论文浅尝 | 从树结构的长短期记忆网络改进语义表示

2020 年 1 月 19 日 开放知识图谱

论文笔记整理:窦春柳,天津大学硕士,方向:自然语言处理



链接:https://arxiv.org/pdf/1503.00075.pdf


动机

由于长短期记忆网络(LSTM)这种具有复杂单元的循环神经网络具有良好的表示序列信息的能力,其在多种序列模型任务中都取得了非常好的结果。到目前为止一直被使用的LSTM是一个线性结构。然而,自然语言表现一种将单词组合在一起形成短语的句法结构。本文引入了Tree-LSTM,将LSTM推广到树状的网络拓扑结构。在两个任务的baseline上,Tree-LSTMs都要优于现有的系统:预测两个句子的语义相关性和情感分类。


亮点

本文的亮点主要包括:

1)将LSTM推广到树状的网络拓扑结构,并且它展示出比序列LSTM更好的性能。标准LSTM可以看作是Tree-LSTM的一种特殊情况。

2)利用实验验证了Tree-LSTM作为句子的表示模型,具有很好的效果。主要在两个任务上去评估Tree-LSTM结构:句子对间的语义相关性的预测以及来自于电影影评的句子情感分类。

概念及模型

本文提出了由基本LSTM扩展出的两种结构:Child-Sum Tree-LSTMN-ary Tree-LSTM。这两个变种均允许更丰富的网络拓扑结构,其中每个LSTM单元能够联合来自多个子单元的信息。

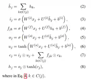
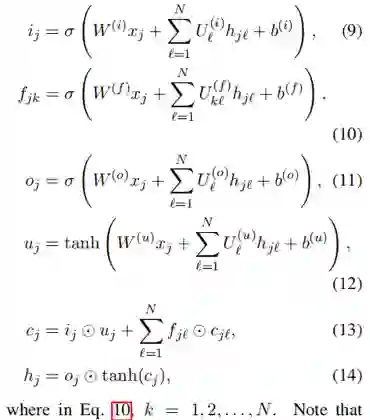
  • Tree-LSTM单元

正如标准的LSTM单元那样,Tree-LSTM单元(由j标识)都包含输入输出门i_j, o_j,一个记忆单元 c_j,以及隐藏状态 h_j。其与标准LSTM单元的不同之处在于,门向量和记忆单元的更新依赖于许多子单元。另外,该单元并不只包含一个遗忘门,Tree-LSTM单元对每一个子单元均包含一个遗忘门 f_jk。这有助于Tree-LSTM单元有选择地联合来自于每一个子单元的信息。


每一个Tree-LSTM单元都有一个输入向量 x_j。在我们的应用当中,每一个 x_j 是一句话中一个单词的向量表示。每一个节点的输入单词依赖于当前网络的树结构。

 

 

  • Child-Sum Tree-LSTMs

给定一棵树,令 C(j) 为节点j的所有子节点的集合。Child-Sum Tree-LSTM的转移等式如下:

应用:Dependency Tree-LSTMs

由于Child-Sum Tree-LSTM单元根据子单元隐藏状态 h_k 的总和调整其组件,因此适用于具有多分支或其子节点无序的树。例如,它是依存树的一个很好的选择,其中头的依存数目可以是高度可变的我们将应用于依存树的Child-Sum Tree-LSTM称为Dependency Tree-LSTM


  • N-ary Tree-LSTMs

N -ary Tree-LSTM可用于树结构,其中分支因子最多为N,并且子项是有序的,即它们可以从1N索引。对于任何节点j,分别将其第k个孩子节点的隐藏状态和记忆细胞表示为 h_jk 和 c_jk。N -ary Tree-LSTM的转移等式如下:

为每个孩子k引入单独的参数矩阵允许N-Tree Tree-LSTM模型在单元上对孩子状态学习比Child Sum Tree-LSTM更细粒度。例如,考虑一个选区树应用程序,其中节点的左孩子节点对应于名词短语,右孩子节点对应动词短语。假设在这种情况下强调表示中的动词短语是有利的。

遗忘门参数化。在等式10中定义了第k个孩子的遗忘门 f_jk,其中包含了“非对角线”参数矩阵 U_kl^(f)。此参数化允许更灵活地控制从孩子到父节点的信息传播。例如,这允许二叉树中的左隐藏状态对右孩子的遗忘门具有兴奋或抑制效果。但是,对于较大的N值,这些附加参数是不切实际的,可以绑定或固定为零。

