万物皆Embedding,从经典的word2vec到深度学习基本操作item2vec

2019 年 8 月 18 日 AINLP

本文转自公众号"王喆的机器学习笔记",作者王喆

  

前  言

这里是 王喆的机器学习笔记( https://zhuanlan.zhihu.com/wangzhenotes  的第四篇文章,之前我们一起讨论了阿里的DIN,YouTube的深度学习推荐系统,本来今天想再分享另一篇科技巨头的业界前沿文章, Airbnb的Embedding方法  但因为文章中涉及word2vec的技术细节,为了保证一些初学者的知识是自洽的,我还是想在此之前详细介绍一下深度学习的基本操作Embedding以及从word2vec到item2vec的模型原理。

01

什么是embedding?为什么说embedding是深度学习的基本操作?

简单来说,embedding就是用一个低维的向量表示一个物体,可以是一个词,或是一个商品,或是一个电影等等。这个embedding向量的性质是能使距离相近的向量对应的物体有相近的含义,比如 Embedding(复仇者联盟)和Embedding(钢铁侠)之间的距离就会很接近,但 Embedding(复仇者联盟)和Embedding(乱世佳人)的距离就会远一些。


除此之外Embedding甚至还具有数学运算的关系,比如Embedding(马德里)-Embedding(西班牙)+Embedding(法国)≈Embedding(巴黎)


从另外一个空间表达物体,甚至揭示了物体间的潜在关系,上次体会这样神奇的操作还是在学习傅里叶变换的时候,从某种意义上来说,Embedding方法甚至具备了一些本体论的哲学意义。


言归正传,Embedding能够用低维向量对物体进行编码还能保留其含义的特点非常适合深度学习。在传统机器学习模型构建过程中,我们经常使用one hot encoding对离散特征,特别是id类特征进行编码,但由于one hot encoding的维度等于物体的总数,比如阿里的商品one hot encoding的维度就至少是千万量级的。这样的编码方式对于商品来说是极端稀疏的,甚至用multi hot encoding对用户浏览历史的编码也会是一个非常稀疏的向量。而深度学习的特点以及工程方面的原因使其不利于稀疏特征向量的处理(这里希望大家讨论一下为什么?)。因此如果能把物体编码为一个低维稠密向量再喂给DNN,自然是一个高效的基本操作。



02

使embedding空前流行的word2vec


对word的vector表达的研究早已有之,但让embedding方法空前流行,我们还是要归功于google的word2vec。我们简单讲一下word2vec的原理,这对我们之后理解AirBnB对loss function的改进至关重要。


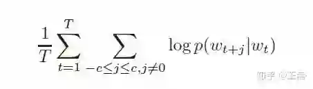
既然我们要训练一个对word的语义表达,那么训练样本显然是一个句子的集合。假设其中一个长度为T的句子为。这时我们假定每个词都跟其相邻的词的关系最密切,换句话说每个词都是由相邻的词决定的(CBOW模型的动机),或者每个词都决定了相邻的词(Skip-gram模型的动机)。如下图,CBOW的输入是周边的词,预测的输出是  ,而Skip-gram则反之,经验上讲Skip-gram的效果好一点,所以本文从Skip-gram模型出发讲解模型细节。

那么为了产生模型的正样本,我们选一个长度为2c+1(目标词前后各选c个词)的滑动窗口,从句子左边滑倒右边,每滑一次,窗口中的词就形成了我们的一个正样本。


有了训练样本之后我们就可以着手定义优化目标了,既然每个词  都决定了相邻词,基于极大似然,我们希望所有样本的条件概率之积最大,这里我们使用log probability。我们的目标函数有了:

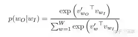
接下来的问题是怎么定义  ,作为一个多分类问题,最简单最直接的方法当然是直接用softmax函数,我们又希望用向量表示每个词w,用词之间的距离表示语义的接近程度,那么我们的条件概率的定义就可以很直观的写出。

看到上面的条件概率公式,很多同学可能会习惯性的忽略一个事实,就是

我们用  去预测  ,但其实这二者的向量表达并不在一个向量空间内。

就像上面的条件概率公式写的一样,分别是词w的输出向量表达和输入向量表达。那什么是输入向量表达和输出向量表达呢?我们画一个word2vec的神经网络架构图就明白了。

根据  的定义,我们可以把两个vector的乘积再套上一个softmax的形式转换成上面的神经网络架构(需要非常注意的一点事hidden layer的激活函数,大家要思考一下,到底是sigmoid函数还是普通的线性函数,为什么?)。在训练过程中我们就可以通过梯度下降的方式求解模型参数了。那么上文所说的输入向量表达就是input layer到hidden layer的权重矩阵,而输出向量表达就是hidden layer到output layer的权重矩阵


那么到底什么是我们通常意义上所说的词向量  呢?


