【独家重磅】来自华尔街的量化金融面试Q&A(第二期)

2018 年 7 月 1 日 量化投资与机器学习


量化投资与机器学习

在QI的道路上,你不是一个人战斗!

 

量化投资与机器学习微信公众号从今日起,将定期推送至少200期以上华尔街量化金融面试Q&A所有题目均来自国外高质量的面试宝典,我们做了精心的翻译和解读。这些面试题目涉及Quantitative Finance的所有方面,超级全面!


*此内容对那些想从事量化方面的求职者和相关行业人员都有一定的借鉴意义。我们希望大家通过阅读此系列的文章对其在职业发展上有一定的帮助,我们会感到十分很欣慰。



往期传送门

第一期


Questions6

如果一只股票每年连续复利收益率的标准差是10%,那么连续复利4年股票收益率的标准差是多少?


学习新单词:

1、continuously compounded(连续复利)

2、standard deviation(标准差)


Answer6

假设连续复利收益率遵循布朗运动算法,收益的方差与复利计算期呈线性增长。这是因为随机游走中的连续回报是有限的。而独立随机变量喝的方差的和就是方差的和。这意味着4年的 σ2 等于1年 σ2 的4倍。因此,4年的 σ 是1年 σ 的2倍,因此,答案就是20%。



Questions7

从利率的期限结构来看,5年即期利率为每年10%,10年即期利率为每年15%。那么从第5年到第10年的隐含远期收益率是多少?


学习新单词:

1、term-structure(期限结构)

2、interest rate(利率)

3、spot rate(即期汇率)

4、implied forward rate(隐含远期收益率)


Answer7

这是一道经典的期限结构的题目。你的脑海里第一反应应该是如下的思想:前五年的利率和后五年的利率必须是平均的,这样才能给出整个10年的利率。也就是说,10%的平均值和未知的远期利率必须是15%。未知的必须是20%。要快速计算出来,请注意,未知(20%)远高于平均值(15%)低于已知(10%)。


事实上,如果你要具体计算出来,远期利率是:


补充:

即期利率是债券票面所标明的利率或购买债券时所获得的折价收益与债券当前价格的比率。是某一给定时点上无息证券的到期收益率。


远期利率是隐含在给定的即期利率中从未来的某一时点到另一时点的利率水平。确定了收益率曲线后,所有的远期利率都可以根据收益率曲线上的即期利率求得,远期利率是和收益率曲线紧密相连的。在现代金融分析中,远期利率应用广泛。它们可以预示市场对未来利率走势的期望,是中央银行制定和执行货币政策的参考工具。在成熟市场中几乎所有利率衍生品的定价都依赖于远期利率。



Questions8

请详细解释说明债券的“yield”和“rate of return”的区别。


Answer8

债券的“yield”是“internal rate of return”或“yield-to-maturity”或“promised- yield”。如果你持有债券到期,那就是你的收入。


债券的“rate of return”是已实现现金流的内部收益率对持有者,如果债券在到期日之前出售,(已实现的)“rate of return”可以为正,可以为负。


假设你购买了一份promised 5%的债券如果你卖掉该债券,你的资本将受损失并且得到一个负的“rate of return”。然而,如果你持有债券直至到期,你将会得到promised 5%。



Questions9

什么是混沌理论?可以用它来预测股票收益率吗?如果可以,请说明为什么?


学习新单词:

1、chaos theory(混沌理论)


Answer9

第一问:大家可以百度出很多内容,这里不过多陈述。


第二问:如果你想预测股票收益率,建议你使用神经网络或者其他非线性模型。混论理论在自然科学中是伟大的,但它在金融中却是失败的。



Questions10

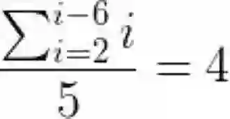
两个玩一个游戏,甲掷骰子除了1以外的数字第一次出现时,乙付给甲对应数字的钱数,游戏结束。那么这个游戏的期望回报是多少?


Answer10

这是一道最基本的题目。这个游戏的规则已经将1从样本空间中移除,因此,可能有5种结果(2到6),每种结果的可能性都是相等的。则

 


Questions11

Python中单下划线和双下划线分别是什么?


Answer11

1、__name__:一种约定,Python内部的名字,用来与用户自定义的名字区分开,防止冲突。


2_name:一种约定,用来指定变量私有。


3、__name:解释器用_classname__name来代替这个名字用以区别和其他类相同的命名。


延伸:

https://segmentfault.com/a/1190000002611411



Questions12

样本方差的分母为什么是n-1,而不是n?


