图表示学习起源: 从Word2vec到DeepWalk

2020 年 3 月 24 日 图与推荐

本文介绍的是2014年的一篇文章《DeepWalk: Online Learning of Social Representations》,附个链接https://arxiv.org/pdf/1403.6652.pdf,这是NLP中的表示学习算法第一次被引入到图结构当中。如标题,本文先来介绍Word2vec的基本知识,再来介绍下如何利用Word2vec来表示图结构。

一、Skip-Gram

一般提到word2vec有两种算法,cbow和Skip-Gram,相对来说Skip-Gram更为常用。目标是通过训练,用向量embedding来表示词,向量embedding中包含了词的语义和语法信息。

统计语言模型需要计算出一句话在词袋空间中出现的概率,通常的优化目标是最大化概率

。w表示词袋中的单词,序号表示了词在句子中的顺序关系,但是这个目标实现起来比较困难。

Skip-Gram放宽了限制,做了一些调整。1)不再用句子中前面的词来预测下一个词,而是用当前词去预测句子中周围的词;2)周围的词包括当前词的左右两侧的词;3)丢掉了词序信息,并且在预测周围词的时候,不考虑与当前词的距离。优化目标是最大化同一个句子中同时出现的词的共现概率,优化目标如公式(1)所示,其中k表示滑窗大小。

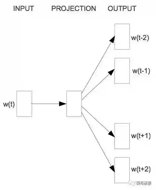
Skip-Gram的模型结构如下图所示,在整个词袋vocabulary中预测上下文词,在输出端需要做一个|V|维度的分类,|V|表示词袋vocabulary中词的数量。每一次迭代计算量非常庞大,这是不可行的。为了解决这个问题,采用了Hierarchical Softmax分类算法。

img

Hierarchical Softmax

如下图所示,构建一个二叉树,每一个词或者分类结果都分布在二叉树的叶子节点上,在做实际分类的时候,从根节点一直走到对应的叶子节点,在每一个节点都做一个二分类。假设这是一颗均衡二叉树,并且词袋的大小是|V|,那么从根走到叶子节点只需要进行 次计算,远远小于|V|的计算量。

img

具体如何计算?我们以上图中用 预测 为例进行介绍。树的根部输入的是 的向量,用 表示。在二叉树的每一个节点上都存放一个向量,需要通过学习得到,最后的叶子节点上没有向量。显而易见,整棵树共有|V|个向量。规定在第k层的节点做分类时,节点左子树为正类别,节点右子树是负类别,该节点的向量用 表示。那么正负类的分数如公式(2)(3)所示。在预测的时候,需要按照蓝色箭头的方向做分类,第0层分类结果是负类,第1层分类结果是正类,第2层分类结果是正类,最后到达叶子节点 。最后把所有节点的分类分数累乘起来,作为 预测 的概率,如公式(4)所示,并通过反向传播进行优化。

Huffman编码是一种熵编码方式,对于出现频率高的符号用较短的编码表示,出现频率较低的符号用较长的编码表示,从而达到编码压缩的目的。Hierarchical Softmax树也可以采用Huffman编码的方式生成,高频词用较短的路径到达,低频词用较长的路径到达,可以进一步降低整个训练过程的计算量。

顺便提一句,如果输出端是对所有词的softmax分类的话,那么在Skip-gram模型中,分别有输入和输出两个矩阵,一般是采用输出矩阵作为表示向量。但是如果采用Hierarchical Softmax分类的话,输出端就不存在输出矩阵了,就只能采用输入矩阵作为表示向量了。

二、DeepWalk

DeepWalk的思路很简单,将随机游走产生的序列当做句子,输入给skip-gram算法,从而得到节点的向量表示,具体算法过程如下图所示。其中,G表示表示网络,包括节点V和边E, [公式] 表示要随机游走的轮数,t表示每一次随机游走的长度。第1步是初始化节点的表示向量,第2步构建Hierarchical Softmax Tree,第5步表示对所有的节点,都要作为起点随机游走一次,第6步表示从 节点出发,随机游走t步得到序列 ,第7步表示将序列 进行SkipGram的训练。

img

前文提到过,Skip-Gram丢掉了句子中的词序信息,以及词与词之间的距离信息,这也适合网络表示学习,丢掉随机游走的顺序信息能够灵活地捕获节点之间的邻近关系。另外,如果两个节点具有相同的邻域,Skip-Gram学习出来的表示向量接近或者相似,有利于在下游任务上取得好的效果。