其实就是我们上面所说的输入向量矩阵  中每一行对应的权重向量。于是这个权重矩阵自然转换成了word2vec的lookup table。

那么问题也来了,我们能把输出矩阵  的列向量当作word的vecto表达吗?大家可以讨论一下。

当然在训练word2vec的过程中还有很多工程技巧,比如用negative sampling或Hierarchical Softmax减少词汇空间过大带来的计算量,对高频词汇进行降采样避免对于这些低信息词汇的无谓计算等。我们在之前的专栏文章中有过讨论,在具体实现的时候最好参考Google的原文Distributed Representations of Words and Phrases and their Compositionality


03

从word2vec到item2vec


在word2vec诞生之后,embedding的思想迅速从NLP领域扩散到几乎所有机器学习的领域,我们既然可以对一个序列中的词进行embedding,那自然可以对用户购买序列中的一个商品,用户观看序列中的一个电影进行embedding。而广告、推荐、搜索等领域用户数据的稀疏性几乎必然要求在构建DNN之前对user和item进行embedding后才能进行有效的训练。

具体来讲,如果item存在于一个序列中,item2vec的方法与word2vec没有任何区别。而如果我们摒弃序列中item的空间关系,在原来的目标函数基础上,自然是不存在时间窗口的概念了,取而代之的是item set中两两之间的条件概率。

具体可以参考item2vec的原文 Item2Vec:Neural Item Embedding for Collaborative Filtering

但embedding的应用又远不止于此,事实上,由于我们也可以把输出矩阵的列向量当作item embedding,这大大解放了我们可以用复杂网络生成embedding的能力。读过我专栏上一篇文章YouTube深度学习推荐系统的十大工程问题 的同学肯定知道,YouTube在serve其candidate generation model的时候,只将最后softmax层的输出矩阵的列向量当作item embedding vector,而将softmax之前一层的值当作user embedding vector。在线上serving时不用部署整个模型,而是只存储user vector和item vector,再用最近邻索引进行快速搜索,这无疑是非常实用的embedding工程经验,也证明了我们可以用复杂网络生成user和item的embedding。


KDD 2018 best paper Real-time Personalization using Embeddings for Search Ranking at Airbnb 也介绍了Airbnb的embedding最佳实践,下周我们再详细介绍Airbnb如何将业务场景与embedding方法结合起来。


又到了收获最大的问题讨论的环节了,希望所有人都能各抒己见,互通有无,相信之前专栏的讨论已经让所有读者获益。

  1. 为什么说深度学习的特点不适合处理特征过于稀疏的样本?

  2. 我们能把输出矩阵中的权重向量当作词向量吗?

  3. 为什么在计算word similarity的时候,我们要用cosine distance,我们能够用其他距离吗?

  4. 在word2vec的目标函数中,两个词  的词向量  其实分别来自输入权重矩阵和输出权重矩阵,那么在实际使用时,我们需要分别存储输入矩阵和输出矩阵吗?还是直接用输入矩阵当作word2vec计算similarity就好了?

  5. 隐层的激活函数是什么?是sigmoid吗?


这里是 王喆的机器学习笔记 的第四篇文章,水平有限,欢迎大家吐槽,批评,纠错。


03

参考资料


1.Recommender System Paper List

https://github.com/wzhe06/Reco-papers


2.Real-time Personalization using Embeddings for Search Ranking at Airbnb

https://astro.temple.edu/~tua95067/kdd2018.pdf


3.Item2Vec:Neural Item Embedding for Collaborative Filtering

https://github.com/wzhe06/Reco-papers/blob/master/Recommendation/Item2Vec%20-%20Neural%20Item%20Embedding%20for%20Collaborative%20Filtering.pdf


4.Distributed Representations of Words and Phrases and their Compositionality

https://github.com/wzhe06/Reco-papers/tree/master/Famous%20Machine%20Learning%20Papers


