧化铈用二氧化碳/水分子重新氧化,分别生成一氧化碳或氢气。燃料(氢气、一氧化碳)和氧气分别在单独步骤中生成,从而避免形成爆炸性混合物,无需高温气体分离,研究人员采用温度和压力波动来最大化氧化铈的氧交换能力,从而提高每循环的燃料产量。

7 小时运行生成 32 毫升甲醇,污染极低

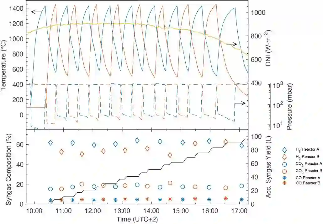
在一天 7 小时的正常环境下运行,研究人员通过连续的氧化还原循环,共获得 96.2 升(标准升,包括所有物种:59.5% 氢气、4.6% 一氧化碳、17.5% 二氧化碳和氩)的合成气,合成气的日质量比产率为 12.81 L/kg 氧化铈。二氧化碳与一氧化碳的累积摩尔转化率为 15.1%,二氧化碳裂解的峰值为 65%。

图|太阳能氧化还原装置的日运行数据(来源:Nature


在这一天的运行中,目标合成气质量适合甲醇合成,该太阳能合成气可在 GTL 装置中进一步加工成甲醇,这是一项成熟的技术工艺,GTL 装置测得的单程摩尔转化率为 27%,产生纯度为 65% 的甲醇,其余为水(低于检测限的污染物,例如乙醇和丁醇<1 ppm,丙醇<10 ppm)

剩余的未转化合成气循环多次通过 GTL 装置,然而,由于氩气浓度随着每一道次的增加而增加,循环的合成气在连续 6 次循环后被丢弃,最终总摩尔转化率为 85%,一天 7 小时运行,产生的纯甲醇量为 32 毫升。

在任何一种情况下,合成气纯度和质量都适用于 GTL 处理,并且可以针对甲醇或其他合成燃料进行定制,而不需要额外的步骤来校正成分和分离不需要的副产物。从石油中提取的碳氢化合物就包含很多空气污染物(例如硫化合物、重金属等)。此外,基于实验中合成染料的喷气燃料的燃烧测试表明,与基于化石的喷气燃料相比,有害物质排放显著减少。

研究人员在论文中表示,在间歇太阳照射下,整个系统稳定、成功地在室外运行,令人信服地证明了热化学工艺链将阳光和环境空气转化为燃料的技术可行性。但将此类燃料技术推向市场需要大量的工艺优化和升级,这需要得到政策的支持以实现商业规模的市场引入。

从产业化层面来讲,可以使用大量聚焦在太阳能塔上的太阳碟或定日镜场放大并将直接正常太阳辐射(DNI)浓缩到所需的太阳通量浓度(C>2000 个太阳),例如,商业规模的太阳能燃料发电厂可以使用 10 个定日镜场,每个定日镜场收集 100 兆瓦的太阳辐射功率,理论上每天约能生产 95000 升燃料(假设总体系统效率 η 系为 10%),足以为一架载有 325 名乘客的空中客车 A350 提供伦敦-纽约往返航班的燃料。

碳中和燃料里程碑

在当下成熟的产业硬件/软件控制下,定日镜场的这种方式是可行的,但其动态特性仍需在现场得到验证。

使用当前太阳能燃料系统中应用的技术,大约只需 4500 平方米,就能用于捕获工艺所需的约 100000 吨二氧化碳/年,所覆盖的土地面积不到总土地足迹的 1%。

假设 η 系=10%,这样一个太阳能燃料厂每年将产生约 3400万 升燃料,进一步而言,2019 年全球航空煤油消耗量为 4140 亿升,完全满足全球航空燃料所需的所有太阳能发电厂的总占地面积约为 45000 平方公里,相当于撒哈拉沙漠面积的 0.5%。

图|飞机排放的“尾气”(来源:pixabay)


值得关注的是,在本次实验演示中,研究人员并没有尝试优化机组以获得最大成效,整套系统还拥有较大改进潜力,与受资源供应限制的生物燃料不同,如果全球航空燃料需求可以通过利用全球不到 1% 的干旱土地来满足,前景堪称充满想象力,且太阳能空气燃料生产链的生命周期评估表明,相对于传统化石喷气燃料,80% 的温室气体排放得以避免。

