干货 | 2019 Kaggle Freesound 音频标注挑战赛结果出炉,这是一份排名前 2 %的解决方案!

2019 年 7 月 1 日 AI科技评论

AI 科技评论按:日前,2019 年 Kaggle Freesound 音频标注挑战赛宣告完结,比赛结果也终于出炉。参赛者之一 Eric BOUTEILLON 是全球无缝支付解决方案提供商银捷尼科集团(Ingenico Group)的一位产品负责人,他提交的解决方案在本次比赛中进入前 2% 排名,取得了第 8 名的成绩,日前,他将解决方案分享在了 Github 上,详细地介绍了该方案的复现步骤。

挑战赛排名结果查看地址:

https://www.kaggle.com/c/freesound-audio-tagging-2019/leaderboard


本开源库的出发点

本开源库提供了一个用于创建高效音频标注系统的半监督预热管道,以及面向作者命名为 SpecMix 的多标签音频标注的一种新的数据增强技术。

在提交给 2019 年 Kaggle freesound 音频标注挑战赛的音频标注系统中,我们应用了这些新技术。该挑战赛是声学场景和事件检测和分类挑战(DCASE 2019)的第二项任务挑战,目标包括使用在少量可靠、手动标注的数据以及拥有大规模词汇设置的多标签音频标注任务中的大量噪声网络音频数据上训练的机器学习技术,来为每一测试帧预测音频标签。


TL;DR – 给我代码!

在挑战赛的公共排行榜上,该解决方案通过 Jupyter notebooks 运行得到的 lwlrap 值为 0.738,也就是说在本次比赛中排名第 8。

训练 CNN 模型 1:

https://github.com/ebouteillon/freesound-audio-tagging-2019/blob/master/code/training-cnn-model1.ipynb)

训练 VGG16 模型:

https://github.com/ebouteillon/freesound-audio-tagging-2019/blob/master/code/training-vgg16.ipynb

推理内核:

https://github.com/ebouteillon/freesound-audio-tagging-2019/blob/master/code/inference-kernel.ipynb

你还可以在公开的 Kaggle 数据集中找到 CNN-model-1 和 VGG-16 训练的权重结果。需要注意的是,因为配额原因,作者没有使用  git-lfs 将这些权重结果存储下来。


安装

该挑战赛要求参赛者在 Kaggle 内核中执行推理而不改变其配置。因此,参赛者在比赛期间使用与 Kaggle 内核配置相同版本的 pytorch 和 fastai 来加载本地生成的 CNN 权重是非常重要的。因此,参赛者选择使用 pytorch 1.0.1 和 fastai 1.0.51 非常重要。

安装方法 1:使用原作者的方法

要获得与我的本地系统相同的配置,需在 GNU Linux Ubuntu 18.04.2 LTS 上测试以下步骤:

1、克隆这个开源库:

git clone https://github.com/ebouteillon/freesound-audio-tagging-2019.git

2、安装 anaconda3:

https://docs.anaconda.com/anaconda/install/

3、输入 linux 终端:

conda create --name freesound --file spec-file.txt

现在你已经准备好了!

注意:我的配置已经安装了 CUDA 10,所以你可能必须根据自己在 spec-file.txt 中的配置调整 pytorch 和 cudatoolkit 的版本。

安装方法 2 :使用 conda 推荐的软件包

这个方法不能保证获得与作者相同的配置,因为 conda 可能会更新安装包。

1、克隆这个开源库:

git clone https://github.com/ebouteillon/freesound-audio-tagging-2019.git

2、安装 anaconda3

3、输入 linux 终端:

conda update condaconda create -n freesound python=3.7 anacondaconda activate freesoundconda install numpy pandas scipy scikit-learn matplotlib tqdm seaborn pytorch==1.0.1 torchvision cudatoolkit=10.0 fastai==1.0.51 -c pytorch -c fastaiconda uninstall --force jpeg libtiff -yconda install -c conda-forge libjpeg-turboCC="cc -mavx2" pip install --no-cache-dir -U --force-reinstall --no-binary :all: --compile pillow-simdconda install -c conda-forge librosa

注意:

