BAT机器学习面试1000题系列(第36~40题)

2017 年 10 月 3 日 七月在线实验室 人工智能面试题

(点击上方公众号,快速关注一起学AI)


36.  某超市研究销售纪录数据后发现,买啤酒的人很大概率也会购买尿布,这种属于数据挖掘的哪类问题?(A)

 A. 关联规则发现       B. 聚类
 C. 分类               D. 自然语言处理


37.将原始数据进行集成、变换、维度规约、数值规约是在以下哪个步骤的任务?(C)
   A. 频繁模式挖掘     B. 分类和预测     C. 数据预处理     D. 数据流挖掘


38.下面哪种不属于数据预处理的方法? (D)

A变量代换   B离散化  C 聚集 D 估计遗漏值 


39.什么是KDD? (A)
  A. 数据挖掘与知识发现    B. 领域知识发现
  C. 文档知识发现      D. 动态知识发现


40.说说梯度下降法.

@LeftNotEasy,本题解析来源:http://www.cnblogs.com/LeftNotEasy/archive/2010/12/05/mathmatic_in_machine_learning_1_regression_and_gradient_descent.html下面是一个典型的机器学习的过程,首先给出一个输入数据,我们的算法会通过一系列的过程得到一个估计的函数,这个函数有能力对没有见过的新数据给出一个新的估计,也被称为构建一个模型。

我们用X1,X2..Xn 去描述feature里面的分量,比如x1=房间的面积,x2=房间的朝向等等,我们可以做出一个估计函数:

θ在这儿称为参数,在这儿的意思是调整feature中每个分量的影响力,就是到底是房屋的面积更重要还是房屋的地段更重要。为了如果我们令X0 = 1,就可以用向量的方式来表示了:

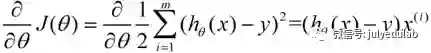
我们程序也需要一个机制去评估我们θ是否比较好,所以说需要对我们做出的h函数进行评估,一般这个进行评估的函数称为损失函数(loss function),描述h函数不好的程度,在下面,我们称这个函数为J函数

    在这儿我们可以做出下面的一个损失函数:

换言之,我们把对x(i)的估计值与真实值y(i)差的平方和作为损失函数,前面乘上的1/2是为了在求导的时候,这个系数就不见了。

    如何调整θ以使得J(θ)取得最小值有很多方法,其中有最小二乘法(min square),是一种完全是数学描述的方法,另外一种就是梯度下降法。

    梯度下降法是算法流程如下:

    1)首先对θ赋值,这个值可以是随机的,也可以让θ是一个全零的向量。

    2)改变θ的值,使得J(θ)按梯度下降的方向进行减少。

    为了描述的更清楚,给出下面的图:

这是一个表示参数θ与误差函数J(θ)的关系图,红色的部分是表示J(θ)有着比较高的取值,我们需要的是,能够让J(θ)的值尽量的低,也就是达到深蓝色的部分。θ0,θ1表示θ向量的两个维度。

    在上面提到梯度下降法的第一步是给θ给一个初值,假设随机给的初值是在图上的十字点。

    然后我们将θ按照梯度下降的方向进行调整,就会使得J(θ)往更低的方向进行变化,如下图所示,算法的结束将是在θ下降到无法继续下降为止。

当然,可能梯度下降的最终点并非是全局最小点,即也可能是一个局部最小点,如下图所示:

上面这张图就是描述的一个局部最小点,这是我们重新选择了一个初始点得到的,看来我们这个算法将会在很大的程度上被初始点的选择影响而陷入局部最小点。

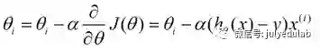
   下面我将用一个例子描述一下梯度减少的过程,对于我们的函数J(θ)求偏导J:

下面是更新的过程,也就是θi会向着梯度最小的方向进行减少。θi表示更新之前的值,-后面的部分表示按梯度方向减少的量,α表示步长,也就是每次按照梯度减少的方向变化多少。

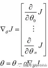
一个很重要的地方值得注意的是,梯度是有方向的,对于一个向量θ,每一维分量θi都可以求出一个梯度的方向,我们就可以找到一个整体的方向,在变化的时候,我们就朝着下降最多的方向进行变化就可以达到一个最小点,不管它是局部的还是全局的。

    用更简单的数学语言进行描述步骤2)是这样的:



有好的见解或者面试题目欢迎在评论区留言,一起交流探讨。

欢迎转发,让更多小伙伴收益!

