教程丨机器学习算法:从头开始构建逻辑回归模型

2018 年 5 月 29 日 量子位
原作:Rohith Gandhi
郭一璞 编译自 Hacher Noon
量子位 出品 | 公众号 QbitAI

逻辑回归是继线性回归之后最著名的机器学习算法。

在很多方面,线性回归和逻辑回归是相似的,不过最大的区别在于它们的用途,线性回归算法用于预测,但逻辑回归用于分类任务。

分类任务很常见,比如把电子邮件分为垃圾邮件和非垃圾邮件、把肿瘤分为恶性或者良性、把网站分为危险站点或正常站点,机器学习算法就可以完成这些任务。

其中,逻辑回归算法就是一种分类算法,简单粗暴,但有用。



现在,开始深入研究逻辑回归。

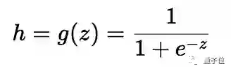
Sigmoid函数(Logistic函数)

逻辑回归算法使用具有独立预测因子的线性方程来预测,预测值可以是从负无穷到正无穷之间的任何值。

我们需要让算法的输出为类变量,比如用0表示非,用1表示是。

因此,我们将线性方程的输出压缩到[0,1]的范围内。

为了压缩0和1之间的预测值,我们使用sigmoid函数:

 线性方程和sigmoid函数

 压缩输出-h

我们取线性方程的输出(z)并给出返回压缩值h的函数g(x),h将位于0到1的范围内。为了理解sigmoid函数如何压缩,我们画出了sigmoid函数的图形:

 sigmoid函数图形

如图可见,sigmoid函数当x>0时,y逐渐向1靠近;当x<0时,y逐渐向0靠近。

成本函数(cost function)

由于我们试图预测类别值,不能使用和线性回归算法中相同的成本函数。

所以,我们使用损失函数的对数来计算错误分类的成本。

考虑到计算上面这个函数的梯度实在太难了,,我们把它写成下面这个样子:

计算梯度

我们取相对于每个参数(θ_0,θ_1,…)的成本函数的偏导数来获得梯度,有了这些梯度,我们可以更新θ_0,θ_1,…的值。

现在,开始召唤微积分大法:

 梯度

如果看懂了,那你的微积分学得棒棒的。



不过,如果微积分大法召唤失败……就直接照着上面的式子做吧。

写代码

现在方程终于搞定了,开始写代码。

我们用NumPy来从头构建模型,用IRIS(鸢尾花)数据集来训练和测试算法。

 1import pandas as pd
2
3df = pd.read_csv('/Users/rohith/Documents/Datasets/Iris_dataset/iris.csv') ## Load data
4df = df.drop(['Id'],axis=1)
5rows = list(range(100,150))
6df = df.drop(df.index[rows])  ## Drop the rows with target values Iris-virginica
7Y = []
8target = df['Species']
9for val in target:
10    if(val == 'Iris-setosa'):
11        Y.append(0)
12    else:
13        Y.append(1)
14df = df.drop(['Species'],axis=1)
15X = df.values.tolist()