  • 我的配置已经安装了 CUDA 10,所以你可能需要根据自己的配置调整 pytorch 和 cudatoolkit 的版本

  • 你获得的提醒可能不一致,因为我们使用的是 libjpeg-turbo

硬件/软件

在挑战赛期间,我使用了如下硬件/软件配置:

  • 英特尔酷睿 i7 4790k

  • 英伟达 RTX 2080 ti

  • 24 GB RAM

  • Ubuntu 18.04.2 LTS

  • 安装的 python 软件包的详细列表,另外在 requirements.txt 和 spec-file.txt 中可以获取 conda(非常必要)。

  • 英伟达驱动程序 418.67, CUDA 10.1, CuDNN 7.3.1


复现结果

1、从 Kaggle 下载数据集:

https://www.kaggle.com/c/freesound-audio-tagging-2019/data

2、(选择项)从 Kaggle 下载我的权重数据集:

https://www.kaggle.com/ebouteillon/freesoundaudiotagging2019ebouteillonsolution

3、解压 input 文件夹解压数据集,使你的环境如下:

── code│   ├── inference-kernel.ipynb│   ├── training-cnn-model1.ipynb│   └── training-vgg16.ipynb├── images│   ├── all_augmentations.png│   └── model-explained.png├── input│   ├── test│   │   └── ...│   ├── train_curated│   │   └── ...│   ├── train_noisy│   │   └── ...│   ├── sample_submission.csv│   ├── train_curated.csv│   ├── train_noisy.csv│   └── keep.txt├── LICENSE├── README.md├── requirements.txt├── spec-file.txt└── weights   ├── cnn-model-1   │   └── work   │       ├── models   │       │   └── keep.txt   │       ├── stage-10_fold-0.pkl   │       ├── ...   │       └── stage-2_fold-9.pkl   └── vgg16       └── work           ├── models           │   └── keep.txt           ├── stage-10_fold-0.pkl           ├── ...           └── stage-2_fold-9.pkl

3、输入命令行:

conda activate freesoundjupyter notebook

打开网页浏览器,然后选择要执行的内容。推荐顺序如下:

  • training-cnn-model1.ipynb(https://github.com/ebouteillon/freesound-audio-tagging-2019/blob/master/code/training-cnn-model1.ipynb)

  • training-vgg16.ipynb(https://github.com/ebouteillon/freesound-audio-tagging-2019/blob/master/code/training-vgg16.ipynb)

  • inference-kernel.ipynb(https://github.com/ebouteillon/freesound-audio-tagging-2019/blob/master/code/inference-kernel.ipynb)

祝你愉快!

注意:

  • 首先运行 training-*.ipynb,训练其中一个模型。😄

  • 在 CNN 模型训练中,将创建一个 work 文件夹和一个 PREPROCESSED 文件夹,你可能想要更改它们的位置:这与更新 work 和 PREPROCESSED 变量一样简单。

  • 如果你想在本地设置中与推理笔记一同使用给定的(或你自己得到的)权重,只需更新 models_list所指向的文件夹路径。我保留了在本次挑战赛中 Kaggle 内核所使用的路径。

  • 使用了  Kaggle 数据集和我的权重数据集的推理内核可以直接在  Kaggle  上获取:

    https://www.kaggle.com/ebouteillon/12th-public-lb-inference-kernel-using-fastai


解决方案概述

音频数据预处理

首先对音频片段进行前端和末端静音(阈值为 60 dB)的裁剪,然后以 44.1 kHz 的采样速率、连续帧之间样本的 347 的跃点长度、2560 个 FFT 组件及 20 Hz - 22050 Hz 范围内的频率将音频片段转换成 128 波段的梅尔频谱(mel-spectrogram)。最后是预处理,包括对得到的图像进行正则化(均值=0,方差=1)处理,并将其复制到 3 个通道中。

模型概述

在本节中,我们将所使用的神经网络架构描述为:

  • 版本 1 由表 1 中自定义 CNN「CNN-model-1」和批量归一化的 VGG-16 组成。两者都以同样的方式接受训练。

  • 版本 2 只包含我们自定义的 CNN「CNN-model-1」,定义见表 1。

  • 版本 3 用于评估判别的奖励,该版本的模型与版本 2 相同。

表 1:CNN-model-1。BN 指批量归一化(Batch Normalisation),ReLU 指线性整流函数(Rectified Linear Unit)

