黎曼猜想证明了?Michael Atiyah 的愚人节难道在 9 月吗……

2018 年 9 月 25 日 AI科技评论

AI 科技评论按:这个中秋,关心学术的小伙伴们看到的最多的消息大概就是英国数学家 Michael Atiyah 爵士宣布自己证明了黎曼猜想。如果这是真的,Atiyah 爵士将不仅获得由克雷数学研究所悬赏的一百万美金奖励,更是他个人的至高荣誉和整个数学界的狂欢。

然而,根据我们目前的了解,Atiyah 爵士极有可能是在自娱自乐逗大家玩……

黎曼函数和黎曼猜想简介

大家这几天应该被动恶补了不少黎曼函数和黎曼猜想的介绍了,这里 AI 科技评论还是不厌其烦地再简单说下。

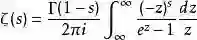
首先有无穷级数  ζ(s) 

当 s 取 1 时,它就是调和级数 1+1/2+1/3+1/4+...,算数意义上不收敛。s = 2 时,级数收敛于 π2/6。等等。当 s 的取值为复数 s=x+iy 时,它会把复平面上的点 s(x,iy) 映射到另一点 s'(x',iy')。我们注意到这个级数要求 s 的实部大于 1(x>1),否则这个级数不收敛,也就没有我们熟悉的数值和结果。

 ζ(s) 在复平面上的图像,Re(s) >1,此时图像全部分布在 Re(ρ)=1/2 线的右侧。图源 3blue1brown

黎曼函数是 ζ(s) 在整个复平面的解析延拓,将 s 的定义域扩展到整个复平面。

黎曼函数在整个复平面上的图像。图源 3blue1brown

黎曼在提出黎曼函数时轻松地发现,当 s 取负偶数整数时,函数值为零,那么 s=-2n(n为自然数)就被称为黎曼函数的平凡零点(平凡表示没什么难度的、很容易理解的)。(同时,在解析延拓后的方程中带入 s=-1,得到 1+2+3+4+... = -1/12;带入 s=-3,得到 1+23+33+43+... = 1/120。这样的结果并不是我们熟悉的 1+1=2 那样的算数和,它只是揭示了等号左边和右边的式子有某种我们还不完全理解的联系)

另一些零点就没那么普通了(非平凡零点),它们是复数,而且有耐人寻味的分布规律。黎曼在 1859 年《论小于给定数值的素数个数》论文中谨慎地提出了三个命题:

  • 命题一,认为非平凡零点都位于 Re(ρ)=0 到 Re(ρ)=1 的条状区间内

  • 命题二,认为几乎所有非平凡零点都位于 Re(ρ)=1/2 的直线上,这条线也被称为临界线

  • 命题三,黎曼谨慎地猜测有可能所有非平凡零点都位于 Re(ρ)=1/2 的直线上

Re(ρ)=1/2 经黎曼函数变换后的曲线的一部分。它弯弯曲曲无数次穿过了函数值为 0 的点 —— 通过图像我们也可以直观猜测黎曼函数有无穷多个非平凡零点在 Re(ρ)=1/2 的直线上。图源 3blue1brown

大家应该还听说过黎曼函数揭示了素数的精细分布规律,限于学识这里暂不介绍,有兴趣的同学欢迎自行百度卢昌海的《黎曼猜想漫谈》。

黎曼猜想证明的进度

黎曼的这篇论文发表于 1859 年。当时的数学家不怎么喜欢发论文,他们发表的成果只是自己所有研究中的经过深思熟虑、有充足的论据支撑的一小部分。黎曼在当时也是领先于时代的数学家,以致于他的论文发表后,当时的许多数学家连他提出的命题一和二都认为只是黎曼的单方面幻想(黎曼在文中则是由非常肯定的语气提出的)。由于黎曼猜想的难度之高,数学界做出进展的速度极为迟缓,甚至有观点认为「如果黎曼是错的,我们的日子反倒会好过一些」。论文发表 46 年后,数学界终于证明了命题一;73 年后,另一位德国数学家 Siegel 整理黎曼仅存的手稿,让黎曼当时演算零点所用的公式重见天日(并命名为 Riemann-Siegel 公式),同时震惊了整个数学界,因为这一公式比 73 年后数学家们所用的公式还要先进;数学界也更加为黎曼的思想以及猜想的前瞻性所折服。