我们用pandas来加载数据。

IRIS数据集有三个目标值,分别是弗吉尼亚鸢尾、山鸢尾、变色鸢尾。但是因为要实现的是二进制的分类算法,所以此处先把弗吉尼亚鸢尾剔除。

 变色鸢尾(左)和山鸢尾(右),图源百度百科

现在,只剩下两个目标值用来分类了。

之后,从数据集中提取独立变量和因变量,现在可以继续准备训练集和测试集了。

 1from sklearn.utils import shuffle
2from sklearn.cross_validation import train_test_split
3import numpy as np
4
5X, Y = shuffle(X,Y)
6
7x_train = []
8y_train = []
9x_test = []
10y_test = []
11
12x_train, x_test, y_train, y_test = train_test_split(X, Y, train_size=0.9)
13
14x_train = np.array(x_train)
15y_train = np.array(y_train)
16x_test = np.array(x_test)
17y_test = np.array(y_test)
18
19x_1 = x_train[:,0]
20x_2 = x_train[:,1]
21x_3 = x_train[:,2]
22x_4 = x_train[:,3]
23
24x_1 = np.array(x_1)
25x_2 = np.array(x_2)
26x_3 = np.array(x_3)
27x_4 = np.array(x_4)
28
29x_1 = x_1.reshape(90,1)
30x_2 = x_2.reshape(90,1)
31x_3 = x_3.reshape(90,1)
32x_4 = x_4.reshape(90,1)
33
34y_train = y_train.reshape(90,1)

我们清洗了数据,并且把它们分为了训练集和测试集,训练集中有90个数据,测试集中有10个数据。由于数据集中有四个预测因子,所以我们提取每个特征并将其存储在各个向量中。

 1## Logistic Regression 
2import numpy as np
3
4def sigmoid(x):
5    return (1 / (1 + np.exp(-x)))
6
7m = 90
8alpha = 0.0001
9
10theta_0 = np.zeros((m,1))
11theta_1 = np.zeros((m,1))
12theta_2 = np.zeros((m,1))
13theta_3 = np.zeros((m,1))
14theta_4 = np.zeros((m,1))
15
16
17epochs = 0
18cost_func = []
19while(epochs < 10000):
20    y = theta_0 + theta_1 * x_1 + theta_2 * x_2 + theta_3 * x_3 + theta_4 * x_4
21    y = sigmoid(y)
22
23    cost = (- np.dot(np.transpose(y_train),np.log(y)) - np.dot(np.transpose(1-y_train),np.log(1-y)))/m
24
25    theta_0_grad = np.dot(np.ones((1,m)),y-y_train)/m
26    theta_1_grad = np.dot(np.transpose(x_1),y-y_train)/m
27    theta_2_grad = np.dot(np.transpose(x_2),y-y_train)/m
28    theta_3_grad = np.dot(np.transpose(x_3),y-y_train)/m
29    theta_4_grad = np.dot(np.transpose(x_4),y-y_train)/m
30
31    theta_0 = theta_0 - alpha * theta_0_grad
32    theta_1 = theta_1 - alpha * theta_1_grad
33    theta_2 = theta_2 - alpha * theta_2_grad
34    theta_3 = theta_3 - alpha * theta_3_grad
35    theta_4 = theta_4 - alpha * theta_4_grad
36
37    cost_func.append(cost)
38    epochs += 1


我们用0来初始化参数(θ_0,θ_1,…)。当我们使用线性方程来计算这些值时,这些值将被压缩到0到1的范围内。

然后计算成本。

可以用成本函数计算每个参数的梯度,并通过将梯度与α相乘来更新它们的值,α是算法的学习率。一万次之后,我们的算法会收敛到最小值。

现在,终于可以找出那10个测试集的数据,开始测试了。

 1from sklearn.metrics import accuracy_score
2
3test_x_1 = x_test[:,0]
4test_x_2 = x_test[:,1]
5test_x_3 = x_test[:,2]
6test_x_4 = x_test[:,3]
7
8test_x_1 = np.array(test_x_1)
9test_x_2 = np.array(test_x_2)
10test_x_3 = np.array(test_x_3)
11test_x_4 = np.array(test_x_4)
12
13test_x_1 = test_x_1.reshape(10,1)
14test_x_2 = test_x_2.reshape(10,1)
15test_x_3 = test_x_3.reshape(10,1)
16test_x_4 = test_x_4.reshape(10,1)
17
18index = list(range(10,90))
19
20theta_0 = np.delete(theta_0, index)
21theta_1 = np.delete(theta_1, index)
22theta_2 = np.delete(theta_2, index)
23theta_3 = np.delete(theta_3, index)
24theta_4 = np.delete(theta_4, index)
25
26theta_0 = theta_0.reshape(10,1)
27theta_1 = theta_1.reshape(10,1)
28theta_2 = theta_2.reshape(10,1)
29theta_3 = theta_3.reshape(10,1)
30theta_4 = theta_4.reshape(10,1)
31
32y_pred = theta_0 + theta_1 * test_x_1 + theta_2 * test_x_2 + theta_3 * test_x_3 + theta_4 * test_x_4
33y_pred = sigmoid(y_pred)
34
35new_y_pred =[]
36for val in y_pred:
37    if(val >= 0.5):
38        new_y_pred.append(1)
39    else:
40        new_y_pred.append(0)
41
42print(accuracy_score(y_test,new_y_pred))