鉴于太阳能热化学燃料的初始投资成本较高,因此需要政策支持,以实现广泛部署,并通过规模效应和工艺优化,大规模生产关键部件和持续优化,从而实现合成燃料成本降低。

研究人员畅想,随着时间的推移,政策和技术框架大概要经历以下几个阶段:初始研发和技术演示、市场创建和系统开发以及形成市场竞争力,这将开启太阳能空气燃料曲线发展进程。

粗略计算之下,即使初期建造的前十座太阳能空气燃料发电厂的初始成本超过每公升燃料 10 美元(相比之下,等量传统石化燃料的生产成本不到 1 美元),供应 0.1% 的市场份额就能够部署早期生产设施,重要的是,太阳能空气燃料可利用现有的存储、分配和利用基础设施,不需要生产链以外的新技术开发。

研究人员表示,利用阳光和空气生产碳中和的碳氢燃料是一个重要里程碑,在适当的政策支持下,有望启动航空部门长期脱碳目标的实现。

参考资料:
https://www.nature.com/articles/s41586-021-04174-y

点这里关注我👇记得标星~





热门视频推荐

更多彩视频,尽在学术头条视频号,欢迎关注~


# 往期推荐 #

拜登点赞的中国重器,又登上了国际顶刊!


贝索斯、美国财团逐梦全球首个私人空间站,2大建设方案已箭在弦上



登录查看更多
0

相关内容

【碳中和】指的是在一定时间内,通过节能减排、植树造林等形式使人为的二氧化碳排放量与人为的二氧化碳清除量在全球范围内达到平衡,实现二氧化碳相对“零排放”。
区块链赋能“碳达峰碳中和”白皮书 ,41页pdf
专知会员服务
40+阅读 · 2022年3月26日
《利用人工智能加速能源转型》报告
专知会员服务
85+阅读 · 2022年2月23日
报告 |《数字碳中和白皮书》(附下载)
专知会员服务
91+阅读 · 2021年12月31日
专知会员服务
46+阅读 · 2021年6月26日
专知会员服务
44+阅读 · 2021年5月19日
专知会员服务
40+阅读 · 2021年5月12日
Nature论文 | 货运列车电动化,why not?
机器之心
0+阅读 · 2022年2月5日
登上Nature,它是最成功的AI新冠应用?
学术头条
0+阅读 · 2021年11月13日
国家自然科学基金
0+阅读 · 2014年12月31日
国家自然科学基金
0+阅读 · 2014年12月31日
国家自然科学基金
0+阅读 · 2013年12月31日
国家自然科学基金
0+阅读 · 2013年12月31日
国家自然科学基金
3+阅读 · 2013年12月31日
国家自然科学基金
1+阅读 · 2013年12月31日
国家自然科学基金
0+阅读 · 2012年12月31日
国家自然科学基金
0+阅读 · 2012年12月31日
国家自然科学基金
3+阅读 · 2012年12月31日
Arxiv
0+阅读 · 2022年4月19日
Arxiv
103+阅读 · 2021年6月8日
VIP会员
最新内容
美陆军设想无人系统司令部
专知会员服务
0+阅读 · 今天13:45
【博士论文】已对齐人工智能系统的持久脆弱性
专知会员服务
0+阅读 · 今天13:52
扭曲还是编造?视频大语言模型幻觉研究综述
专知会员服务
0+阅读 · 今天13:41
《采用系统思维应对混合战争》125页
专知会员服务
2+阅读 · 今天12:47
战争机器学习:数据生态系统构建(155页)
专知会员服务
6+阅读 · 今天8:10
内省扩散语言模型
专知会员服务
5+阅读 · 4月14日
国外反无人机系统与技术动态
专知会员服务
4+阅读 · 4月14日
相关基金
国家自然科学基金
0+阅读 · 2014年12月31日
国家自然科学基金
0+阅读 · 2014年12月31日
国家自然科学基金
0+阅读 · 2013年12月31日
国家自然科学基金
0+阅读 · 2013年12月31日
国家自然科学基金
3+阅读 · 2013年12月31日
国家自然科学基金
1+阅读 · 2013年12月31日
国家自然科学基金
0+阅读 · 2012年12月31日
国家自然科学基金
0+阅读 · 2012年12月31日
国家自然科学基金
3+阅读 · 2012年12月31日
Top
微信扫码咨询专知VIP会员