数据增强

利用小型训练集的一种重要技术是使用数据增强来扩充该训练集。为此,我们开发了一个名为 SpecMix 的新的数据增强方法。它是对 SpecAugment(见参考文献 1)的扩展,灵感来源于 mixup(见参考文献 2)。

SpecAugment 应用 3 种转换来增强训练样本:时间规整、频率掩蔽和时间掩蔽。

mixup 通过计算两个样本输入与目标的加权平均值来创建虚拟训练示例。

SpecMix

SpecMix 从 SpecAugment 的两个最有效的转换中受到启发,并对它们进行扩展以创建虚拟多标注训练示例:

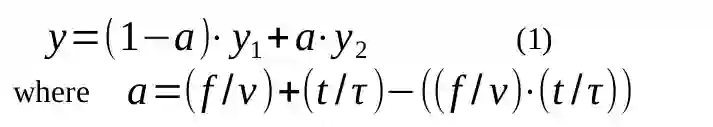
1、使用频率替换(Frequency replacement)的方法,让 f 连续的梅尔频率通道 [f0, f0+f) 由另一个训练样本代替,后者其中的 f 首先从频率掩膜参数 F 的最小化值到最大化值的均匀分布中选取,而 f0 从 [0, ν−f) 中选取,v 表示梅尔频率通道的数量。

2、使用时间替换(Time replacement)的方法,t 连续的时间步长 [t0, t0+t) 由另一个训练样本代替,后者期期中的 t 首先从 0 到时间掩膜参数 T 的均匀分布中选取,而 t0 则从[0, τ−t) 中选取,τ 表示时间样本的数量。

3、计算新训练样本的目标(Target)用作每个原始样本的加权平均权重。每个原始样本的权重与该样本的像素数量成正比。我们在频率替换和时间替换中所采用的替换样本是相同的,这给了我们新的计算目标如下: 

图 1:mixup, SpecAugment 及 SpecMix 对比

其他的数据增强

我们添加了其他的数据增强技术。

  • SpecMix 之前使用 mixup 这一数据增强方法,得到一个小的改进(lwlrap 增加了+0.001)。首先将 mixup 应用于当前的批量处理,从而生成新样本,然后将 SpecMix 应用于这些新创建的样本。最后,将 mixup 和 SpecMix 结合应用到四个样本上,最终生成单个样本。

  • 缩放和裁剪:在 1 到最大值 105 之间的随机缩放,使用 75% 的概率,可以得到一个小的改善(lwlrap 增加了+0.001)。

  • 亮度:使用 75% 的概率来控制随机亮度和对比度的变化。

训练---预热管道

在训练时,我们将随机抽取的样本梅尔频谱中 128 个增强的片段提供给网络批量,并使用 十折交叉验证设置和 fastai 库(见参考文献 4)。

训练分 4 个阶段进行,每个阶段生成一个模型用于以下 3 件事:

  • 为下一阶段的模型训练做 预热

  • 帮助对噪声因素进行半监督选择

  • 参与测试预测(模型 1 除外)

本次比赛很重要的一点是不允许使用外部数据或预先训练的模型。因此,我们下面展示的是本次比赛中仅使用的策展和噪声集:

  • 第 1 阶段:仅使用噪声集从零开始训练模型(model1),然后在噪声集(lwlrap1)上计算交叉验证的 lwlrap。

  • 第 2 阶段:仅在策展集上训练模型(模型 2),但使用模型 1 作为预训练模型。然后在噪声集(lwlrap2)上计算交叉验证的 lwlrap。

  • 第 3 阶段:让我们开始半监督学习:我们的算法从噪声集中选择样本,模型 1 和模型 2 对该噪声集进行的分类(基本)正确。该算法避免样本受噪声的干扰,并使几何平均值(lwlrap1,lwlrap2)大于或等于 0.5。每个文件和每个标注最多选择 5 个样本。然后在选定的噪声样本上训练模型(模型 3),并使用模型 2 作为预训练模型。然后在噪声集(lwlrap3)上计算交叉验证的 lwlrap。

