从Bayesian Deep Learning到Adversarial Robustness新范式

2021 年 12 月 29 日 PaperWeekly


©作者 | 王灏、毛成志
单位 | Rutgers University / Columbia University
研究方向 | 贝叶斯深度学习 / 对抗鲁棒性


拖延症赶在 2021 结束前来介绍一下我们 ICCV 2021 上基于 Bayesian Deep Learning [4,5](或者更具体是 Deep Bayesian Network)做 Adversarial Robustness 的 work [1]



论文标题:

Adversarial Attacks are Reversible with Natural Supervision

论文链接:

http://wanghao.in/paper/ICCV21_ReverseAttack.pdf

代码链接:

https://github.com/cvlab-columbia/SelfSupDefense

视频链接:

https://www.youtube.com/watch?v=0Yv3eQ9JR4Y


Adversarial Robustness 新思路:可以说,这个 work 提出了一个 adversarial defense 的新范式,叫做 Reverse Attack。举个简单的例子,如下图,给定一个原始图片(下面左边的图),attacker 会通过比如 PGD 的方法,找到一个 attack vector(下面中间的图),叠加在原始图片上,而我们 reverse attack 的思路是,在 inference time(或者叫 test time)临时找到一个 reverse attack vector(下面右边的图),再次叠加在已经被 attack 过的图片上,从而来抵消掉部分 attack vector。



把 Reverse Attack 作为 Bayesian Inference 来解: 那么问题来了,defense 方拿到的图片已经是被 attack 过的(已经叠加了 attack vector),那我们如何能机智地找到一个有效的 reverse attack vector 呢?这就要回到文章的开头,Bayesian Deep Learning 和 Deep Bayesian Network 了。简单地讲,我们把寻找 reverse attack vector 作为一个 Bayesian inference 的问题来解。假设被 attack 过的图片(原始图片+ attack vector)叫 , 而我们想寻找的 reverse attack 后的图片(原始图片+ attack vector+reverse attack vector)叫 ,那么寻找 reverse attack vector 的过程其实可以 formulate 成:

求一个 ,使得后验概率 最大。

这里的 表示的是图片的结构一致性信息(具体的讲,就是同一图片的不同部分的颜色、纹理、内容应该一致),而这个信息是已知的,因为不管图片有没有被 attack 过,我们都知道,我们需要还原的图片,它肯定是满足结构的一致性的。关于 的问题我们下文会再仔细讨论。

最大后验估计和 Deep Bayesian Network: 那么现在的主要问题是,如何有效,而且 robust 地得到 的最大后验呢?答案就是可以基于我们之前在 AAAI 2019 提的一个 Deep Bayesian Network(深度贝叶斯网络) [2] ,叫做 Bidirectional Inference Network(BIN)。


论文标题:

Bidirectional Inference Networks: A Class of Deep Bayesian Networks for Health Profiling

论文链接:

http://wanghao.in/paper/AAAI19_BIN.pdf

代码链接:

https://github.com/js05212/bidirectional-inference-network


下面我们先简单介绍一下 BIN,然后再回过头来介绍如何把 BIN 的思想用到 Reverse Attack 上。

BIN属于Deep Bayesian Network,那么什么是Bayesian Network(贝叶斯网络)呢?

贝叶斯网络: 比如下图就是一个贝叶斯网络。


图里面 4 个节点分别表示四个随机变量 。而图里的边则表示的是 conditional dependency。 的边表示 ,而 同时指向 的边表示 。灰色的节点表示已知的值(observed variable),而白色的节点表示我们需要推断的值(latent variable)。正如神经网络,贝叶斯网络也分成学习(learning)和推断(inference)两个阶段。

贝叶斯网络的学习: 一般贝叶斯网络的学习指的就是通过数据,学习到各个条件概率分布。比如上面的图,如果我们有很多 对应的数据,我们就可以学到 这个条件概率分布。同理如果我们有很多 的数据,我们也可以学到

贝叶斯网络的推断: 在模型学习后,我们会根据已经学到的各个条件概率分布,来做概率推断,比如,虽然我们在学习阶段只学到了 两个个条件概率分布,但是根据 Bayes Rule 我们可以做更多的推断任务,比如给定 ,我们可以推断出 最可能的值是多少;正式地讲,我们可以找到一个 的值,从而使得 最大。而找这个值的过程就是最大后验推断。(贝叶斯网络的推断是一个非常广泛的问题,有兴趣的同学可以参考相关的教科书,我们这里只是简要介绍一些这个文章需要用到的部分。)

从贝叶斯网络到深度贝叶斯网络: 那么现在的问题是,如果 这两个条件概率分布非常复杂,每个都需要用多层的神经网络来表示,那该怎么办?我们该如何学习(learning),如何推断(inference)呢?

