【DST系列】DST方法分类

2020 年 10 月 15 日 AINLP

上一篇文章我们介绍了什么是DST、状态的表示、以及DST的难点,这一篇我们主要介绍DST方法分类。

DST的常用方法主要有三种:基于规则的方法、生成式方法、判别式方法,目前来看判别式方法的表现最好,也是当前研究最多的方向。

1.基于规则的方法

早期的对话系统一般是基于规则进行对话状态追踪。在最早的形式中,这些方法通常仅考虑单个NLU结果,并追踪对话状态的单个假设。该设计将对话状态追踪问题简化为更新规则 是已有的状态, 是1-best NLU的识别结果,相当于选择NLU识别的概率值最大的状态和历史状态合并,而且输出的状态也是确定型。更新规则可以是直接覆盖或者按照阈值选择等。

基于规则的方法都有自身的局限性,需要大量的人工和专家知识,因此在较复杂的场景适用性不强。也没有办法同时追踪多种状态。一般使用的规则都很简单,没有办法定制复杂状态的更新机制,缺乏灵活性。基于规则的好处是不依赖于数据,而且很容易将领域的先验知识编码到规则中,这对于冷启动或者无法获取到高质量的对话数据的场景是有好处的。规则还为开发人员提供了一种合并领域知识的便捷方法。除了使用当前的NLU的结果,也可以基于规则设计的公式在整个ASR / NLU置信度得分和 的先前估计的情况下计算对话状态的后 ,从而可以克服一些NLU错误。

状态分布示意图

使用规则设计的公式来计算 有一个关键的局限性:公式参数不是直接从真实的对话数据中得出的,因此需要仔细调整,并且不能从对话数据中受益或学习。这种局限性促使人们使用数据驱动技术,该技术可以自动设置参数以使准确性最大化。数据驱动技术中最主要的是生成式方法和判别式方法,如下所述。

2.生成式方法

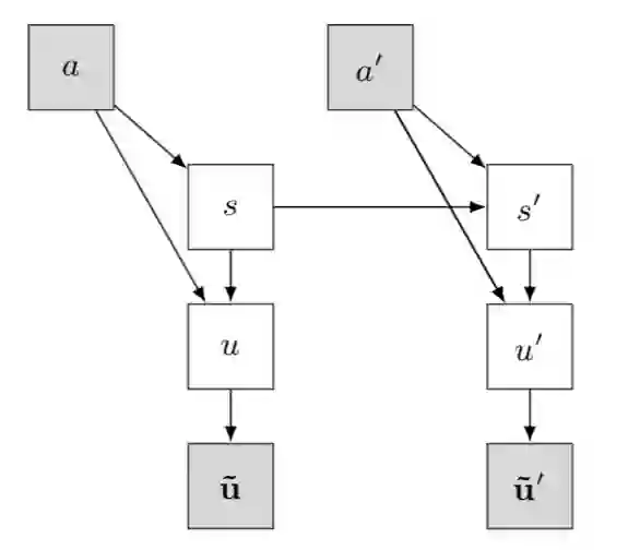
生成式方法主要是对数据集中存在的模式进行挖掘,学习出对话状态的条件概率分布。生成式方法假定对话可以建模为贝叶斯网络,该网络将对话状态 与系统动作 ,观察到或未观察到的用户动作 (指用户的输入query)以及ASR或NLU结果 相联系。当观察到系统动作和ASR / NLU结果时,可以通过应用贝叶斯推断来计算可能的对话状态分布。通过构建对话状态之间的转义关系图,建模各变量之间的依赖关系和概率分布计算公式。生成式方法主要是利用贝叶斯网络推断来学得整个状态的概率分布,其通用表达式如下:

是历史的对话状态分布, 是更新后的对话状态, 是ASR/NLU是通过识别用户的话得出的状态, 是在给定的对话状态 和系统动作 下的采取的动作, 是在给定状态 和系统动作 下状态转变成 的概率, 是一个归一化的常量。这个公式定义了状态 是转移到 的概率。其中真实对话状态 和真实用户动作 被视为未观察到的随机变量,等式第一个求和项叫作观测模型,第二个求和项叫作转移模型。