应用:Constituency Tree-LSTMs

我们可以自然地将Binary Tree-LSTM单元应用于二值化选区树,因为区分了左右子节点。我们将Binary Tree-LSTM的这种应用称为Constituency Tree-LSTM。注意,在选区树-LSTM中,节点j仅在它是叶节点时才接收输入向量。

  • 模型

现在描述两个应用是上面描述的Tree-LSTM架构的特定模型。

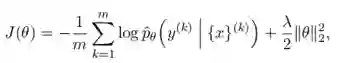
1.Tree-LSTM分类

在此背景中,我们希望从树的一些子节点的离散类Y中预测标签。例如,解析树中节点的标签可以对应于该节点所跨越的短语的某些属性。

在每个节点j,我们使用softmax分类器来预测标签,给定在以j为根的子树中的节点处观察到的输入 {x}_j。分类器将节点处的隐藏状态 h_j 作为输入:

代价函数是每个标记节点上正确类标签 y^(k) 的负对数似然:

其中m是训练集中标记节点的数量,上标k表示第k个标记节点,λ是L2正则化超参数。

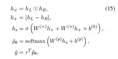
2.句子对的语义相关性

给定句子对,我们希望预测[1,K]在某个范围内的实值相似度得分,其中是K>1整数。序列{1,2,...,K}是一些序数相似度,其中较高的分数表示较高的相似度。首先使用每个句子的解析树上的Tree-LSTM模型为对每个句子生成句子表示 h_L 和 h_R。给定这些句子表示,使用神经网络预测的相似性得分,该神经网络同时考虑(h_L, h_R) 对之间的距离和角度:


其中 r^T = [1,2,3...K]。使用距离测量 h_x和 h_+ 是出于经验:发现组合优于单独使用任何一种测量。乘法度量 h_x 可以解释为输入表示符号的元素比较。

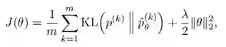
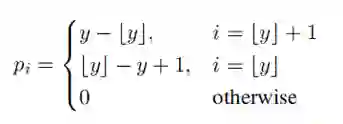
本文希望给定模型参数 Theta 的预测分布下的预期评级接近评级 。因此,定义了满足 y=r^T p 的系数目标分布:

代价函数是p之间正则化的KL-发散:

其中m是训练对的数量,上标k表示第k个句子对。


理论分析

实验

1.Sentiment Classification

数据集采用Stanford Sentiment Treebank(SST),任务主要是二分类和fine-grained(五分类)。结果如下图所示:

结果分析:在fine-grainedtask上,作者提出的 Constituency Tree-LSTM 获得了最好的效果,Glove vectorstuned指使用Glove词向量初始化embedding,在训练过程中不断更新embedding;在二分类上,达到了SOA的结果,但是并没有实现指标上的超越。

Constituency Tree-LSTMDependency Tree-LSTM表现好的原因可能在于前者使用了更多的labeled 数据,因为仅从二者树结构对比来说,前者会比后者产生更多的nodes(319K vs 150K).

2.   Semantic Relatedness

数据集采用Sentences Involving Compositional Knowledge (SICK),评价指标包括Pearson系数,Spearman相关系数和MSE。结果如下图所示:

结果分析:作者在这个数据集上分别跟non-LSTM模型、RNN模型、LSTM模型做了对比,均实现了指标上的超越。


总结

本文引入了Tree-LSTM,将LSTM推广到树状的网络拓扑结构。通过在两个任务证明了Tree-LSTM的有效性:语义相关性和情感分类,两者均优于现有系统。

 


 