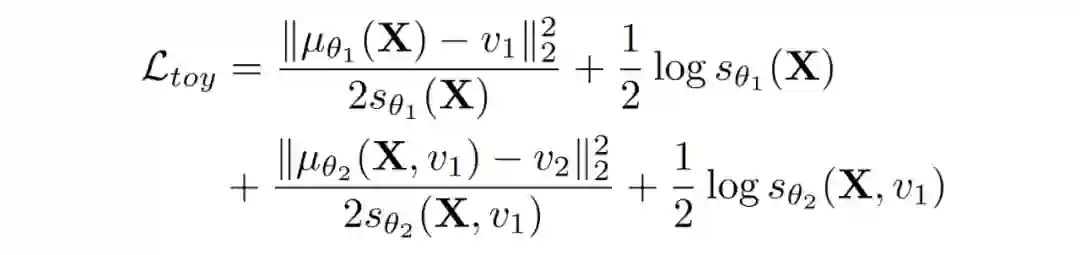
深度贝叶斯网络的学习: 学习的部分其实很简单,假设我们有很多 的数据,我们只需要分别训练 2 个概率神经网络(Probabilistic Neural Network),一个负责 ,一个负责 。这里的概率神经网络和一般的神经网络不同的是:概率神经网络会输出整个分布的参数,而一般的神经网络只会输出一个预测的定值。最简单的概率神经网络的做法是,我们假设网络输出的是高斯分布,那么我们就可以用高斯分布 log likelihood 作为目标函数,来训练(学习) 这两个概率神经网络。整体地看,我们可以用下面这个目标函数来训练:


这个目标函数的前 2 项对应的是 这个概率神经网络,这个网络的输入是 ,而这里的 则分别是这个概率神经网络输出的 mean 和 variance。所以,前 2 项其实是在用一个被 控制的高斯分布,来拟合 注意这里 表示第一个神经网络的参数。

同理,目标函数的后 2 项对应的是 这个概率神经网络。有了这个目标函数以及很多 的数据,我们就可以训练出来 这两个概率神经网络。(眼尖的同学可能会发现,前 2 项和后 2 项是没有关系的,所以这 2 个网络还可以分开、并行地训练,从而提高速度。)

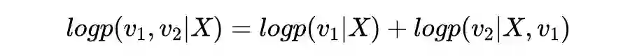
深度贝叶斯网络的推断: 深度贝叶斯网络的推断部分是 BIN 的精髓,也是 Reverse Attack 的灵感来源之一。我们依然沿用前面 的例子,在我们学习了 这两个概率神经网络之后,一个重要的推断问题是,如果给定一组 ,我们能否推断出最可能发生的 。换句话说,我们能否找到一个 ,使得 的后验概率 最大呢?

熟悉概率论的人可能已经发现上面的目标函数,其实等于:


而后验概率 的 log:


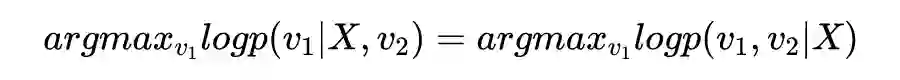
由于我们 是给定的,所以上面的第二项 其实是一个常数,那么我们就可以推出来:


然后我们会惊喜地发现(这其实是最大后验的常规操作),其实给定 推断 的时候,我们可以用同一个目标函数:


区别在于,在学习(learning)阶段,我们是已知 ,然后通过 BP 去更新网络的参数 而在推断(inference)阶段,我们是已知 ,和网络的参数 ,然后通过 BP 去更新

眼尖的同学可能会发现另一个区别,那就是在学习阶段,前 2 项和后 2 项是独立、没有关系的,但是在推断阶段,我们的推断目标 同时出现在前 2 项和后 2 项里。也就是说,虽然 2 个概率神经网络可以分开训练,但是推断的时候是需要一起协作的。