生成式方法图例

可以看出上面的公式还是比较复杂的,因此实现起来也比较复杂,传统的生成式方法还要列出所有可能的状态,以及状态概率转移矩阵等。

生成式方法比基于规则的方法具有更好的性能。但是,生成方法也不能轻易地合并来自ASR,NLU,对话历史记录和其他地方的大量潜在特征:必须明确地建模功能之间的所有依赖关系,这需要不切实际的数据量。因此,仍然无法完全利用所有有用的信息。为了易于处理,生成方法通常会做出无效的独立性假设,或者必须忽略对话历史的重要特征,从而违反了马尔可夫假设。最终结果是 的估算很差。这些问题共同激发了对判别式方法的研究,这些方法将在下面介绍。

3.判别式方法

与生成式方法相反,判别式方法根据模型直接计算对话状态的概率,其形式为 ,其中 是从ASR/NLU和对话历史记录抽取的特征。判别式方法的主要优点是它们可以合并大量特征,并且可以直接优化预测的准确率。模型直接从大量数据中学习用户行为,因此可以引入一些先验知识改善状态追踪效果,比如对一些置信度高的NLU结果设计一些特定规则以表示状态的转换等。

判别式方法的主要环节就是特征提取+模型,常见的方法有两大类:

  • 一种是将特征用于训练分类器,预测状态的概率;
  • 另外一种是将特征用于序列建模。

主要使用SVM、最大熵模型、CRF等来建模。随着深度学习的发展,DNN,RNN等模型也越来越多的占领了这个领域。

4.总结

本篇没有过多的讲解具体的模型,主要是介绍了分类体系。规则的和生成式的都是比较旧的方法,当前主要研究也不在这些方法上。就目前来讲,判别式方法效果更好,也是目前研究最为广泛的,因为它通过特征提取的方法对对话状态进行精准建模,而且可以方便的结合深度学习等方法进行自动提取特征。因此下一篇主要介绍判别式模型,及如何解决第一篇提到的DST难点。

作者介绍

王文彬,2018年毕业于中国科学院大学。毕业后加入贝壳找房语言智能部,主要从事NLP、强化学习和搜索推荐相关工作。

戳下面👇

语言智能部等你加入,工程&算法超多岗位!




由于微信平台算法改版,公号内容将不再以时间排序展示,如果大家想第一时间看到我们的推送,强烈建议星标我们和给我们多点点【在看】。星标具体步骤为:

(1)点击页面最上方"AINLP",进入公众号主页。

(2)点击右上角的小点点,在弹出页面点击“设为星标”,就可以啦。

感谢支持,比心


欢迎加入对话系统技术交流群
进群请添加AINLP小助手微信 AINLPer(id: ainlper),备注对话系统

推荐阅读

这个NLP工具,玩得根本停不下来

征稿启示| 200元稿费+5000DBC(价值20个小时GPU算力)

完结撒花!李宏毅老师深度学习与人类语言处理课程视频及课件(附下载)

从数据到模型,你可能需要1篇详实的pytorch踩坑指南

如何让Bert在finetune小数据集时更“稳”一点

模型压缩实践系列之——bert-of-theseus,一个非常亲民的bert压缩方法

文本自动摘要任务的“不完全”心得总结番外篇——submodular函数优化

Node2Vec 论文+代码笔记

模型压缩实践收尾篇——模型蒸馏以及其他一些技巧实践小结

中文命名实体识别工具(NER)哪家强?

学自然语言处理,其实更应该学好英语

斯坦福大学NLP组Python深度学习自然语言处理工具Stanza试用

关于AINLP

AINLP 是一个有趣有AI的自然语言处理社区,专注于 AI、NLP、机器学习、深度学习、推荐算法等相关技术的分享,主题包括文本摘要、智能问答、聊天机器人、机器翻译、自动生成、知识图谱、预训练模型、推荐系统、计算广告、招聘信息、求职经验分享等,欢迎关注!加技术交流群请添加AINLPer(id:ainlper),备注工作/研究方向+加群目的。


