让聊天机器人完美回复 | 基于PaddlePaddle的语义匹配模型DAM

2019 年 4 月 9 日 量子位
本文转载自PaddlePaddle

语义匹配

语义匹配是NLP的一项重要应用。无论是问答系统、对话系统还是智能客服,都可以认为是问题和回复之间的语义匹配问题。这些NLP的应用,通常以聊天机器人的形式呈现在人们面前,目标是通过对话的上下文信息,去匹配最佳的回复。

因而,让聊天机器人完美回复问题,是语义匹配的关键目标。作为国内乃至国际上领先的NLP技术团队,百度在NLP领域积极创新、锐意进取,在聊天机器人的回复选择这个关键NLP任务上,提出了效果最优的深度注意力匹配神经网络DAM,并开源了基于PaddlePaddle的模型实现。

本文对该模型的相关原理和应用加以介绍。

DAM在PaddlePaddle项目的地址:

https://github.com/PaddlePaddle/models/tree/develop/PaddleNLP/deep_attention_matching_net

关键应用—聊天机器人多轮对话的回复选择

基于检索的聊天机器人最重要的一项任务是从给定的候选回复中,选取与问题最匹配的回复。

这一项研究的关键挑战是需要去捕获对话中不同粒度的语义依赖关系,如图1中的对话示例所示,对话的上下文和候选回复之间存在不同粒度上的两种关系:

1)直接的文本相关,比如单词”packages”和”package”,或者短语”debian package manager”和”debian package manager”,他们之间直接有重叠的词汇。

2)语段之间隐式相关关系,比如回复中的单词”it”指代的是上文中的”dpkg”,回复中的”its just reassurance”对应的是”what packages are installed on my system”。

早期研究已经表明,在多轮对话中,从不同的语义粒度上捕获语段对之间的关系是选出最佳回复的关键所在。然而现有的模型更多的要么是考虑文本的相关关系,从而对于隐式相关的关系提取的还不够好,要么是使用RNN模型,在捕获多粒度语义表示上,开销又太大。面对这些挑战,百度NLP团队提出了DAM模型,用以解决多轮对话的语义匹配问题。

△ 图1 多轮对话的示例

DAM模型概览(Deep Attention Matching Network)

DAM 是一个完全基于注意力机制的神经匹配网络。DAM的动机是为了在多轮对话中,捕获不同颗粒度的对话元素中的语义依赖,从而更好得在多轮对话的上下文语境中回复。

DAM受启发于机器翻译的Transformer模型,将Transformer关键的注意力机制从两个方面进行拓展,并将其引入到一个统一的网络之中。

自注意力机制(self-attention)

从单词级的嵌入中堆叠注意力机制,逐渐捕获不同粒度的语义表示。比如对一个句子使用注意力机制,可以捕获句子内部词级别的依赖关系。这些多粒度的语义表示有助于探索上下文和回复的语义依赖关系。

互注意力机制(cross-attention)

在上下文和回复之间应用注意力机制,可以捕获不同语段对之间隐式的依赖关系,从而为文本关系提供更多的补充信息从而为多轮对话选择更好的回复。

在实践中,DAM将上下文和回复中的每句话的每一个单词当做一个语段的中心语义对待,通过堆叠注意力机制,从不同级别上丰富其语义表示,进而围绕该中心单词,生成更多高级的语段的语义表示。这样上下文和回复中的每句话都是在考虑了文本相关和依赖关系的情况下,且基于不同粒度进行匹配的。

DAM首先捕获从词级到句级的上下文和回复之间的匹配信息,然后通过卷积和最大池化操作提取最匹配的特征,最后通过单层的感知网络得到一个匹配得分。

DAM技术详解

△ 图2 DAM模型网络结构

DAM模型的网络结构如图2所示。它包括表示-匹配-聚合三个主要部分,输入是对话的数据集,由上下文的文本每一句话u和回复r所对应的词嵌入组成,输出是得到一个对话中上下文与回复之间的匹配分数。

表示模块能够对输入的上下文u和回复r构建不同粒度的语义表示。通过堆叠多层相同的自注意力模块,将输入的语义词嵌入构建为更加高级的语义表示。得到语义表示之后,上下文与回复以语段-语段相似矩阵的形式互相匹配。

匹配有两种,自注意力匹配和互注意力匹配,分别可以衡量上下文与回复之间的文本关系和依赖关系。

这些匹配的分数会形成一个3D的匹配图Q,它的维度分别代表上下文中的每一句话、每句话中的每个单词以及回复中的每个单词。接着,语段对之间的匹配信息通过卷积和最大池化提取,进一步得通过单层感知网络聚合,得到匹配的分数,代表候选回复与上下文之间的匹配程度。