提前准备好的测试集和训练集的特征十分相似,但是因为测试示例的数量只有10个,所以我们把θ_0,θ_1,θ_2,θ_3和θ_4的值从90×1剪切到10×1,计算了测试类别并检查模型的精确度。

 哎呦不错

完美!模型准确度100%!

虽然逻辑回归算法非常强大,但我们使用的数据集并不是很复杂,所以我们的模型能够达到100%的准确度。

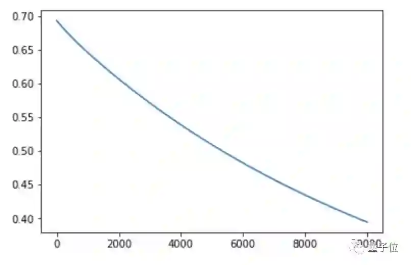
我们还可以画出一万次训练的成本函数图:

1import matplotlib.pyplot as plt 
2
3cost_func = np.array(cost_func)
4cost_func = cost_func.reshape(10000,1)
5plt.plot(range(len(cost_func)),cost_func)


 您的成本函数请查收

不过,现在你可能觉得这个算法的代码太多了。为了缩短代码行数,我们用上了scikit学习库。scikit学习库有一个内置的逻辑回归类别,我们可以直接接入使用。

1from sklearn.metrics import accuracy_score
2from sklearn.linear_model import LogisticRegression
3
4clf = LogisticRegression()
5clf.fit(x_train,y_train)
6y_pred = clf.predict(x_test)
7print(accuracy_score(y_test,y_pred))

看,代码已经被缩减到10行以内了。用scikit学习库,我们的模型准确率依然100%。

原文链接:

https://hackernoon.com/introduction-to-machine-learning-algorithms-logistic-regression-cbdd82d81a36