  • 第 4 阶段:让我们继续半监督学习:我们的算法再次从模型 3 严格正确分类的噪声集中选择样本。该算法避免样本受噪声的干扰,并使 lwlrap3 = 1。然后在选定的噪声样本上训练模型(模型 4),并使用模型 3 作为预训练模型。

  • 最后一个阶段:模型 2、模型 3 和模型 4 对测试集的集成预测。

图 2:预热管道

推理

为了进行推理,我们将 128 个时间样本(2 秒)窗口中的测试音频片段进行分割,其中的窗口是重叠的。然后将这些样本输入到我们的模型,以获得预测结果。将所有链接到音频片段的预测结果进行平均,以获得最终预测结果。

这次竞赛对测试预测推断存在很大的限制:必须通过 Kaggle 内核进行提交,并且有时间限制。由于我们的解决方案需要 GPU,对于完全未见过的测试集的推断需要在不到一个小时内完成。

为了适应这个硬性约束条件,我们做了如下决定:

  • 对所有模型使用相同的预处理和输入;

  • 将最终的集成限制为 2 个模型;

  • 限制窗口的重叠;

  • 组织者所提供的未见过的测试集是公开测试集的三倍多,所以我们确保在 1000 秒之内推断出公开测试集,这样的话,就应该让内核在大约为 3000 秒的时间内推断出未见过的测试集,并确保时间波动的范围在 20% 上下。

结果

为了评估系统的性能,我们在表 2 中展示了结果。结果包括,系统在经过十折交叉验证过的噪声集和策展集上的性能评估,以及在公共排行榜上进行公告的测试集预测的评估值,使用的度量标准是 lwlrap(标注权重与标注排序的平均精度)

表 2:使用预热管道对 CNN-model-1 进行实证分析的结果

在试验过程中,预热管道各阶段均生成了具有良好预测性能的模型。如图 3 所示,每个模型都在公共排行榜上排名第 25 位,能够让我们获得银牌。此外,这些预热模型本身带来了足够的多样性,因为它们预测值的简单平均值(lwlrap 0.733)在公共排行榜上排名第 16 位。

最终排名第 8 名的预测结果是由版本 1 产生,这是 CNN-model-1 和 VGG-16 给出的预测平均值,它们都以相同的方式训练。 

图 3:排行榜

结论

本 git 开源库提供了一个用于创建高效音频标注系统的半监督预热管道,以及面向作者命名为 SpecMix 的多标签音频标注的一种新的数据增强技术。这些技术同时利用干净的和有噪声的数据集,并显示出良好的效果。

上述这些结果是可复现的,它的需求描述、复现的步骤和源代码都可以在 GitHub1 上获得。源代码是在开放源码许可(MIT)下发布的。


致谢

感谢我 5 岁儿子,他的大力支持才使这些成绩有了可能。当我看着排行榜时,他说:「爸爸,你是最棒的,你会成为最棒的。」

我也感谢整个 kaggle 社区分享知识、想法和代码。特别感谢 daisuke 在比赛中提供了内核程序,特别感谢 mhiro2 提供了简单 CNN 模型,并对所有的比赛组织者提出感谢。

参考文献

[1] Daniel S. Park, William Chan, Yu Zhang, Chung-Cheng Chiu, Barret Zoph, Ekin D. Cubuk, Quoc V. Le, "SpecAugment: A Simple Data Augmentation Method for Automatic Speech Recognition", arXiv:1904.08779, 2019.

[2] Hongyi Zhang, Moustapha Cisse, Yann N. Dauphin, and David Lopez-Paz. "mixup: Beyondempirical risk minimization". arXiv preprint arXiv:1710.09412, 2017.

