【偏导数】图解高等数学-下 11

2017 年 12 月 28 日 遇见数学 李想

11.3 偏导数

对于多元函数, 当我们把一个自变量固定, 对另一个变量求导, 这样就是求偏导. 现在来看下偏导数的定义以及如何计算.

二元函数的偏导数

如果  ( x 0 , y 0 )  是函数 f(x,y) 定义域中的一点, 固定平面  y= y 0  割曲面 z=f(x,y) 得到曲线  z=f(x, y 0 )  (如下图红色曲线所示).

在点  ( x 0 , y 0 )  对于 y 的偏导数定义类似 f 对于 x 的偏导数. 现在只是把 x 固定在  x 0  的值, 而取计算  f( x 0 ,y)  在  y 0  对 y 的普通导数. 请看下面的动画:

多于二元的函数

更多元的函数偏导数类似二元函数定义, 只是对某一个变量求导, 而其余自变量为常数.

偏导数和连续性

一元函数导数即意味着连续, 但二元函数 f(x,y) 不同, 在一个点不连续, 但对 x 和 y 可以求偏导.

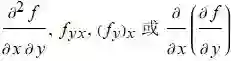
二阶偏导数

二阶导数就是对函数求导两次, 但注意求导次序如果是先对y 求偏导, 再对 x 求偏导应该这样的写法:

混合求导

在计算二阶混合导数时候, 可以按任意次序微分.

可微性 Differentiability

如果  f x ( x 0 , y 0 )  和  f y ( x 0 , y 0 )  存在, 并且[EmptyUpTriangle]z 满足下面的等式:

其中当  ( Δ x, Δ y) (0,0)  时  ( ϵ 1 , ϵ 2 ) (0,0)  , 则函数 z=f(x,y) 是在  ( x 0 , y 0 )  点可微的.

如果它在定义域内的每个点都是可微的, 则说 f 是可微的.

多元函数偏导存在且连续推出函数可微, 但反之不成立, 这点与一元函数不同.(完)

「予人玫瑰, 手留余香」

转发既是支持, 我们会努力走得更远! 

登录查看更多
1

相关内容

通常认为,高等数学是由微积分学,较深入的代数学、几何学以及它们之间的交叉内容所形成的一门基础学科。
最新《自动微分手册》77页pdf
专知会员服务
104+阅读 · 2020年6月6日
机器学习速查手册,135页pdf
专知会员服务
345+阅读 · 2020年3月15日
专知会员服务
162+阅读 · 2020年1月16日
机器学习领域必知必会的12种概率分布(附Python代码实现)
算法与数学之美
21+阅读 · 2019年10月18日
博客 | MIT—线性代数(下)
AI研习社
6+阅读 · 2018年12月20日
博客 | 机器学习中的数学基础(凸优化)
AI研习社
14+阅读 · 2018年12月16日
已删除
将门创投
5+阅读 · 2018年7月25日
谷歌官方:反向传播算法图解
新智元
9+阅读 · 2018年6月29日
【干货】理解深度学习中的矩阵运算
专知
12+阅读 · 2018年2月12日
机器之心最干的文章:机器学习中的矩阵、向量求导
深度学习世界
12+阅读 · 2018年2月7日
图解高等数学|线性代数
遇见数学
39+阅读 · 2017年10月18日
机器学习(19)之支持向量回归机
机器学习算法与Python学习
12+阅读 · 2017年10月3日
机器学习(13)之最大熵模型详解
机器学习算法与Python学习
7+阅读 · 2017年8月24日
Generating Fact Checking Explanations
Arxiv
9+阅读 · 2020年4月13日
Arxiv
27+阅读 · 2019年11月24日
Bivariate Beta LSTM
Arxiv
6+阅读 · 2019年10月7日
Arxiv
12+阅读 · 2018年1月12日
Arxiv
3+阅读 · 2017年12月18日
VIP会员
最新内容
《第四代军事特种作战部队选拔与评估》
专知会员服务
0+阅读 · 今天6:23
不对称优势上升:自主系统如何强化海上拒止
专知会员服务
0+阅读 · 今天5:51
《人工智能赋能电磁战》(报告)
专知会员服务
2+阅读 · 4月17日
【CMU博士论文】迈向可扩展的开放世界三维感知
相关资讯
机器学习领域必知必会的12种概率分布(附Python代码实现)
算法与数学之美
21+阅读 · 2019年10月18日
博客 | MIT—线性代数(下)
AI研习社
6+阅读 · 2018年12月20日
博客 | 机器学习中的数学基础(凸优化)
AI研习社
14+阅读 · 2018年12月16日
已删除
将门创投
5+阅读 · 2018年7月25日
谷歌官方:反向传播算法图解
新智元
9+阅读 · 2018年6月29日
【干货】理解深度学习中的矩阵运算
专知
12+阅读 · 2018年2月12日
机器之心最干的文章:机器学习中的矩阵、向量求导
深度学习世界
12+阅读 · 2018年2月7日
图解高等数学|线性代数
遇见数学
39+阅读 · 2017年10月18日
机器学习(19)之支持向量回归机
机器学习算法与Python学习
12+阅读 · 2017年10月3日
机器学习(13)之最大熵模型详解
机器学习算法与Python学习
7+阅读 · 2017年8月24日
相关论文
Generating Fact Checking Explanations
Arxiv
9+阅读 · 2020年4月13日
Arxiv
27+阅读 · 2019年11月24日
Bivariate Beta LSTM
Arxiv
6+阅读 · 2019年10月7日
Arxiv
12+阅读 · 2018年1月12日
Arxiv
3+阅读 · 2017年12月18日
Top
微信扫码咨询专知VIP会员