深度贝叶斯网络推断的 intuition:其实如果只看后面 2 项,可以发现,我们做的其实就是 BP 到神经网络的输入 ,从而不断更新 ,而前面 2 项的作用,其实相当于给这个更新提供了一个 L2 的 regularization。而这个 L2 regularization 的系数,则由 动态决定的。

算法实现: 从算法上讲,这个推断过程可以分成 2 步(如下图):(1)计算上面目标函数的前 2 项里的 ,这个部分只需要通过 feedforward 计算一次,(2)把 初始化为 然后通过 BP 多次计算目标函数关于 的 gradient,并且更新



因为我们这个方法既可以前向推断(feedforward)也可以后向推断(BP),我们把它叫做 Bidirectional Inference Network(BIN)

从 BIN 到 Reverse Attack: 那么回到文章最初提的 Reverse Attack,假设被 attack 过的图片(原始图片+ attack vector)叫 ,而我们想寻找的 reverse  attack 后的图片(原始图片+ attack vector+reverse attack vector)叫 。这里的关键是结构一致性信息 。我们知道,原始的图片,是满足结构一致性的( ),而被 attack 后的图片,结构一致性会被破坏( 或者甚至 ),然后我们希望 reverse attack 后的图片,可以(部分)恢复这种结构一致性(使得 尽可能靠近 1 )。

那么我们应该怎么做呢?这时我们就可以把它 formulate 成一个最大后验估计的问题:寻找一个 使得后验概率 最大。套用前面 BIN 的例子,这里的 对应之前的 对应之前 ,而 对应之前的 。于是我们就有了下面这个熟悉的图。需要注意的是,在 reverse attack 里问题甚至比之前的例子更简单,因为 之间没有链接。


Reverse Attack 与 BIN的推断: 给定一个 reverse attack 后的图片 ,以及已知我们 reverse attack 后的结构一致性 ,根据 BIN 的推断(inference)算法,我们只需要通过 BP,来求 关于 的 gradient,然后不断更新 到收敛,就可以找到最优的 了。

如何学习概率神经网络 细心的读者会问,BIN 的 inference 是假设已经学好了概率神经网络 ,那么如何学习这两个概率神经网络呢?

其实很简单, 甚至不需要学习,我们直接假设 服从一个以 为均值的高斯分布 就行。

至于 ,我们可以直接训练一个 contrastive learning(CL)的神经网络。给定任意 2 个图片的 crop 作为输入,CL 的网络可以判断他们是否来自于同一张图。这其实就是在判断结构一致性。被 attack 过的图片,结构一致性受损( ),所以即使给定这同一个图片的 2 个 crop,CL 的网络也可以判断出来他们不是来自于同一张图( )。基于这个 intuition,我们只需要直接用 clean image,训练一个 CL 的网络,就可以当成 来用了。

理论: 更有趣的是,在我们 reverse attack for defense 的 paper 中,我们还证明了,通过以上贝叶斯推断得到的模型准确率的上界可以提升。也就是说,从某种程度上讲,用了这种基于贝叶斯的 reversal method,对于训练恰当的模型会保证更好。

实验结果: 因为我们的方法只是在原有输入的基础上额外考虑了 这一项,因此我们的算法与目前所有做 adversarial robustness 的方法兼容,可以直接加到他们上面。我们在 4 个主流的数据集上,对7种主流的 adversarial robust 的算法进行了测试。

实验结果之 CIFAR-10: 我们测试了 6 种主流 adversarial robust 算法,并且在他们上面加入我们 reversal defense 的方法。在包括 AutoAttack 在内的 5 种 adversarial attack 下,我们的算法都直接提升了原有算法的 robust accracy。

有意思的是,对于越强的 adversarial attack 算法,我们的算法提升的越多(对于比较弱的 PGD50,我们提升 2% 左右,但是对于更强的 autoattack,我们能够提升 7 个点之多)。这是因为更强的 attack 算法其实破坏了更多的结构一致性信息,我们的算法从而能够恢复更多原有信息来提升准确率。