[3] Eduardo Fonseca, Manoj Plakal, Frederic Font, Daniel P. W. Ellis, and Xavier Serra. "Audio tagging with noisy labels and minimal supervision". Submitted to DCASE2019 Workshop, 2019. URL: https://arxiv.org/abs/1906.02975

[4] fastai, Howard, Jeremy and others, 2018, URL: https://github.com/fastai/fastai

via https://github.com/ebouteillon/freesound-audio-tagging-2019#kaggle-freesound-audio-tagging-2019-competition

2019 全球人工智能与机器人峰会

2019 年 7 月 12 日至 14 日,由中国计算机学会(CCF)主办、雷锋网和香港中文大学(深圳)联合承办,深圳市人工智能与机器人研究院协办的 2019 全球人工智能与机器人峰会(简称 CCF-GAIR 2019)将于深圳正式启幕。

届时,诺贝尔奖得主JamesJ. Heckman、中外院士、世界顶会主席、知名Fellow,多位重磅嘉宾将亲自坐阵,一起探讨人工智能和机器人领域学、产、投等复杂的生存态势。

 点击阅读原文,查看:如何开始Kaggle比赛之旅

登录查看更多
2

相关内容

【CVPR2020-旷视】DPGN:分布传播图网络的小样本学习
专知会员服务
28+阅读 · 2020年4月1日
深度神经网络实时物联网图像处理,241页pdf
专知会员服务
78+阅读 · 2020年3月15日
【经典书】Python数据数据分析第二版,541页pdf
专知会员服务
199+阅读 · 2020年3月12日
【干货】用BRET进行多标签文本分类(附代码)
专知会员服务
85+阅读 · 2019年12月27日
【干货】大数据入门指南:Hadoop、Hive、Spark、 Storm等
专知会员服务
98+阅读 · 2019年12月4日
竞赛方案|VideoNet视频内容识别挑战赛
极市平台
14+阅读 · 2019年9月8日
竞赛 | Kaggle上有哪些有趣又多金的计算机视觉类比赛?
计算机视觉life
8+阅读 · 2018年11月28日
干货 | 各大数据竞赛 Top 解决方案汇总
AI科技评论
12+阅读 · 2018年11月12日
Kaggle 新赛:第二届 YouTube-8M 视频理解挑战赛
AI研习社
10+阅读 · 2018年5月26日
应对时间序列问题有何妙招(Kaggle比赛亚军)
七月在线实验室
32+阅读 · 2018年3月19日
Xgboost算法——Kaggle案例
R语言中文社区
13+阅读 · 2018年3月13日
Kaggle入门手册
Datartisan数据工匠
14+阅读 · 2017年11月9日
Arxiv
3+阅读 · 2019年3月15日
Arxiv
3+阅读 · 2018年6月1日
Arxiv
7+阅读 · 2018年3月19日
Arxiv
5+阅读 · 2016年12月29日
VIP会员
最新内容
美陆军设想无人系统司令部
专知会员服务
2+阅读 · 今天13:45
【博士论文】已对齐人工智能系统的持久脆弱性
专知会员服务
0+阅读 · 今天13:52
扭曲还是编造?视频大语言模型幻觉研究综述
专知会员服务
0+阅读 · 今天13:41
《采用系统思维应对混合战争》125页
专知会员服务
2+阅读 · 今天12:47
战争机器学习:数据生态系统构建(155页)
专知会员服务
6+阅读 · 今天8:10
内省扩散语言模型
专知会员服务
6+阅读 · 4月14日
国外反无人机系统与技术动态
专知会员服务
4+阅读 · 4月14日
相关资讯
竞赛方案|VideoNet视频内容识别挑战赛
极市平台
14+阅读 · 2019年9月8日
竞赛 | Kaggle上有哪些有趣又多金的计算机视觉类比赛?
计算机视觉life
8+阅读 · 2018年11月28日
干货 | 各大数据竞赛 Top 解决方案汇总
AI科技评论
12+阅读 · 2018年11月12日
Kaggle 新赛:第二届 YouTube-8M 视频理解挑战赛
AI研习社
10+阅读 · 2018年5月26日
应对时间序列问题有何妙招(Kaggle比赛亚军)
七月在线实验室
32+阅读 · 2018年3月19日
Xgboost算法——Kaggle案例
R语言中文社区
13+阅读 · 2018年3月13日
Kaggle入门手册
Datartisan数据工匠
14+阅读 · 2017年11月9日
Top
微信扫码咨询专知VIP会员