Answer12

我们看了很多网上的答案,决定选取知乎上2位作者的回答,因为这2个回答有严格的公式证明,说的也很本质。直接贴出来:


作者:魏天闻


公式推导

作者:茉茉

如果你想获取更多干货、课程、福利。请在后台查看。


知识在于分享

在量化投资的道路上

你不是一个人在战斗

登录查看更多
1

相关内容

【2020新书】实战R语言4,323页pdf
专知会员服务
103+阅读 · 2020年7月1日
最新《自动微分手册》77页pdf
专知会员服务
104+阅读 · 2020年6月6日
2020年中国《知识图谱》行业研究报告,45页ppt
专知会员服务
241+阅读 · 2020年4月18日
【2020新书】数据科学:十大Python项目,247页pdf
专知会员服务
216+阅读 · 2020年2月21日
专知会员服务
119+阅读 · 2019年12月24日
2019中国硬科技发展白皮书 193页
专知会员服务
86+阅读 · 2019年12月13日
2019年药品零售行业全景图
行业研究报告
31+阅读 · 2019年9月18日
医药零售行业报告
医谷
9+阅读 · 2019年7月8日
量化交易系列课程
平均机器
11+阅读 · 2019年5月9日
金融风控面试十二问
七月在线实验室
20+阅读 · 2019年4月9日
刘强东人设崩了,京东没崩
PingWest品玩
6+阅读 · 2018年11月20日
【全职&实习- 上海】量化岗位招聘公告
量化投资与机器学习
4+阅读 · 2018年7月3日
人工智能时代的量化投资策略
七月在线实验室
8+阅读 · 2017年12月19日
广州“自然语言处理与知识图谱”精品小班特训营
炼数成金订阅号
3+阅读 · 2017年11月22日
BAT机器学习面试1000题系列(第51~55题)
七月在线实验室
10+阅读 · 2017年10月8日
Few-shot Learning: A Survey
Arxiv
363+阅读 · 2019年4月10日
Arxiv
6+阅读 · 2018年10月3日
Rapid Customization for Event Extraction
Arxiv
7+阅读 · 2018年9月20日
Arxiv
23+阅读 · 2018年8月3日
Arxiv
7+阅读 · 2018年1月10日
VIP会员
最新内容
基于数据优化的人机协同与机器人僚机
专知会员服务
4+阅读 · 今天2:08
美陆军设想无人系统司令部
专知会员服务
3+阅读 · 4月15日
【博士论文】已对齐人工智能系统的持久脆弱性
扭曲还是编造?视频大语言模型幻觉研究综述
专知会员服务
5+阅读 · 4月15日
相关VIP内容
【2020新书】实战R语言4,323页pdf
专知会员服务
103+阅读 · 2020年7月1日
最新《自动微分手册》77页pdf
专知会员服务
104+阅读 · 2020年6月6日
2020年中国《知识图谱》行业研究报告,45页ppt
专知会员服务
241+阅读 · 2020年4月18日
【2020新书】数据科学:十大Python项目,247页pdf
专知会员服务
216+阅读 · 2020年2月21日
专知会员服务
119+阅读 · 2019年12月24日
2019中国硬科技发展白皮书 193页
专知会员服务
86+阅读 · 2019年12月13日
相关资讯
2019年药品零售行业全景图
行业研究报告
31+阅读 · 2019年9月18日
医药零售行业报告
医谷
9+阅读 · 2019年7月8日
量化交易系列课程
平均机器
11+阅读 · 2019年5月9日
金融风控面试十二问
七月在线实验室
20+阅读 · 2019年4月9日
刘强东人设崩了,京东没崩
PingWest品玩
6+阅读 · 2018年11月20日
【全职&实习- 上海】量化岗位招聘公告
量化投资与机器学习
4+阅读 · 2018年7月3日
人工智能时代的量化投资策略
七月在线实验室
8+阅读 · 2017年12月19日
广州“自然语言处理与知识图谱”精品小班特训营
炼数成金订阅号
3+阅读 · 2017年11月22日
BAT机器学习面试1000题系列(第51~55题)
七月在线实验室
10+阅读 · 2017年10月8日
相关论文
Few-shot Learning: A Survey
Arxiv
363+阅读 · 2019年4月10日
Arxiv
6+阅读 · 2018年10月3日
Rapid Customization for Event Extraction
Arxiv
7+阅读 · 2018年9月20日
Arxiv
23+阅读 · 2018年8月3日
Arxiv
7+阅读 · 2018年1月10日
Top
微信扫码咨询专知VIP会员