实验结果之 CIFAR-100,SVHN 和 ImageNet: 我们的算法同样可以扩展到更大规模的数据集。在另外 3 个数据集上,我们的算法同样有高达 11% 的提升。下面是每个数据集的结果:




另一个使用贝叶斯最大后验来增强鲁棒性的优点 ,就是我们的方法对于没见过的,特别强的 adversarial attack 更加有效。在以下图中,所有的模型都在最小的扰动上进行训练(使用 8/255 的扰动范围,ImageNet 除外,是 4/255)。随着在推断时扰动的增加,我们的模型在这些从未训练过的扰动上准确率提升越来越明显。


写在最后之用 BIN 处理任意贝叶斯网络结构: 有一点需要注意的是,虽然我们上面给的是一个非常简单的深度贝叶斯网络结构,只涉及 3 个变量。实际上 BIN 可以处理任意节点数的贝叶斯网络,比如下图这些结构。因为可以处理任意结构, BIN 最初是用来做 health profiling 的。有兴趣同学可以移步 看看 health profiling 通俗易懂的应用介绍:

https://news.mit.edu/2019/machine-learning-incomplete-patient-data-0125



写在最后之用 natural-parameter network(NPN)来作为 BIN 的概率神经网络 backbone: 另一点需要注意的是,上文提到的概率神经网络(probabilistic neural network)的具体实现(比如 的具体实现),除了简单的用一个 MLP 最后输出 2 个 branch(mean 和 variance)之外,也可以用比如 natural-parameter network(NPN) [3] 的贝叶斯神经网络,从而达到更好的效果。

这一篇的数学公式稍微有点多,由于篇幅限制,也省去了一些技术细节,如果有啥编辑或者逻辑不顺,大家轻拍:)大家有兴趣的话也欢迎找  @ChengZhi(Reverse Attack的一作) @何昊或者我讨论。


参考文献

[1] Adversarial attacks are reversible with natural supervision. Chengzhi Mao, Mia Chiquier, Hao Wang, Junfeng Yang, Carl Vondrick. ICCV, 2021.

[2] Bidirectional inference networks: A class of deep Bayesian networks for health profiling. Hao Wang, Chengzhi Mao, Hao He, Mingmin Zhao, Tommi S. Jaakkola, Dina Katabi. AAAI , 2019.

[3] Natural parameter networks: a class of probabilistic neural networks. Hao Wang, Xingjian Shi, Dit-Yan Yeung. NIPS, 2016.

[4] A survey on Bayesian deep learning. Hao Wang, Dit-Yan Yeung. ACM Computing Surveys, 2020.

[5] Towards Bayesian deep learning: a framework and some existing methods. Hao Wang, Dit-Yan Yeung. TKDE, 2016.



更多阅读




#投 稿 通 道#

 让你的文字被更多人看到 



如何才能让更多的优质内容以更短路径到达读者群体,缩短读者寻找优质内容的成本呢?答案就是:你不认识的人。


总有一些你不认识的人,知道你想知道的东西。PaperWeekly 或许可以成为一座桥梁,促使不同背景、不同方向的学者和学术灵感相互碰撞,迸发出更多的可能性。 


PaperWeekly 鼓励高校实验室或个人,在我们的平台上分享各类优质内容,可以是最新论文解读,也可以是学术热点剖析科研心得竞赛经验讲解等。我们的目的只有一个,让知识真正流动起来。


📝 稿件基本要求:

• 文章确系个人原创作品,未曾在公开渠道发表,如为其他平台已发表或待发表的文章,请明确标注 

• 稿件建议以 markdown 格式撰写,文中配图以附件形式发送,要求图片清晰,无版权问题

• PaperWeekly 尊重原作者署名权,并将为每篇被采纳的原创首发稿件,提供业内具有竞争力稿酬,具体依据文章阅读量和文章质量阶梯制结算


📬 投稿通道:

• 投稿邮箱:[email protected] 