借着这一公式,后来的数学家与计算机科学家们用计算的方法加以验证,已经验证了超过前 200 亿个非平凡零点都在临界线上——但数学毕竟不是经验科学,这并不能证明第三个命题正确。第二个命题(几乎都位于临界线上)的证明则推进到「至少有 40% 的非平凡零点在临界线上」,就再也没有新的进展了。黎曼猜想,尤其是命题三,仍未得到证明。

一窥前 15 个非平凡零点

回过头来想想黎曼给出三个命题时的态度,对命题一、二,是十分肯定的预期;而命题三,他也只敢谨慎地猜测。

160 年过去了,数学家们几乎都相信黎曼猜想是正确的,但还没有人拿出严格的证明。对于黎曼猜想,数学界有两句调侃:「如果魔鬼与一位数学家做交易,允许他用灵魂交换一个命题的证明,那他大概率会选择黎曼猜想的证明」,以及「如果 500 年后黎曼活过来了,他要问的第一件事就是『黎曼猜想证明了吗?』」足见黎曼猜想的崇高地位。实际上,数学界已经有许多新的理论和公式是建立在假设黎曼猜想正确的基础上的,黎曼猜想一旦证明也是对他们的莫大的鼓舞。

当今的数学家们直觉上就不相信 Michael Atiyah 爵士

经过刚才的背景介绍,大家想必对黎曼猜想证明的难度已经有所感受。简单明了的证明方法如果存在,之前一百多年中的数学家,包括极具远见的黎曼本人都有极大的可能直接发现它。以近几十年来证明的重要数学猜想而言,Perelman 证明 Poincare 猜想,三篇论文用了将近 70 页,而张益唐在给出孪生质数猜想的估计时也写了将近 60 页。

而 Atiyah 爵士展现出来的是:一篇长度为 5 页的论文预印本,其中引用的介绍 Todd 函数的论文也只有 17 页。以及,介绍自己证明过程的演讲中,关于证明过程本身的 PPT 只有一页。

Atiyah 爵士演讲中用到的一页 PPT

只凭证明长度, Atiyah 爵士就收获了大多数数学家的质疑。

另一点也引起了直觉上的质疑的是,出生于 1929 年的 Atiyah 爵士如今已经 89 岁高龄。纵观整个数学史,尚无一位数学家在如此高龄做出这种级别的成果。且 Atiyah 爵士虽然证明了 Atiyah-Singer 指标定理(被誉为上个世纪微分几何中最重要的定理)并获得了菲尔兹奖与阿贝尔奖,但一方面他是研究几何/解析几何的,黎曼猜想则属于复分析与数论,处于不同的数学领域;另一方面,据数学博士、前浙大物理学博士后 @贼叉(新浪微博)回忆,「老头在几年前嚷嚷着自己证明了 6 维球面上没有复结构最后却不了了之」,他认为这次宣告的大新闻可能仍然是闹笑话。(宣告大新闻在如今的数学界也不是稀罕事,前几日尼日利亚一位数学教授也宣布证明了黎曼猜想,浙江大学一位 YinYue Sha 发布了一份一页长度的黎曼猜想证明,而日本数学教授望月新一宣告证明 ABC 猜想直到现在也尚未令人信服)

这不是一份严谨的证明

除了直觉上对「Atiyah 爵士证明了黎曼猜想」的质疑,针对证明过程本身合理性的质疑也已经出现 —— 这才是真正致命的。

根据 @贼叉 介绍,阅读 5 页的预印本以及 17 页的介绍 Todd 函数的引用论文后,他表示:

事实上,老头证明的关键就是在于使用了一个他称之为弱解析函数的 Todd 函数。

我们 follow 了他参考文献中的第二篇论文:THE FINE STRUCTURE CONSTANT,粗粗读完论文之后,我感觉:

这哪儿是论文啊,这就是一部数学史啊!

