npj: 相稳定性预测—看看熵的脸色

2018 年 9 月 11 日 知社学术圈

海归学者发起的公益学术平台

分享信息,整合资源

交流学术,偶尔风月

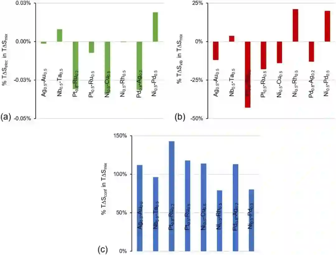
高熵合金含有多种元素而且比例很大,容易导致相分离,通常具有浅混合焓和相似级别的熵。因此,合金的相稳定性既取决于混合焓又取决于混合熵,必须等量齐观地了解它们各自对合金热力学性质的贡献,才能预测合金的稳定性。

来自美国怀俄明大学的Dilpuneet Aidhy教授等,采用密度泛函理论计算,检测了不同类型的熵在7种具有浅混合焓的二元金属合金中的贡献。他们发现依靠混合焓来预测固溶体稳定性是不准的。就各种熵来说,电子熵与振动熵和位形熵相比,贡献很小,对任何合金的相稳定性没有显著贡献;位形熵能够稳定固溶体;振动熵却在不同合金系统中表现出不同作用,或促进或破坏固溶体的稳定性。振动熵是衡量原子键柔软度的指标,研究它在不同体系中的变化方式,可能有助于我们更好地预测单相多组分合金的稳定性。据此他们认为,与有序金属间化合物不同,高熵合金的稳定性需要综合考虑各种熵的贡献。


该文近期发表于npj Computational Materials 4: 47 (2018) ,英文标题与摘要如下,点击左下角“阅读原文”可以自由获取论文PDF。



Entropy contributions to phase stability in binary random solid solutions 


Anus Manzoor, Shubham Pandey, Debajit Chakraborty, Simon R. Phillpot & Dilpuneet S. Aidhy 


High entropy alloys contain multiple elements in large proportions that make them prone to phase separation. These alloys generally have shallow enthalpy of mixing which makes the entropy contributions of similar magnitude. As a result, the phase stability of these alloys is equally dependent on enthalpy and entropy of mixing and understanding the individual contribution of thermodynamic properties is critical. In the overall vision of designing high entropy alloys, in this work, using density functional theory calculations, we elucidate the contributions of various entropies, i.e., vibrational, electronic and configurational towards the phase stability of binary alloys. We show that the contribution of electronic entropy is very small compared to the vibrational and configurational entropies, and does not play a significant role in the phase stability of alloys. The configurational and vibrational entropies can either destabilize or can collectively contribute to stabilize the solid solutions. As a result, even those systems that have negative mixing enthalpy can show phase instability, revealed as a miscibility gap; conversely, systems with positive mixing enthalpy can be phase stable due to entropic contributions. We suggest that including entropic contributions are critical in the development of theoretical framework for the computational prediction of stable, single-phase high entropy alloys that have shallow mixing enthalpies, unlike ordered intermetallics.



扩展阅读

 

npj: 状态方程哪个好,密度泛函去寻找

npj: 基于结构描述符机器学习

npj: 双金属核壳纳米粒子—热载流子光催化计算设计

npj: 机器学习-数据驱动:裂缝扩展的微机械变量识别
npj: 机器学习添视觉—材料缺陷快分析

本文系网易新闻·网易号“各有态度”特色内容

媒体转载联系授权请看下方

登录查看更多
1

相关内容

深度学习算法与架构回顾
专知会员服务
84+阅读 · 2019年10月20日
强化学习最新教程,17页pdf
专知会员服务
182+阅读 · 2019年10月11日
机器学习入门的经验与建议
专知会员服务
94+阅读 · 2019年10月10日
MIT新书《强化学习与最优控制》
专知会员服务
282+阅读 · 2019年10月9日
LibRec 精选:你见过最有趣的论文标题是什么?
LibRec智能推荐
4+阅读 · 2019年11月6日
智能配用电大数据分析-概率性负荷预测
NE电气
5+阅读 · 2019年7月5日
提高GAN训练稳定性的9大tricks
人工智能前沿讲习班
13+阅读 · 2019年3月19日
人工智能 | 国际会议信息10条
Call4Papers
5+阅读 · 2018年12月18日
npj: 机器学习添视觉—材料缺陷快分析
知社学术圈
6+阅读 · 2018年8月18日
BAT题库 | 机器学习面试1000题系列(第226~230题)
七月在线实验室
9+阅读 · 2017年11月27日
【推荐】决策树/随机森林深入解析
机器学习研究会
5+阅读 · 2017年9月21日
【推荐】SVM实例教程
机器学习研究会
17+阅读 · 2017年8月26日
回归预测&时间序列预测
GBASE数据工程部数据团队
44+阅读 · 2017年5月17日
Arxiv
7+阅读 · 2018年12月26日
Arxiv
7+阅读 · 2018年11月6日
Arxiv
8+阅读 · 2018年5月21日
Arxiv
8+阅读 · 2018年5月15日
Arxiv
6+阅读 · 2018年4月23日
Arxiv
3+阅读 · 2018年2月24日
VIP会员
最新内容
《人工智能赋能电磁战》(报告)
专知会员服务
2+阅读 · 4月17日
【CMU博士论文】迈向可扩展的开放世界三维感知
前馈式三维场景建模
专知会员服务
1+阅读 · 4月17日
(译文)认知战:以士兵为目标,塑造战略
专知会员服务
3+阅读 · 4月17日
相关资讯
LibRec 精选:你见过最有趣的论文标题是什么?
LibRec智能推荐
4+阅读 · 2019年11月6日
智能配用电大数据分析-概率性负荷预测
NE电气
5+阅读 · 2019年7月5日
提高GAN训练稳定性的9大tricks
人工智能前沿讲习班
13+阅读 · 2019年3月19日
人工智能 | 国际会议信息10条
Call4Papers
5+阅读 · 2018年12月18日
npj: 机器学习添视觉—材料缺陷快分析
知社学术圈
6+阅读 · 2018年8月18日
BAT题库 | 机器学习面试1000题系列(第226~230题)
七月在线实验室
9+阅读 · 2017年11月27日
【推荐】决策树/随机森林深入解析
机器学习研究会
5+阅读 · 2017年9月21日
【推荐】SVM实例教程
机器学习研究会
17+阅读 · 2017年8月26日
回归预测&时间序列预测
GBASE数据工程部数据团队
44+阅读 · 2017年5月17日
相关论文
Top
微信扫码咨询专知VIP会员