活动报名

诚挚招聘

量子位正在招募编辑/记者,工作地点在北京中关村。期待有才气、有热情的同学加入我们!相关细节,请在量子位公众号(QbitAI)对话界面,回复“招聘”两个字。

量子位 QbitAI · 头条号签约作者

վ'ᴗ' ի 追踪AI技术和产品新动态



登录查看更多
2

相关内容

专知会员服务
142+阅读 · 2020年5月19日
干货书《数据科学数学系基础》2020最新版,266页pdf
专知会员服务
326+阅读 · 2020年3月23日
【干货书】机器学习Python实战教程,366页pdf
专知会员服务
347+阅读 · 2020年3月17日
Sklearn 与 TensorFlow 机器学习实用指南,385页pdf
专知会员服务
131+阅读 · 2020年3月15日
谷歌机器学习速成课程中文版pdf
专知会员服务
147+阅读 · 2019年12月4日
机器学习入门的经验与建议
专知会员服务
94+阅读 · 2019年10月10日
Python机器学习课程(代码与教程)
专知
37+阅读 · 2019年5月13日
sklearn 与分类算法
人工智能头条
7+阅读 · 2019年3月12日
博客 | 回归类算法最全综述及逻辑回归重点讲解
AI研习社
13+阅读 · 2018年11月29日
学会这10种机器学习算法,你才算入门(附教程)
七月在线实验室
4+阅读 · 2018年4月13日
机器学习新手必看10大算法
深度学习世界
4+阅读 · 2018年2月1日
最适合机器学习新手的10种算法
论智
9+阅读 · 2018年1月23日
免费|机器学习算法Python实现
全球人工智能
6+阅读 · 2018年1月2日
10分钟搞懂Tensorflow 逻辑回归实现手写识别
全球人工智能
5+阅读 · 2017年10月19日
BAT机器学习面试1000题系列(第36~40题)
七月在线实验室
8+阅读 · 2017年10月3日
Arxiv
113+阅读 · 2020年2月5日
Arxiv
27+阅读 · 2019年11月24日
Bivariate Beta LSTM
Arxiv
6+阅读 · 2019年10月7日
A Probe into Understanding GAN and VAE models
Arxiv
9+阅读 · 2018年12月13日
Adaptive Neural Trees
Arxiv
4+阅读 · 2018年12月10日
Arxiv
8+阅读 · 2018年11月21日
Arxiv
6+阅读 · 2018年3月29日
VIP会员
最新内容
《美陆军条例:陆军指挥政策(2026版)》
专知会员服务
5+阅读 · 今天8:10
《军用自主人工智能系统的治理与安全》
专知会员服务
4+阅读 · 今天8:02
《系统簇式多域作战规划范畴论框架》
专知会员服务
7+阅读 · 4月20日
高效视频扩散模型:进展与挑战
专知会员服务
3+阅读 · 4月20日
乌克兰前线的五项创新
专知会员服务
7+阅读 · 4月20日
 军事通信系统与设备的技术演进综述
专知会员服务
6+阅读 · 4月20日
《北约标准:医疗评估手册》174页
专知会员服务
5+阅读 · 4月20日
相关VIP内容
专知会员服务
142+阅读 · 2020年5月19日
干货书《数据科学数学系基础》2020最新版,266页pdf
专知会员服务
326+阅读 · 2020年3月23日
【干货书】机器学习Python实战教程,366页pdf
专知会员服务
347+阅读 · 2020年3月17日
Sklearn 与 TensorFlow 机器学习实用指南,385页pdf
专知会员服务
131+阅读 · 2020年3月15日
谷歌机器学习速成课程中文版pdf
专知会员服务
147+阅读 · 2019年12月4日
机器学习入门的经验与建议
专知会员服务
94+阅读 · 2019年10月10日
相关资讯
Python机器学习课程(代码与教程)
专知
37+阅读 · 2019年5月13日
sklearn 与分类算法
人工智能头条
7+阅读 · 2019年3月12日
博客 | 回归类算法最全综述及逻辑回归重点讲解
AI研习社
13+阅读 · 2018年11月29日
学会这10种机器学习算法,你才算入门(附教程)
七月在线实验室
4+阅读 · 2018年4月13日
机器学习新手必看10大算法
深度学习世界
4+阅读 · 2018年2月1日
最适合机器学习新手的10种算法
论智
9+阅读 · 2018年1月23日
免费|机器学习算法Python实现
全球人工智能
6+阅读 · 2018年1月2日
10分钟搞懂Tensorflow 逻辑回归实现手写识别
全球人工智能
5+阅读 · 2017年10月19日
BAT机器学习面试1000题系列(第36~40题)
七月在线实验室
8+阅读 · 2017年10月3日
相关论文
Arxiv
113+阅读 · 2020年2月5日
Arxiv
27+阅读 · 2019年11月24日
Bivariate Beta LSTM
Arxiv
6+阅读 · 2019年10月7日
A Probe into Understanding GAN and VAE models
Arxiv
9+阅读 · 2018年12月13日
Adaptive Neural Trees
Arxiv
4+阅读 · 2018年12月10日
Arxiv
8+阅读 · 2018年11月21日
Arxiv
6+阅读 · 2018年3月29日
Top
微信扫码咨询专知VIP会员