基于业绩持续性的基金聚类分析

2017 年 7 月 17 日 私募工场

公告声明:

私募工场(ID:simugongchang):两万多实名注册会员,三百多家深度尽调私募,历经两年多实盘业绩跟踪,每日净值数据分析,关键点变盘持仓数据解析,上百家精选私募证券投资机构,值得每一位高净值投资者信赖。主要为资金方提供资产配置服务,投顾筛选尽职调查服务,包括定制化私募基金产品设计、私募基金产品分析、私募投资策略分析、基金产品业绩归因、投顾业绩调查等。

私募工场:专业才是匠心

业绩鉴定:guo5_guoguo

投顾\资金:[email protected]

认购咨询:15034081448



引言

我们对基金业绩进行评价的前提是对基金进行正确、合理的分类,使对基金的评价建立在公平 、公正的基础之上。


目前我国在基金分类方面还是众说纷纭,基金监管部门也尚未出台一种广泛适用的分类方法。一些常用的基金分类方法如下表所示:


从上表可以看出,现有的分类方法大多是从基金性质特点出发的主观分类方法,无法反映出各基金的运作效果 。对于投资者来说,他们更关心一种能够反映基金业绩好坏的分类方法,类似于股市中蓝筹股 、绩优股的涵义 。显然,现有分类方法无法满足这种需求。


鉴于此,本文采用聚类的思想,从基金业绩持续性的角度提出一种能够客观反映基金运作情况的分类方法;基于业绩持续性的基金聚类 。该方法在对基金历史业绩进行评价的基础上,产生基金的业绩持续性聚类,从而达到对基金进行分类的目的 。


业绩持续性的聚类分析

所谓基金业绩的持续性是指前期业绩较好的基金在未来一段时间内的业绩也会相对较好 ,而前期业绩较差的基金在未来一段时间内的业绩也会相对较差的现象, 也就是人们常说的“强者恒强, 弱者恒弱 ”。


根据定义,如果投资者能够识别前期业绩表现较好的 、且具有业绩持续性的基金 ,则可以对这些基金进行投资 ,并持有相应的时间, 从而可以获取超过平均水平的超额收益。


基金是定期公布净值的,因此可以将证券投资基金的连续运作过程人为的分为不同时段, 每个时段视为一期 。这样基金在不同时段的业绩就具有了持续性标准,即上期的盈利状态能否延续到以后各期。


我们选取了19支债券基金2016年1月1日至6月30日的累计净值(前复权,周频数),离散化为6个评价期间。其整体收益与风险如下:


接下来对其业绩持续性进行分析,具体的步骤如下:

(1)计算基金i在第j个月的平均收益率(%);

(2)计算各月基金收益率的平均值(%);

通过以上的两步骤,得到19支债券基金2016年1月1日至6月30日的统计结果如下图:


(3)比较各基金收益率与当月基金收益率的大小,大于月均收益率的定义为H,反之定义为L,从而确定基金持续性标度;


(4)定义基金的初始业绩持续指数为“H的频数/6(评价区间个数)”;


(5)将初始业绩指数赋予不同的权重,权重取为连续出现H的个数,比如:2只基金 A、B 在 5个时期内的业绩持续性表现,如果基金 A 的业绩表现是 LHHHH,基金 B 的业绩表现是 HLHHH, 按照上述计算方法 , 二者的初始业绩持续指数相同 ,均为 πA=πB=0. 8,但显然它们的业绩持续性不同 ,按照常规看法应该认为基金 A 的表现比基金 B 好。


(6)对初始指数进行权重调整,得到最终的业绩持续指数如下表:


(7) 对最终业绩持续指数进行聚类,得到下图:


(8)根据业绩持续指数的最大、最小值将区间三等分 , 分别定义为低持续性、中持续性与高持续性,则可以对各基金进行业绩持续性分类,结果如下 :


结果分析

由于我们对是在年化收益率排名前100的债券型基金产品中随机选取的19只基金产品,总体业绩持续性较高。结合基金产品的其他指标发现该分类方法是有效的。


本文基于业绩持续性的基金聚类摒弃了传统的主观分类方法, 以基金自身的业绩持续性表现为依据形成“自然类 ”,使投资者可以准确的了解各基金的历史运作情况 , 为投资者的决策提供了客观的依据。