在整个 17 页的论文中,涉及到 Todd 映射的核心内容在 3.4。从 Todd 映射的构造来看,这是一个从复数到复数的映射,并且是个高度的非线性映射。

他给出了一个希尔伯特空间上的 Clifford 代数的无限张量积的弱闭包,这个弱闭包取自两个希尔伯特空间的张量积。这个希尔伯特空间上的 Clifford 代数的迹诱导出了闭包上的迹,这个闭包的中心通过两个同构映射的复合能和复数域同构,这样就完成了 Todd 映射的构造。

后面又介绍了 Todd 多项式的构造。

但是怎么利用 Todd 映射和 Todd 多项式呢?

反正我是没找到。

看到前面这一堆术语,估计已经有人想打我了,我就打个比方吧。

说:理论上青铜能做工艺品,你给我做个后母戊方鼎。

工具?略

怎么做?略

。。。

老头大概就是玩了这么个把戏。

他把为什么 Todd 映射能够用于黎曼猜想的证明给。。。略了,我只能表示哭笑不得。

数学是一门及其注重严谨性的学科,推理过程的每一步都要给出严谨的证明,尤其不能越重要的地方越略过。在 @贼叉 看来,这个证明九成九是不行的……

另一位科学松鼠会的 @科普君XueShu(新浪微博) 也给出了自己的意见。根据他的解读,Atiyah 爵士假定他提出的这个弱解析函数 Todd 函数的某种极限等同于物理学中精细结构常数 α 的倒数,相当于尝试用这一描述光速、单个电子携带电荷数量、普朗克常数之间关系的物理学常数的取值解释复解析函数的非平凡零点的存在规律。虽然精细结构常数 α 确实有奇妙的性质,比如它的取值不依赖基本单位大小的选取,而且目前也没有找到对它的取值 1/137.03599913 的好的理论解释,另一方面之前也在其他问题中存在物理学方法和纯数学方法存在联系的例子,但这种跨领域的强加联系,未免带来一种「用量子纠缠得出小孩感冒了可以针灸扎他妈妈」的民科感。

@科普君XueShu 还补充道:

「(精细物理常数)上个世纪刚发现的时候,很多物理学家都想从数学角度给出一个解释和推导,但后来种种证据表明这个想法完全不靠谱,早已经被扔进了历史的垃圾堆,虽然目前依然是民科们放飞自我的重灾区。

没想到这次又被Atiyah给翻出来了,还作为一个著名数学猜想证明的重要基础。 

其实这也倒不奇怪,因为Atiyah本人是晚年才开始正式学习物理的,他的物理直觉是臭名昭著得差。他经常突发奇想自以为发现了解决某个物理学问题的关键,从物理学家的角度看,跟网上常见的民科言论基本没什么差别。但凡有点物理学素养的人都能看出其中的荒谬。不过作为他的学生的著名理论物理学家兼数学家爱德华威腾倒是每次都细心地列出一堆理由告诉他为什么这些想法行不通。每条理由都直击要害,奈何Atiyah至今仍执迷不悟。」

「数学大帝」丘成桐今天也在「数理人文」公众号发表原创文章表示:「我问过一批专家,大家都说这篇文章没有提供一般数学家要求的严格性的定理证明.……阿蒂亚教授的论点极为牵强,看不到它的物理或数学上的意义。……有时候不完备的证明也会带有启发能力,但是我还没有看到这篇文章的启发能力。」

几乎确定的闹剧

说到这里,我们几乎已经可以确定 Atiyah 爵士并没能证明黎曼猜想,还惦记着那一百万美金奖励的同学可以先喘口气了。但除了吃瓜和感到滑稽之外,相信很多同学都借机重新温习了复分析和级数的知识(比 AI 科技评论的编辑们自己),也对数学领域内许多有趣的方法和猜想有了新的认识;最棒的情况当然是重新发现学习数学的乐趣了。