• 来稿请备注即时联系方式(微信),以便我们在稿件选用的第一时间联系作者

• 您也可以直接添加小编微信(pwbot02)快速投稿,备注:姓名-投稿


△长按添加PaperWeekly小编




🔍


现在,在「知乎」也能找到我们了

进入知乎首页搜索「PaperWeekly」

点击「关注」订阅我们的专栏吧



·

登录查看更多
0

相关内容

深度生成模型综述
专知会员服务
52+阅读 · 2022年1月2日
最新【深度生成模型】Deep Generative Models,104页ppt
专知会员服务
71+阅读 · 2020年10月24日
ICML 2021 | AlphaNet:基于α-散度的超网络训练方法
PaperWeekly
0+阅读 · 2021年12月28日
强化学习扫盲贴:从Q-learning到DQN
夕小瑶的卖萌屋
52+阅读 · 2019年10月13日
ICML2019《元学习》教程与必读论文列表
专知
42+阅读 · 2019年6月16日
详解GAN的谱归一化(Spectral Normalization)
PaperWeekly
11+阅读 · 2019年2月13日
Unsupervised Learning via Meta-Learning
CreateAMind
44+阅读 · 2019年1月3日
深度 | 变分自编码器VAE面临的挑战与发展方向
机器之心
16+阅读 · 2018年3月21日
强化学习族谱
CreateAMind
26+阅读 · 2017年8月2日
Generative Adversarial Text to Image Synthesis论文解读
统计学习与视觉计算组
13+阅读 · 2017年6月9日
国家自然科学基金
2+阅读 · 2015年12月31日
国家自然科学基金
0+阅读 · 2015年12月31日
国家自然科学基金
1+阅读 · 2014年12月31日
国家自然科学基金
0+阅读 · 2012年12月31日
国家自然科学基金
1+阅读 · 2012年12月31日
国家自然科学基金
0+阅读 · 2011年12月31日
国家自然科学基金
0+阅读 · 2009年12月31日
国家自然科学基金
0+阅读 · 2008年12月31日
国家自然科学基金
1+阅读 · 2008年12月31日
Arxiv
23+阅读 · 2022年2月24日
Recent advances in deep learning theory
Arxiv
52+阅读 · 2020年12月20日
Arxiv
38+阅读 · 2020年3月10日
Arxiv
35+阅读 · 2020年1月2日
VIP会员
最新内容
超越网格:作战环境对炮兵的影响
专知会员服务
1+阅读 · 今天15:35
KDD 2026 | MixRAGRec:面向LLM推荐的混合专家KG-RAG框架
BES:让语言模型通过双向进化搜索自我改进
专知会员服务
4+阅读 · 5月30日
以色列-美国-伊朗战争中的无人机:关键要点
专知会员服务
4+阅读 · 5月30日
《Palantir任务保障性软件安全标准(MA-S2)》
专知会员服务
14+阅读 · 5月30日
基于声学的无人机检测技术综述
专知会员服务
8+阅读 · 5月30日
《当代混合战争分析框架:俄乌战争经验教训》
相关资讯
ICML 2021 | AlphaNet:基于α-散度的超网络训练方法
PaperWeekly
0+阅读 · 2021年12月28日
强化学习扫盲贴:从Q-learning到DQN
夕小瑶的卖萌屋
52+阅读 · 2019年10月13日
ICML2019《元学习》教程与必读论文列表
专知
42+阅读 · 2019年6月16日
详解GAN的谱归一化(Spectral Normalization)
PaperWeekly
11+阅读 · 2019年2月13日
Unsupervised Learning via Meta-Learning
CreateAMind
44+阅读 · 2019年1月3日
深度 | 变分自编码器VAE面临的挑战与发展方向
机器之心
16+阅读 · 2018年3月21日
强化学习族谱
CreateAMind
26+阅读 · 2017年8月2日
Generative Adversarial Text to Image Synthesis论文解读
统计学习与视觉计算组
13+阅读 · 2017年6月9日
相关基金
国家自然科学基金
2+阅读 · 2015年12月31日
国家自然科学基金
0+阅读 · 2015年12月31日
国家自然科学基金
1+阅读 · 2014年12月31日
国家自然科学基金
0+阅读 · 2012年12月31日
国家自然科学基金
1+阅读 · 2012年12月31日
国家自然科学基金
0+阅读 · 2011年12月31日
国家自然科学基金
0+阅读 · 2009年12月31日
国家自然科学基金
0+阅读 · 2008年12月31日
国家自然科学基金
1+阅读 · 2008年12月31日
Top
微信扫码咨询专知VIP会员