不管是在NLP中,还是在graph中,学习到的向量只是中间结果,用于作为下游任务的输入。例如在图中对节点做多标签分类任务时,第一步先通过DeepWalk进行无监督训练,得到所有节点的特征向量;第二步,通过一些分类器对节点进行分类。不同于传统的方法,DeepWalk将标签和表示空间分割开来,标签和表示向量相互独立,学习到的特征向量可以应用于各种不同的任务。而且试验证明,特征向量和最简单的分类算法相结合,比如逻辑回归,也能获得好的效果。

算法中有一个参数t,是随机游走的步长,即需要限定随机游走的长度,不要过长,有几个好处,1)可以捕获网络中局部区域的结构信息;2)易于实现并行化,多个线程,进程,甚至服务器,可以同时随机游走网络的不同部分,实现分布式计算,这个后边还会再提一下;3)能够适应网络的变化,网络局部发生变化时,可以只对局部网络进行学习和训练,而不需要对整个网络重新学习。

算法变种

1)streaming

训练前看不到整个网络,实时的将游走的序列丢到网络中进行训练。这对于构建hierarchical Softmax Tree比较麻烦,如果能够事先知道有多少个节点,以及节点的出现频率,就可以事先构建一个Huffman二叉树。否则的话,每次新遇到一个节点,将节点加到二叉树的叶子节点中。

2)Non-Random Walks

用户在访问某些网站的时候,可能会受到网站的引导而进行一些操作,因此访问过程可能并不随机,不过这并没有关系。对这些非随机的访问过程的训练,使得算法可以学习到网络的结构信息,以及访问路径的频次情况。

良好的可伸缩性

DeepWalk具有良好的可伸缩性,可以多台机器同时训练网络的不同部分。而且节点的出现频次符合指数分布,大部分低频节点都分布在长尾。多台机机器同时训练也不太会发生冲突,文中提出可以采用异步的随机梯度下降(ASGD)。下图中左边表示训练时间和机器数量的关系,服务器增加,训练时间也线性减少;右边表示服务器数量和效果的关系,随着服务器增加,训练出来的模型效果几乎没什么变化。

效果评估

为了衡量DeepWalk的效果,作者在3组数据上进行了测试,包括Blogcatalog,Flickr,Youtube。数据集中包含用户,用户间的关系,以及兴趣标签或者用户组标签。

整个流程应该是两阶段任务。第一阶段,在整个网络结构上做无监督训练,得到网络中每个节点的向量。第二阶段,根据已有的向量,划分一部分节点并给出标签作为训练集,剩下的节点作为测试集,训练一个分类器,预测测试集上的标签。

作者用 做指标。分类器采用逻辑回归做one-vs-rest的分类,用的是LibLinear这个库。参数

从实验结果来看,大部分情况下DeepWalk都要优于传统算法。在达到相同的效果时,DeepWalk 相比传统算法所需要的有标签训练数据更少。在大规模网络上,有些传统算法已经跑不动了,DeepWalk也有不错的表现。

附录:

介绍文中用于评估的几个指标:

(1)

(2)

在多标签分类任务中,计算全部类别的所有样本的precision和recall,并且带入上面公式中计算得到Micro-F1,样本数量较多的类别可能会对指标影响较大。

3)

在多标签分类任务中,对每个类别i分别计算 ,然后对所有类别求平均,如下公式所示,其中n表示类别的个数。每个类别的样本数量无论多少,在指标中都有相同的权重,因此即便是某些类别中样本数量较少,对于指标也有相当的影响。