参考文献
[1]时希杰,吴育华,李亚瑞. 基于业绩持续性的证券投资基金聚类与实证研究[J].数理统计与管理,2005,04:66-69+117.
[2]宋光辉,李晓钊. 开放式基金投资评判中的聚类分析[J].财会月刊,2013,24:50-53.
[3]张慧. 聚类分析在投资基金分类中的运用[J].经济管理,2002,07:83-85.
[4]周焯华,陈文南,张宗益. 聚类分析在证券投资中的应用[J].重庆大学学报(自然科学版),2002,07:122-126

[5]李敏,何理. 聚类分析在证券投资基本分析中的应用[J].辽宁师范大学学报(自然科学版),2006,02:145-146.


投资者在选择基金这类组合投资工具时很大程度上是在对基金经理人进行选择,所以最关心两大问题:基金经理人能否稳定持续地“战胜”市场;如果可以,如何及时发现这些经理人。


一种解决方法是对基金过往绩效进行分析。一些数据服务公司便提供了这些基金相关信息:收益率、波动率、资产规模、流动性等在内的海量数据,如国外的Morningstar、HFR,国内的私募云通、私募排排、朝阳永续等。借鉴信用评级的原则,有些公司基于过往表现对这些基金也进行了评级。


信用评级一般公认有很长的持续性,AAA级往往能长达10年。那么基金评级能像信用评级一样可靠吗?关注私募工场ID:simugongchang,加私募工场老板娘微信guo5_guoguo。换句话说,基金过往绩效是否像信用一样具有稳定的持续性,能否作为预测未来的标准?学界和业界对此莫衷一是,今天我们就这一问题进行分析。


Morningstar的评级方法


分析基金评级的可靠性(即业绩持续性)首先要了解评级方法,这里我们以Morningstar的评级系统为例。投资者在基金投资策略等方面千差万别,但几乎都运用了基金评级系统。在众多评级机构中Morningstar脱颖而出,早在1985年共同基金就已按照著名的Morningstar stars进行排名。


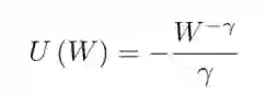
Morningstar评级系统在1985年构建,基于风险调整后收益(risk-adjusted performance measure, RAPM)对系统内基金从一星到五星评级。它首先构建出一个效用函数:

代表投资者财富,是衡量投资者风险厌恶程度的参数。显而易见随着增长,效用也在增长;效用函数对求导后亦证随着风险厌恶程度加大,效用在减少。

我们定义为基金月频超额收益率,那么确定性等价的超额收益率表述为:

上式带入到效用函数中解得:

为了证明确定性等价超额收益率能够很好地衡量风险调整后收益,我们对上式进行泰勒展开:

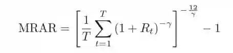
我们发现,展开式第一项代表是收益率R的增函数,第二项代表其是刻画收益波动情况即风险的的减函数,这符合我们对风险调整后收益的认知。定义为Morningstar风险调整后收益(Morningstar tisk-adjusted return, MRAR),那么的估计由下式给出:

其中是观察期数,是基金月频超额收益率,的经验赋值为2.系统内基金评级就按照计算出的MRAR五分位数划分,前10%评为五星,接下来22.5%为四星,随后35%为三星,之后22.5%为二星,最后10%标记为一星。


在对Morningstar基金评级系统由总体的认识后,我们利用该系统2000-2009年部分基金数据来实证研究业绩持续性问题。在马尔科夫链(Markov chain)框架下对基金评级建模,估计概率转移矩阵(transition probability matrix)并给出业绩持续性。


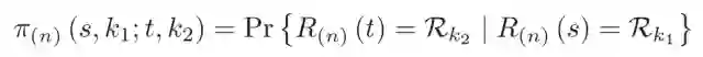
概率转移矩阵原理


定义为基金评级从时间的状态到时间的状态的概率,数学表达式为:

假设马氏链是齐次的,定义是从起始时间0到终止时间t的转移矩阵。利用2000-2009年部分欧洲共同基金评级数据,我们对每一基金类别下的基金观察其月频评级情况,利用最大似然估计计算出月频转移矩阵.