阅读至此了,分享、点赞、在看三选一吧🙏

登录查看更多
1

相关内容

【干货书】可解释人工智能(xAI)方法和深度元学习模型
专知会员服务
62+阅读 · 2020年9月13日
【神经语言生成:形式化,方法与评价,70页pdf】
专知会员服务
37+阅读 · 2020年8月8日
【干货书】管理统计和数据科学原理,678页pdf
专知会员服务
186+阅读 · 2020年7月29日
多模态深度学习综述,18页pdf
专知会员服务
220+阅读 · 2020年3月29日
【斯坦福&Google】面向机器人的机器学习,63页PPT
专知会员服务
26+阅读 · 2019年11月19日
[综述]基于深度学习的开放领域对话系统研究综述
专知会员服务
80+阅读 · 2019年10月12日
基于BERT的ASR纠错
深度学习自然语言处理
8+阅读 · 2020年7月16日
对话系统近期进展
专知
37+阅读 · 2019年3月23日
NLP实践:对话系统技术原理和应用
AI100
34+阅读 · 2019年3月20日
博客 | 总结 | 对话系统中的口语理解(SLU)(一)
【小夕精选】多轮对话之对话管理(Dialog Management)
夕小瑶的卖萌屋
27+阅读 · 2018年10月14日
多轮对话之对话管理:Dialog Management
PaperWeekly
18+阅读 · 2018年1月15日
机器学习(16)之支持向量机原理(二)软间隔最大化
机器学习算法与Python学习
6+阅读 · 2017年9月8日
Arxiv
0+阅读 · 2020年12月2日
Star-Transformer
Arxiv
5+阅读 · 2019年2月28日
Neural Speech Synthesis with Transformer Network
Arxiv
5+阅读 · 2019年1月30日
LARNN: Linear Attention Recurrent Neural Network
Arxiv
5+阅读 · 2018年8月16日
VIP会员
最新内容
以色列-美国-伊朗战争中的无人机:关键要点
专知会员服务
0+阅读 · 13分钟前
《Palantir任务保障性软件安全标准(MA-S2)》
专知会员服务
2+阅读 · 28分钟前
基于声学的无人机检测技术综述
专知会员服务
3+阅读 · 40分钟前
《当代混合战争分析框架:俄乌战争经验教训》
专知会员服务
3+阅读 · 今天13:11
战略前沿人工智能的再思考(中文)
专知会员服务
7+阅读 · 5月29日
《量化地基防空系统间接效应的博弈论方法》
专知会员服务
5+阅读 · 5月29日
“史诗怒火行动”中美军损失的作战飞机
专知会员服务
6+阅读 · 5月29日
ICML 2026 | 理解上下文持续学习中的泛化与遗忘
专知会员服务
5+阅读 · 5月28日
相关VIP内容
【干货书】可解释人工智能(xAI)方法和深度元学习模型
专知会员服务
62+阅读 · 2020年9月13日
【神经语言生成:形式化,方法与评价,70页pdf】
专知会员服务
37+阅读 · 2020年8月8日
【干货书】管理统计和数据科学原理,678页pdf
专知会员服务
186+阅读 · 2020年7月29日
多模态深度学习综述,18页pdf
专知会员服务
220+阅读 · 2020年3月29日
【斯坦福&Google】面向机器人的机器学习,63页PPT
专知会员服务
26+阅读 · 2019年11月19日
[综述]基于深度学习的开放领域对话系统研究综述
专知会员服务
80+阅读 · 2019年10月12日
相关资讯
基于BERT的ASR纠错
深度学习自然语言处理
8+阅读 · 2020年7月16日
对话系统近期进展
专知
37+阅读 · 2019年3月23日
NLP实践:对话系统技术原理和应用
AI100
34+阅读 · 2019年3月20日
博客 | 总结 | 对话系统中的口语理解(SLU)(一)
【小夕精选】多轮对话之对话管理(Dialog Management)
夕小瑶的卖萌屋
27+阅读 · 2018年10月14日
多轮对话之对话管理:Dialog Management
PaperWeekly
18+阅读 · 2018年1月15日
机器学习(16)之支持向量机原理(二)软间隔最大化
机器学习算法与Python学习
6+阅读 · 2017年9月8日
Top
微信扫码咨询专知VIP会员