Atiyah 爵士的名誉倒是不需要我们担忧,他凭现有的成果和奖项就可以继续名垂青史。而我们继续一边重新学习数学,一边期待真正严谨的、经得起检验的黎曼猜想证明出现。

文末推荐两个关于黎曼函数的科普读物:

  • 数学科普媒体 3Blue1Brown 的黎曼猜想介绍视频:https://www.bilibili.com/video/av8726217 

  • 卢昌海《黎曼猜想漫谈》系列博客。

登录查看更多
0

相关内容

数学家是以研究或应用数学为职业的人。著名数学家有阿基米德、欧拉、高斯、伽罗华、黎曼、格罗腾迪克等。
非凸优化与统计学,89页ppt,普林斯顿Yuxin Chen博士
专知会员服务
104+阅读 · 2020年6月28日
最新《自动微分手册》77页pdf
专知会员服务
104+阅读 · 2020年6月6日
【BAAI|2019】用深度学习模拟原子间势,王涵  (附pdf)
专知会员服务
18+阅读 · 2019年11月21日
合集 | 更好的解释(数学篇) 1~12
遇见数学
31+阅读 · 2018年10月11日
【机器学习数学基础】动图解释泰勒级数(一)
机器学习研究会
6+阅读 · 2018年2月25日
Adam那么棒,为什么还对SGD念念不忘 (2)
AI研习社
3+阅读 · 2018年1月1日
EM算法是炼金术吗?
新智元
6+阅读 · 2017年12月22日
【直观详解】信息熵、交叉熵和相对熵
机器学习研究会
10+阅读 · 2017年11月7日
GAN完整理论推导、证明与实现(附代码)
数据派THU
5+阅读 · 2017年10月6日
酒鬼漫步的数学——随机过程 | 张天蓉专栏
知识分子
10+阅读 · 2017年8月13日
Bivariate Beta LSTM
Arxiv
6+阅读 · 2019年10月7日
Arxiv
3+阅读 · 2018年4月18日
Arxiv
8+阅读 · 2018年4月8日
VIP会员
最新内容
人工智能在战场行动中的演进及伊朗案例
专知会员服务
2+阅读 · 今天13:08
美AI公司Anthropic推出网络安全模型“Mythos”
专知会员服务
2+阅读 · 今天12:58
【博士论文】面向城市环境的可解释计算机视觉
专知会员服务
0+阅读 · 今天12:57
大语言模型的自改进机制:技术综述与未来展望
专知会员服务
0+阅读 · 今天12:50
《第四代军事特种作战部队选拔与评估》
专知会员服务
1+阅读 · 今天6:23
相关VIP内容
非凸优化与统计学,89页ppt,普林斯顿Yuxin Chen博士
专知会员服务
104+阅读 · 2020年6月28日
最新《自动微分手册》77页pdf
专知会员服务
104+阅读 · 2020年6月6日
【BAAI|2019】用深度学习模拟原子间势,王涵  (附pdf)
专知会员服务
18+阅读 · 2019年11月21日
相关资讯
合集 | 更好的解释(数学篇) 1~12
遇见数学
31+阅读 · 2018年10月11日
【机器学习数学基础】动图解释泰勒级数(一)
机器学习研究会
6+阅读 · 2018年2月25日
Adam那么棒,为什么还对SGD念念不忘 (2)
AI研习社
3+阅读 · 2018年1月1日
EM算法是炼金术吗?
新智元
6+阅读 · 2017年12月22日
【直观详解】信息熵、交叉熵和相对熵
机器学习研究会
10+阅读 · 2017年11月7日
GAN完整理论推导、证明与实现(附代码)
数据派THU
5+阅读 · 2017年10月6日
酒鬼漫步的数学——随机过程 | 张天蓉专栏
知识分子
10+阅读 · 2017年8月13日
Top
微信扫码咨询专知VIP会员