实证研究



表1是欧洲混合股权基金的一月期转移矩阵。NR代表由于近期成立或已经死亡导致的未评级基金。该表行名代表初始状态的基金评级,列名代表观察期结束时基金评级。“83.87”表示一个五星评级的基金在一个月后有83.87%的概率继续保持五星,而有15.49%.可以看到概率主要集中在主对角线上,表示一个月内基金能保持较稳定的评级。



利用相同的方法我们得到一年期和两年期的概率转移矩阵,如表2和表3所示。发现基金在一年和两年后仍维持初始评级的概率已经很低。


概率转移矩阵给出了所有评级的信息,我们这里只关注五星基金的转移情况。假设基金n在初始状态评级为五星,它保持五星的生存函数由下式给出:

将Europe、US、EM三只股权基金数据带入,表4给出了这三只初始状态五星评级的基金在不同期限上的生存情况:


如表所示,基金在一个月后维持五星评级的概率约为85%,三月后降为60%,半年后40%,一年后已经小于25%。

我们用债券基金数据进行实证研究,得到了相似的结果.


测算评级持续性

前面我们给出如何计算基金评级的概率转移矩阵,接下来我们继续研究在此基础上怎样测算基金评级的持续性。


首先定义为基金保持初始状态评级与过渡到其它评级的概率差值,数学表达如下:


显然当时,当t趋于无穷大时逼近,以欧洲混合股权基金为例,其各评级的函数如图1所示,可以看作前述概率转移矩阵的拟合:


随后我们提出本文一个重点概念——持续性。我们定义一只基金的评级持续性为从初始评级起到其维持原评级与过渡到其它评级的概率相等时止这段时间。数学表达式如下: 


在图1中表示持续性既为从1降为0的t范围。以部分基金为例,得到评级持续性如图2所示。我们发现两点:五星评级基金的持续性较低,集中在4、5个月,如欧洲混合股权基金为4.2个月,欧元多元化基金为4.7个月;同时并不是评级越高持续性越好,部分基金表现出三星评级比五星评级更稳定。

我们随后将基金评级持续性表现与信用评级对比,如图3所示。两者最大的区别是信用评级的持续性比基金大得多,信用AAA评级往往长达三年以上。


结论


回到我们最先关注的问题:基金评级能像信用评级一样可靠吗?基金过往绩效是否像信用一样具有稳定的持续性,能否作为预测未来的标准?我们在马氏链框架下,利用概率转移矩阵对Morningstar部分评级基金进行实证研究,计算评级的持续性。发现基于过往信息既风险调整后收益得到的基金评级持续性较差,五星评级往往只能持续4-5个月,相比信用评级长达10年的持续性而言,Morningstar的基金评级能为投资者提供的价值信息极为有限,基于该评级的预测也难以令人信服。


关于晨星中国私募基金评价体系不足之处的几点思考:

1.只是对经理人的评级,而且不具有前瞻性。而且不对偏债券类型私募基金的评级。

2.是一种静态建模,建模过程中对过去业绩的权重没有衰减,晨星评级的结论仅仅基于对基金历史业绩的描述,基金的评级高只能表明基金过去业绩不错,但它并不是基金未来业绩良好的保证,而且不具有前瞻性。

3.衡量风险的指标太少,而且风险厌恶系数不具有时变性。

4.没有考虑到基金经理的更换,投资组合的变动。也没有考虑到基金经理自身的特性,比如从业年限,有无出国经历,性别等等。

5.不能反映星级评价背后收益率的正负。

6.没有私募基金经理产品投资风格评价,持仓分析和回撤分析(风控能力指标体系)。

7.没有充分考虑基金规模,流动性和基金治理结构的影响。

8.晨星的基金评级不能说明基金的超常收益来源于何处。

9. 基于效用函数理论的晨星基金评级有两大硬伤:

①晨星评级缺乏优良的统计特性,而且没能捕捉到投资者的偏好;②晨星没有考虑基金之间的关系,而这恰恰是决定一只基金是否纳入投资者原有资产组合的重要因素,也就是说晨星基金评级适合于投资者只购买一只基金的情形。