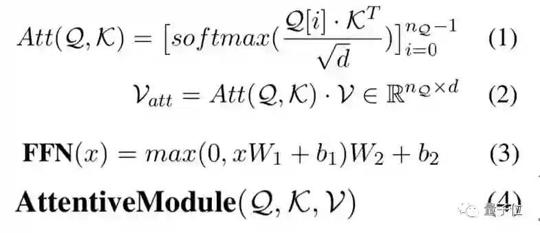
△ 图3 注意力模块

DAM网络中使用了注意力模块实现自注意力和互注意力机制,它的结构如图3所示。

该结构借鉴了Transformer模型中的注意力机制的实现。它的输入有三个部分,query语句、key语句和value语句,分别以Q、K和V表示。注意力模块会首先对query语句和key语句的每个单词进行标量点积注意力(Scaled Dot Product Attention)计算,具体计算如公式(1)和(2)所示。

算出的Vatt存储了语义信息,代表了query语句和value语句之间的相互关系。Vatt与query语句输入会相加一起,组成了一个能够代表它们联合含义的语义表示。然后通过一层标准化(Normalization)的操作,可以避免梯度消失或者爆炸。

再接着,使用Relu激活函数的前馈神经网络FFN进一步处理聚合的词嵌入,操作如公式(3)所示。

公式(3)中,x代表的是一个与query语句一样形状的2Dtensor,W1,W2,b1和b2都是要学习的参数。最后的输出还会经过一次标准化操作,从而得到最后的结果。整个注意力模块的结果由公式(4)表示。

整个注意力模块可以捕获query语句和key语句的依赖关系,利用依赖信息可以得到语义表示,再进一步的构建多粒度的语义表示。

公式(5)和(6)就是利用了注意力模块,得到了上下文和回复的多粒度语义表示信息。公式(7)得到了自注意力的匹配矩阵。公式(8)和(9)通过注意力模块得到上下文与回复之间的语义表示信息,进一步的组成互注意力的匹配矩阵。

自注意力矩阵和互注意力矩阵聚合成了一个3D匹配图Q。再通过带最大池化的3D卷积,得到匹配特征,最后通过单层感知层进行匹配分数的计算。

DAM模型在Ubuntu和豆瓣对话两个语料库上测试了多轮对话任务,如表1所示,相比其他模型获得了最优的效果。

Ubuntu语料库是英文的关于Ubuntu系统troubleshooting的多轮对话数据。它的训练集包括50万个多轮对话的上下文文本,每个对话文本带有1个人类积极回答的正例回复和1个随机采样的负例回复。

它的验证集和测试集各自包括5万个上下文文本,每个上下文文本各有1个正例回复和9个负例回复。豆瓣对话语料库是中文的关于一些开放领域的对话数据集。

它的验证集包括5万个对话实例,每个实例各有1个正例和负例回复,测试集有1万个实例,每个实例有10个候选回复。

△ 表1:DAM模型的效果对比

DAM模型PaddlePaddle实战

环境准备:首先根据项目文档要求,下载最新版本的PaddlePaddle。Python的版本要求>=2.7.3

项目的代码目录及简要说明如下:

.
├── README.md # 文档
├── model.py # 模型
├── train_and_evaluate.py # 训练和评估脚本
├── test_and_evaluate.py # 测试和评估脚本
├── ubuntu # 使用Ubuntu语料库的脚本
├── Douban # 使用Douban语料库的脚本
└── utils # 通用函数

下载项目以后,接下来以Ubuntu语料库应用为例:

1.进入ubuntu目录

cd ubuntu

2.下载预处理好的数据用于训练。项目提供了下载数据的脚本

sh download_data.sh

3.执行训练和评估的脚本

sh train.sh

使用如下脚本,可以了解更多关于arguments的使用说明。

python ../train_and_evaluate.py —help

默认情况下,训练是在单个的GPU上执行的,用户也可以转到多GPU模式运行。只需要将train.sh脚本中的可见设备重置一下即可。比如

export CUDA_VISIBLE_DEVICES=0,1,2,3

4.执行测试脚本

sh test.sh

类似的,用户可以很容易的利用Douban对话语料库进行实验。

传送门:

PaddlePaddle Github项目地址:

https://github.com/PaddlePaddle

DAM模型项目地址:

https://github.com/PaddlePaddle/models/tree/develop/fluid/PaddleNLP/deep_attention_matching_net

量子位AI+系列沙龙--智慧城市

加入社群

量子位AI社群开始招募啦,量子位社群分:AI讨论群、AI+行业群、AI技术群;


欢迎对AI感兴趣的同学,在量子位公众号(QbitAI)对话界面回复关键字“微信群”,获取入群方式。(技术群与AI+行业群需经过审核,审核较严,敬请谅解)

诚挚招聘

量子位正在招募编辑/记者,工作地点在北京中关村。期待有才气、有热情的同学加入我们!相关细节,请在量子位公众号(QbitAI)对话界面,回复“招聘”两个字。

量子位 QbitAI · 头条号签约作者

վ'ᴗ' ի 追踪AI技术和产品新动态

喜欢就点这里吧 !


登录查看更多
5

相关内容

Discrete Applied Mathematics的目的是汇集算法和应用离散数学不同领域的研究论文,以及组合数学在信息学和科学技术各个领域的应用。发表在期刊上的文章可以是研究论文、简短笔记、调查报告,也可以是研究问题。“传播”部分将致力于尽可能快地出版最近的研究成果,这些成果由编辑委员会的一名成员检查和推荐出版。《华尔街日报》还将出版数量有限的图书公告和会议记录。这些程序将得到充分的裁决,并遵守《华尔街日报》的正常标准。官网链接:https://www.sciencedirect.com/journal/discrete-applied-mathematics/about/aims-and-scope
【ICML2020-西电】用于语言生成的递归层次主题引导RNN
专知会员服务
22+阅读 · 2020年6月30日
基于多头注意力胶囊网络的文本分类模型
专知会员服务
79+阅读 · 2020年5月24日
Transformer文本分类代码
专知会员服务
118+阅读 · 2020年2月3日
官方 | 从机器翻译到阅读理解,一文盘点PaddlePaddle九大NLP模型
机器学习算法与Python学习
9+阅读 · 2019年4月13日
论文浅尝 | 基于知识库的自然语言理解 01#
开放知识图谱
15+阅读 · 2019年2月22日
如何匹配两段文本的语义?
黑龙江大学自然语言处理实验室
7+阅读 · 2018年7月21日
论文解读 | 基于递归联合注意力的句子匹配模型
论文浅尝 | 基于知识图谱子图匹配以回答自然语言问题
开放知识图谱
26+阅读 · 2018年6月26日
论文浅尝 | 基于知识图谱的子图匹配回答自然语言问题
开放知识图谱
27+阅读 · 2018年5月17日
A Sketch-Based System for Semantic Parsing
Arxiv
4+阅读 · 2019年9月12日
Arxiv
5+阅读 · 2017年12月29日
VIP会员
最新内容
以色列-美国-伊朗战争中的无人机:关键要点
专知会员服务
2+阅读 · 今天14:04
《Palantir任务保障性软件安全标准(MA-S2)》
专知会员服务
6+阅读 · 今天13:49
基于声学的无人机检测技术综述
专知会员服务
5+阅读 · 今天13:37
《当代混合战争分析框架:俄乌战争经验教训》
专知会员服务
5+阅读 · 今天13:11
战略前沿人工智能的再思考(中文)
专知会员服务
7+阅读 · 5月29日
《量化地基防空系统间接效应的博弈论方法》
专知会员服务
5+阅读 · 5月29日
“史诗怒火行动”中美军损失的作战飞机
专知会员服务
6+阅读 · 5月29日
ICML 2026 | 理解上下文持续学习中的泛化与遗忘
专知会员服务
5+阅读 · 5月28日
相关VIP内容
相关资讯
官方 | 从机器翻译到阅读理解,一文盘点PaddlePaddle九大NLP模型
机器学习算法与Python学习
9+阅读 · 2019年4月13日
论文浅尝 | 基于知识库的自然语言理解 01#
开放知识图谱
15+阅读 · 2019年2月22日
如何匹配两段文本的语义?
黑龙江大学自然语言处理实验室
7+阅读 · 2018年7月21日
论文解读 | 基于递归联合注意力的句子匹配模型
论文浅尝 | 基于知识图谱子图匹配以回答自然语言问题
开放知识图谱
26+阅读 · 2018年6月26日
论文浅尝 | 基于知识图谱的子图匹配回答自然语言问题
开放知识图谱
27+阅读 · 2018年5月17日
Top
微信扫码咨询专知VIP会员