OpenKG


开放知识图谱(简称 OpenKG)旨在促进中文知识图谱数据的开放与互联,促进知识图谱和语义技术的普及和广泛应用。

点击阅读原文,进入 OpenKG 博客。


登录查看更多
5

相关内容

长短期记忆网络(LSTM)是一种用于深度学习领域的人工回归神经网络(RNN)结构。与标准的前馈神经网络不同,LSTM具有反馈连接。它不仅可以处理单个数据点(如图像),还可以处理整个数据序列(如语音或视频)。例如,LSTM适用于未分段、连接的手写识别、语音识别、网络流量或IDSs(入侵检测系统)中的异常检测等任务。
【ICML2020-西电】用于语言生成的递归层次主题引导RNN
专知会员服务
22+阅读 · 2020年6月30日
【ACL2020-复旦大学NLP】异构图神经网络的文档摘要提取
专知会员服务
35+阅读 · 2020年5月1日
【斯坦福大学-论文】实体上下文关系路径的知识图谱补全
【MIT深度学习课程】深度序列建模,Deep Sequence Modeling
专知会员服务
78+阅读 · 2020年2月3日
近期必读的12篇KDD 2019【图神经网络(GNN)】相关论文
专知会员服务
63+阅读 · 2020年1月10日
必读的7篇IJCAI 2019【图神经网络(GNN)】相关论文-Part2
专知会员服务
62+阅读 · 2020年1月10日
六篇 EMNLP 2019【图神经网络(GNN)+NLP】相关论文
专知会员服务
72+阅读 · 2019年11月3日
【论文笔记】基于LSTM的问答对排序
专知
12+阅读 · 2019年9月7日
论文浅尝 | 基于复杂查询图编码的知识库问答
开放知识图谱
17+阅读 · 2019年7月22日
论文浅尝 | 基于知识库的神经网络问题生成方法
开放知识图谱
19+阅读 · 2019年6月21日
动态记忆网络:向通用NLP更近一步
AI前线
4+阅读 · 2019年5月16日
论文浅尝 | 使用循环神经网络的联合事件抽取
开放知识图谱
25+阅读 · 2019年4月28日
用Python实现CNN长短期记忆网络!
全球人工智能
9+阅读 · 2017年8月22日
Arxiv
6+阅读 · 2019年9月25日
Arxiv
6+阅读 · 2019年7月11日
Universal Transformers
Arxiv
5+阅读 · 2019年3月5日
Music Transformer
Arxiv
5+阅读 · 2018年12月12日
Arxiv
14+阅读 · 2018年5月15日
Arxiv
11+阅读 · 2018年2月4日
Arxiv
4+阅读 · 2017年7月25日
Arxiv
4+阅读 · 2015年8月25日
VIP会员
最新内容
ICML 2026 | 理解上下文持续学习中的泛化与遗忘
专知会员服务
1+阅读 · 今天15:53
Agent Harness综述:大模型智能体执行器工程全景
专知会员服务
1+阅读 · 今天15:04
马赛克防御与分布式指挥:伊朗的回击(中文版)
《基于理论的威慑效能评估》
专知会员服务
3+阅读 · 今天14:48
ICML2026 | 重新思考顺序知识编辑中的正则化
专知会员服务
7+阅读 · 5月27日
《用于兵力发展选项优先排序的成本效益模型》
专知会员服务
11+阅读 · 5月27日
AutoResearch AI综述:迈向AI驱动的科学发现自动化
专知会员服务
10+阅读 · 5月26日
《Palantir边缘人工智能》手册
专知会员服务
25+阅读 · 5月26日
相关VIP内容
【ICML2020-西电】用于语言生成的递归层次主题引导RNN
专知会员服务
22+阅读 · 2020年6月30日
【ACL2020-复旦大学NLP】异构图神经网络的文档摘要提取
专知会员服务
35+阅读 · 2020年5月1日
【斯坦福大学-论文】实体上下文关系路径的知识图谱补全
【MIT深度学习课程】深度序列建模,Deep Sequence Modeling
专知会员服务
78+阅读 · 2020年2月3日
近期必读的12篇KDD 2019【图神经网络(GNN)】相关论文
专知会员服务
63+阅读 · 2020年1月10日
必读的7篇IJCAI 2019【图神经网络(GNN)】相关论文-Part2
专知会员服务
62+阅读 · 2020年1月10日
六篇 EMNLP 2019【图神经网络(GNN)+NLP】相关论文
专知会员服务
72+阅读 · 2019年11月3日
相关资讯
【论文笔记】基于LSTM的问答对排序
专知
12+阅读 · 2019年9月7日
论文浅尝 | 基于复杂查询图编码的知识库问答
开放知识图谱
17+阅读 · 2019年7月22日
论文浅尝 | 基于知识库的神经网络问题生成方法
开放知识图谱
19+阅读 · 2019年6月21日
动态记忆网络:向通用NLP更近一步
AI前线
4+阅读 · 2019年5月16日
论文浅尝 | 使用循环神经网络的联合事件抽取
开放知识图谱
25+阅读 · 2019年4月28日
用Python实现CNN长短期记忆网络!
全球人工智能
9+阅读 · 2017年8月22日
相关论文
Arxiv
6+阅读 · 2019年9月25日
Arxiv
6+阅读 · 2019年7月11日
Universal Transformers
Arxiv
5+阅读 · 2019年3月5日
Music Transformer
Arxiv
5+阅读 · 2018年12月12日
Arxiv
14+阅读 · 2018年5月15日
Arxiv
11+阅读 · 2018年2月4日
Arxiv
4+阅读 · 2017年7月25日
Arxiv
4+阅读 · 2015年8月25日
Top
微信扫码咨询专知VIP会员