10.忽略了很多与基金相关的重要信息定性因素比如基金经理的替换、基金规模、基金的费用、基金的投资组合和基金公司的文化等等。


来源:财富管理私享会

·END·


私募工场


扫码立即关注私募工场

扫码快速注册会员



资金方扫码快速入驻私募工场


投顾扫码快速入驻私募工场


微信号:私募工场

登录查看更多
6

相关内容

聚类分析(Clustering)是无监督学习的一种,目的是将一组数据点分类,但没有训练数据集,区别于有监督的分类分析(Classification)。
基于深度学习的表面缺陷检测方法综述
专知会员服务
95+阅读 · 2020年5月31日
基于深度学习的手语识别综述
专知会员服务
47+阅读 · 2020年5月18日
最新《智能交通系统的深度强化学习》综述论文,22页pdf
基于视觉的三维重建关键技术研究综述
专知会员服务
166+阅读 · 2020年5月1日
【综述】交通流量预测,附15页论文下载
专知会员服务
132+阅读 · 2020年4月23日
专知会员服务
29+阅读 · 2020年3月6日
【德勤】中国人工智能产业白皮书,68页pdf
专知会员服务
311+阅读 · 2019年12月23日
【综述】视频摘要最新综述文章,附45页综述全文下载
专知会员服务
34+阅读 · 2019年9月20日
北京市通勤出行特征与典型区域分析
智能交通技术
29+阅读 · 2019年7月19日
2018年物业管理行业深度研究报告
行业研究报告
7+阅读 · 2019年5月17日
2019中国家政服务行业发展剖析及行业投资机遇分析报告
金融风控背后的技术综述
七月在线实验室
45+阅读 · 2019年2月28日
重磅!2019中国经济研判,涉及20个敏感问题…
笔记侠
10+阅读 · 2019年2月17日
2018年中国供应链金融行业研究报告
艾瑞咨询
7+阅读 · 2018年11月20日
IDG资本杨飞:从价值投资谈2017中国现象
IDG资本
4+阅读 · 2017年12月22日
Arxiv
6+阅读 · 2018年8月27日
Arxiv
25+阅读 · 2018年1月24日
Arxiv
3+阅读 · 2015年5月16日
Arxiv
8+阅读 · 2014年6月27日
VIP会员
最新内容
人工智能在战场行动中的演进及伊朗案例
专知会员服务
6+阅读 · 4月18日
美AI公司Anthropic推出网络安全模型“Mythos”
专知会员服务
4+阅读 · 4月18日
【博士论文】面向城市环境的可解释计算机视觉
大语言模型的自改进机制:技术综述与未来展望
《第四代军事特种作战部队选拔与评估》
专知会员服务
3+阅读 · 4月18日
相关VIP内容
基于深度学习的表面缺陷检测方法综述
专知会员服务
95+阅读 · 2020年5月31日
基于深度学习的手语识别综述
专知会员服务
47+阅读 · 2020年5月18日
最新《智能交通系统的深度强化学习》综述论文,22页pdf
基于视觉的三维重建关键技术研究综述
专知会员服务
166+阅读 · 2020年5月1日
【综述】交通流量预测,附15页论文下载
专知会员服务
132+阅读 · 2020年4月23日
专知会员服务
29+阅读 · 2020年3月6日
【德勤】中国人工智能产业白皮书,68页pdf
专知会员服务
311+阅读 · 2019年12月23日
【综述】视频摘要最新综述文章,附45页综述全文下载
专知会员服务
34+阅读 · 2019年9月20日
相关资讯
北京市通勤出行特征与典型区域分析
智能交通技术
29+阅读 · 2019年7月19日
2018年物业管理行业深度研究报告
行业研究报告
7+阅读 · 2019年5月17日
2019中国家政服务行业发展剖析及行业投资机遇分析报告
金融风控背后的技术综述
七月在线实验室
45+阅读 · 2019年2月28日
重磅!2019中国经济研判,涉及20个敏感问题…
笔记侠
10+阅读 · 2019年2月17日
2018年中国供应链金融行业研究报告
艾瑞咨询
7+阅读 · 2018年11月20日
IDG资本杨飞:从价值投资谈2017中国现象
IDG资本
4+阅读 · 2017年12月22日
Top
微信扫码咨询专知VIP会员