更多关于图神经网络/图表示学习/推荐系统, 欢迎关注我的公众号 【图与推荐】


登录查看更多
0

相关内容

DeepWalk是最早提出的基于 Word2vec 的节点向量化模型。其主要思路,就是利用构造节点在网络上的随机游走路径,来模仿文本生成的过程,提供一个节点序列,然后用Skip-gram和Hierarchical Softmax模型对随机游走序列中每个局部窗口内的节点对进行概率建模,最大化随机游走序列的似然概率,并使用最终随机梯度下降学习参数。
【ICML2020】持续图神经网络,Continuous Graph Neural Networks
专知会员服务
151+阅读 · 2020年6月28日
【KDD2020-清华大学】图对比编码的图神经网络预训练
专知会员服务
46+阅读 · 2020年6月18日
最新《动态网络嵌入》综述论文,25页pdf
专知会员服务
138+阅读 · 2020年6月17日
注意力图神经网络的多标签文本分类
专知会员服务
112+阅读 · 2020年3月28日
【图神经网络(GNN)结构化数据分析】
专知会员服务
117+阅读 · 2020年3月22日
图机器学习 2.2-2.4 Properties of Networks, Random Graph
图与推荐
10+阅读 · 2020年3月28日
一文读懂图卷积GCN
计算机视觉life
21+阅读 · 2019年12月21日
面试题:Word2Vec中为什么使用负采样?
七月在线实验室
46+阅读 · 2019年5月16日
图嵌入(Graph embedding)综述
人工智能前沿讲习班
449+阅读 · 2019年4月30日
网络表示学习介绍
人工智能前沿讲习班
18+阅读 · 2018年11月26日
不懂 word2vec,还敢说自己是做 NLP 的?
AI研习社
8+阅读 · 2018年5月4日
干货|自然语言处理中的词向量 — word2vec!
全球人工智能
7+阅读 · 2018年1月25日
基础|Word2vec的原理介绍
全球人工智能
10+阅读 · 2018年1月4日
图上的归纳表示学习
科技创新与创业
23+阅读 · 2017年11月9日
Heterogeneous Deep Graph Infomax
Arxiv
12+阅读 · 2019年11月19日
Deep Graph Infomax
Arxiv
17+阅读 · 2018年12月21日
Arxiv
7+阅读 · 2018年8月28日
Meta-Learning with Latent Embedding Optimization
Arxiv
6+阅读 · 2018年7月16日
Arxiv
8+阅读 · 2014年6月27日
VIP会员
最新内容
美陆军设想无人系统司令部
专知会员服务
2+阅读 · 今天13:45
【博士论文】已对齐人工智能系统的持久脆弱性
专知会员服务
0+阅读 · 今天13:52
扭曲还是编造?视频大语言模型幻觉研究综述
专知会员服务
0+阅读 · 今天13:41
《采用系统思维应对混合战争》125页
专知会员服务
2+阅读 · 今天12:47
战争机器学习:数据生态系统构建(155页)
专知会员服务
6+阅读 · 今天8:10
内省扩散语言模型
专知会员服务
6+阅读 · 4月14日
国外反无人机系统与技术动态
专知会员服务
4+阅读 · 4月14日
相关VIP内容
【ICML2020】持续图神经网络,Continuous Graph Neural Networks
专知会员服务
151+阅读 · 2020年6月28日
【KDD2020-清华大学】图对比编码的图神经网络预训练
专知会员服务
46+阅读 · 2020年6月18日
最新《动态网络嵌入》综述论文,25页pdf
专知会员服务
138+阅读 · 2020年6月17日
注意力图神经网络的多标签文本分类
专知会员服务
112+阅读 · 2020年3月28日
【图神经网络(GNN)结构化数据分析】
专知会员服务
117+阅读 · 2020年3月22日
相关资讯
图机器学习 2.2-2.4 Properties of Networks, Random Graph
图与推荐
10+阅读 · 2020年3月28日
一文读懂图卷积GCN
计算机视觉life
21+阅读 · 2019年12月21日
面试题:Word2Vec中为什么使用负采样?
七月在线实验室
46+阅读 · 2019年5月16日
图嵌入(Graph embedding)综述
人工智能前沿讲习班
449+阅读 · 2019年4月30日
网络表示学习介绍
人工智能前沿讲习班
18+阅读 · 2018年11月26日
不懂 word2vec,还敢说自己是做 NLP 的?
AI研习社
8+阅读 · 2018年5月4日
干货|自然语言处理中的词向量 — word2vec!
全球人工智能
7+阅读 · 2018年1月25日
基础|Word2vec的原理介绍
全球人工智能
10+阅读 · 2018年1月4日
图上的归纳表示学习
科技创新与创业
23+阅读 · 2017年11月9日
相关论文
Heterogeneous Deep Graph Infomax
Arxiv
12+阅读 · 2019年11月19日
Deep Graph Infomax
Arxiv
17+阅读 · 2018年12月21日
Arxiv
7+阅读 · 2018年8月28日
Meta-Learning with Latent Embedding Optimization
Arxiv
6+阅读 · 2018年7月16日
Arxiv
8+阅读 · 2014年6月27日
Top
微信扫码咨询专知VIP会员