登录查看更多
8

相关内容

数据预处理(data preprocessing)是指在主要的处理以前对数据进行的一些处理。如对大部分地球物理面积性观测数据在进行转换或增强处理之前,首先将不规则分布的测网经过插值转换为规则网的处理,以利于计算机的运算。另外,对于一些剖面测量数据,如地震资料预处理有垂直叠加、重排、加道头、编辑、重新取样、多路编辑等。
【伯克利】再思考 Transformer中的Batch Normalization
专知会员服务
41+阅读 · 2020年3月21日
机器学习速查手册,135页pdf
专知会员服务
345+阅读 · 2020年3月15日
【Nature论文】深度网络中的梯度下降复杂度控制
专知会员服务
41+阅读 · 2020年3月9日
【经典书】精通机器学习特征工程,中文版,178页pdf
专知会员服务
360+阅读 · 2020年2月15日
BAT机器学习面试题1000题(376~380题)
七月在线实验室
9+阅读 · 2018年8月27日
BAT机器学习面试题1000题(331~335题)
七月在线实验室
12+阅读 · 2018年8月13日
BAT机器学习面试题1000题(316~320题)
七月在线实验室
14+阅读 · 2018年1月18日
BAT题库 | 机器学习面试1000题系列(第211~215题)
七月在线实验室
9+阅读 · 2017年11月22日
BAT题库 | 机器学习面试1000题系列(第196~200题)
七月在线实验室
17+阅读 · 2017年11月16日
BAT题库 | 机器学习面试1000题系列(第161~165题)
七月在线实验室
7+阅读 · 2017年11月6日
BAT机器学习面试1000题系列(第116~120题)
七月在线实验室
16+阅读 · 2017年10月24日
BAT机器学习面试1000题系列(第76~80题)
七月在线实验室
5+阅读 · 2017年10月13日
BAT机器学习面试1000题系列(第51~55题)
七月在线实验室
10+阅读 · 2017年10月8日
BAT机器学习面试1000题系列(第46~50题)
七月在线实验室
7+阅读 · 2017年10月7日
Reasoning on Knowledge Graphs with Debate Dynamics
Arxiv
14+阅读 · 2020年1月2日
Parsimonious Bayesian deep networks
Arxiv
5+阅读 · 2018年10月17日
Stock Chart Pattern recognition with Deep Learning
Arxiv
6+阅读 · 2018年8月1日
Meta-Learning with Latent Embedding Optimization
Arxiv
6+阅读 · 2018年7月16日
Arxiv
5+阅读 · 2018年1月29日
VIP会员
最新内容
技术、多域威慑与海上战争(报告)
专知会员服务
0+阅读 · 9分钟前
“在云端防御”:提升北约数据韧性(报告)
专知会员服务
0+阅读 · 19分钟前
人工智能及其在海军行动中的整合(综述)
专知会员服务
0+阅读 · 今天14:07
美军MAVEN项目全面解析:算法战架构
专知会员服务
15+阅读 · 今天8:36
从俄乌战场看“马赛克战”(万字长文)
专知会员服务
10+阅读 · 今天8:19
最新“指挥控制”领域出版物合集(16份)
专知会员服务
16+阅读 · 4月12日
面向军事作战需求开发的人工智能(RAIMOND)
专知会员服务
22+阅读 · 4月12日
相关资讯
BAT机器学习面试题1000题(376~380题)
七月在线实验室
9+阅读 · 2018年8月27日
BAT机器学习面试题1000题(331~335题)
七月在线实验室
12+阅读 · 2018年8月13日
BAT机器学习面试题1000题(316~320题)
七月在线实验室
14+阅读 · 2018年1月18日
BAT题库 | 机器学习面试1000题系列(第211~215题)
七月在线实验室
9+阅读 · 2017年11月22日
BAT题库 | 机器学习面试1000题系列(第196~200题)
七月在线实验室
17+阅读 · 2017年11月16日
BAT题库 | 机器学习面试1000题系列(第161~165题)
七月在线实验室
7+阅读 · 2017年11月6日
BAT机器学习面试1000题系列(第116~120题)
七月在线实验室
16+阅读 · 2017年10月24日
BAT机器学习面试1000题系列(第76~80题)
七月在线实验室
5+阅读 · 2017年10月13日
BAT机器学习面试1000题系列(第51~55题)
七月在线实验室
10+阅读 · 2017年10月8日
BAT机器学习面试1000题系列(第46~50题)
七月在线实验室
7+阅读 · 2017年10月7日
Top
微信扫码咨询专知VIP会员