5.YouTube深度学习推荐系统的十大工程问题(https://zhuanlan.zhihu.com/p/52504407


6.重读Youtube深度学习推荐系统论文,字字珠玑,惊为神文

https://zhuanlan.zhihu.com/p/52169807



 

END


本文转自公众号"王喆的机器学习笔记",点击"阅读原文"可以直达原文链接。

登录查看更多
10

相关内容

分散式表示即将语言表示为稠密、低维、连续的向量。 研究者最早发现学习得到词嵌入之间存在类比关系。比如apple−apples ≈ car−cars, man−woman ≈ king – queen 等。这些方法都可以直接在大规模无标注语料上进行训练。词嵌入的质量也非常依赖于上下文窗口大小的选择。通常大的上下文窗口学到的词嵌入更反映主题信息,而小的上下文窗口学到的词嵌入更反映词的功能和上下文语义信息。
斯坦福大学经典《自然语言处理cs224n》2020课件合集
专知会员服务
97+阅读 · 2020年5月25日
深度学习自然语言处理概述,216页ppt,Jindřich Helcl
专知会员服务
216+阅读 · 2020年4月26日
【经典书】精通机器学习特征工程,中文版,178页pdf
专知会员服务
360+阅读 · 2020年2月15日
【新书】傻瓜式入门深度学习,371页pdf
专知会员服务
194+阅读 · 2019年12月28日
深度学习自然语言处理综述,266篇参考文献
专知会员服务
231+阅读 · 2019年10月12日
不懂 word2vec,还敢说自己是做 NLP 的?
AI研习社
8+阅读 · 2018年5月4日
为你推荐一份深度学习书单,来学习吧~
THU数据派
12+阅读 · 2018年3月13日
深度学习时代的推荐系统
大数据技术
8+阅读 · 2018年1月6日
基础|Word2vec的原理介绍
全球人工智能
10+阅读 · 2018年1月4日
基于 word2vec 和 CNN 的文本分类 :综述 & 实践
自然语言处理 (三) 之 word embedding
DeepLearning中文论坛
19+阅读 · 2015年8月3日
Arxiv
6+阅读 · 2019年9月25日
Arxiv
8+阅读 · 2019年5月20日
Next Item Recommendation with Self-Attention
Arxiv
5+阅读 · 2018年8月25日
Angular-Based Word Meta-Embedding Learning
Arxiv
3+阅读 · 2018年8月13日
Arxiv
5+阅读 · 2016年10月24日
Arxiv
8+阅读 · 2014年6月27日
VIP会员
最新内容
BES:让语言模型通过双向进化搜索自我改进
专知会员服务
3+阅读 · 5月30日
以色列-美国-伊朗战争中的无人机:关键要点
专知会员服务
4+阅读 · 5月30日
《Palantir任务保障性软件安全标准(MA-S2)》
专知会员服务
14+阅读 · 5月30日
基于声学的无人机检测技术综述
专知会员服务
8+阅读 · 5月30日
《当代混合战争分析框架:俄乌战争经验教训》
战略前沿人工智能的再思考(中文)
专知会员服务
8+阅读 · 5月29日
《量化地基防空系统间接效应的博弈论方法》
专知会员服务
6+阅读 · 5月29日
相关资讯
不懂 word2vec,还敢说自己是做 NLP 的?
AI研习社
8+阅读 · 2018年5月4日
为你推荐一份深度学习书单,来学习吧~
THU数据派
12+阅读 · 2018年3月13日
深度学习时代的推荐系统
大数据技术
8+阅读 · 2018年1月6日
基础|Word2vec的原理介绍
全球人工智能
10+阅读 · 2018年1月4日
基于 word2vec 和 CNN 的文本分类 :综述 & 实践
自然语言处理 (三) 之 word embedding
DeepLearning中文论坛
19+阅读 · 2015年8月3日
相关论文
Arxiv
6+阅读 · 2019年9月25日
Arxiv
8+阅读 · 2019年5月20日
Next Item Recommendation with Self-Attention
Arxiv
5+阅读 · 2018年8月25日
Angular-Based Word Meta-Embedding Learning
Arxiv
3+阅读 · 2018年8月13日
Arxiv
5+阅读 · 2016年10月24日
Arxiv
8+阅读 · 2014年6月27日
Top
微信扫码咨询专知VIP会员