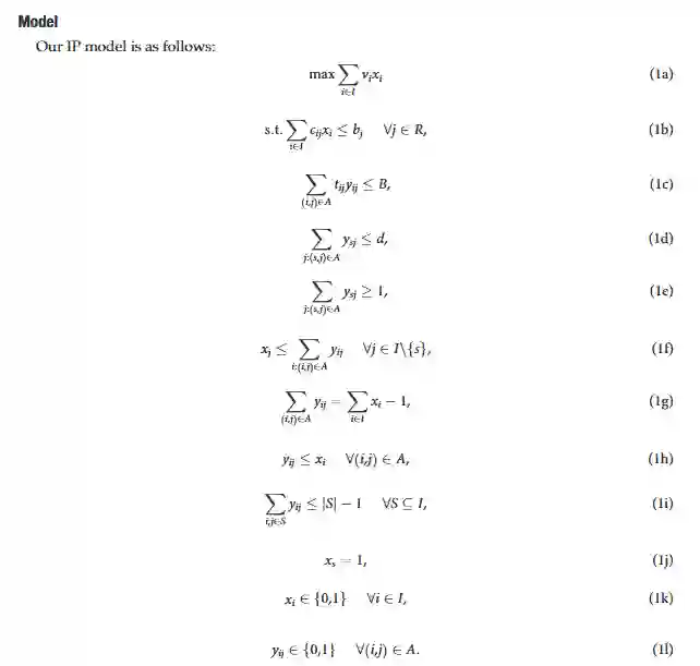
当面临使用有限资源占领一条岛屿链的任务时,军事领导者必须决定如何分配这些资源,以使若干目标的某种组合实现最大化。据所知,此前尚未有尝试利用网络优化和/或整数规划对此类决策进行建模。因此,将此问题建模为一个整数规划问题,其中资源和地理条件构成约束。此外,引入了一种新颖的建模与分析框架,用于研究目标在经济、军事和政治议程间变化时解的变异性,并利用该框架在一个现实案例中考察该整数规划模型的鲁棒性。

外国军事力量在附近岛屿的存在可以起到威慑作用,或以其他方式影响国家间关系。将这种价值本质上定义为“政治”价值。注意到,若无全部适当信息,这种价值可能难以量化。因此,在整项工作中,并不提供计算此种价值的分析。相反,在方法中保留了灵活性,以便领域专家和决策者可以使用最适合其应用的数值。自然,占领和据守岛屿,会带来相应的成本。在预算有限的情况下,确定一个最优的占领策略以满足一组目标已具挑战性,更遑论满足数个相互竞争的目标(例如,经济、军事和政治)。因此,考虑的问题是:如何使用和部署有限资源,以占领一条岛屿链的某部分,从而使所占岛屿的总价值最大化。此外,被占领的岛屿集合必须全部通过一条从资源出发地到该岛、由其他被占领岛屿构成的有向路径相互连接。这确保了为安全、防御和补给之目的,部署到每个被占领岛屿的资源必须源自某个资源出发地,并能通过一条补给线与资源来源地保持连通。

解决此问题的模型并非旨在夺取已被敌对国家占领的岛屿。相反,它是一种用于占领盟国和/或无主岛屿位置的数学方法,以限制对手的夺取和占领。为了通过一个现实案例研究来说明方法,使用了当前一个热点争议岛屿链。

本文为针对此问题的决策提供了新颖的计算方法。贡献如下。首先,构建了一个整数规划模型来解决此问题,其目标函数由若干更简单目标函数的线性组合构成,每个简单目标函数分别对应于三个基本议程之一:经济、军事和政治。作为其中的一小部分,展示了沃罗诺伊图在确定经济价值方面的作用。第二个贡献具有更广泛的价值,即提供了一个用于考虑模型变体的建模与分析框架,既用于说明模型的鲁棒性,也因为此类分析可能对现实中面临竞争性议程选择的决策者有用。这最后的贡献绝不仅限于军事占领岛屿链的背景。事实上,每当一组具有不同议程的决策者试图就一项可通过计算确定的决策达成共识时,此框架都能提供价值。

成为VIP会员查看完整内容
1

相关内容

人工智能在军事中可用于多项任务,例如目标识别、大数据处理、作战系统、网络安全、后勤运输、战争医疗、威胁和安全监测以及战斗模拟和训练。
微信扫码咨询专知VIP会员