手把手教你用LDA特征选择

2017 年 8 月 21 日 AI研习社



本文用了一个经典的例子,从数据探索,模型假设,模型训练,模型可视化,step by step 让读者体验机器学习完整的流程。


  导语

在模式分类和机器学习实践中,线性判别分析(Linear Discriminant Analysis, LDA)方法常被用于数据预处理中的降维(dimensionality reduction)步骤。LDA在保证良好的类别区分度的前提下,将数据集向更低维空间投影,以求在避免过拟合(“维数灾难”)的同时,减小计算消耗。

Ronald A. Fisher 在1936年(The Use of Multiple Measurements in Taxonomic Problems)提出了线性判别(Linear Discriminant)方法,它有时也用来解决分类问题。最初的线性判别适用于二分类问题,后来在1948年,被C. R. Rao(The utilization of multiple measurements in problems of biological classification)推广为“多类线性判别分析”或“多重判别分析”。

一般意义上的LDA与主成分分析(Principal Component Analysis,PCA)十分相似,但不同于PCA寻找使全部数据方差最大化的坐标轴成分,LDA关心的是能够最大化类间区分度的坐标轴成分。

更多关于PCA的内容,可参考 Implementing a Principal Component Analysis (PCA) in Python step by step。

一言蔽之,LDA将特征空间(数据集中的多维样本)投影到一个维度更小的 k 维子空间中( k≤n−1),同时保持区分类别的信息。 通常情况下,降维不仅降低了分类任务的计算量,还能减小参数估计的误差,从而避免过拟合。


  主成分分析 vs. 线性判别分析

线性判别分析(LDA)与主成分分析(PCA)都是常用的线性变换降维方法。PCA是一种“无监督”算法,它不关心类别标签,而是致力于寻找数据集中最大化方差的那些方向(亦即“主成分”);LDA则是“有监督”的,它计算的是另一类特定的方向(或称线性判别“器”)——这些方向刻画了最大化类间区分度的坐标轴。

虽然直觉上听起来,在已知类别信息时,LDA对于多分类任务要优于PCA,但实际并不一定。 

比如,比较经过PCA或LDA处理后图像识别任务的分类准确率,如果样本数比较少,PCA是要优于LDA的(PCA vs. LDA, A.M. Martinez et al., 2001)。联合使用LDA和PCA也并不罕见,例如降维时先用PCA再做LDA。



  什么是“好”的特征子空间

假定我们的目标是将一个 d 维数据集投影到一个 k ( k<d )维子空间中从而降低它的维度,我们怎么知道该选择多大的 k 呢?我们又怎么知道这个特征空间是否能很“好”地表达我们的数据呢?


在后面,我们会计算数据集的本征向量(成分),将其归总到一个所谓的“散布矩阵”(类间散布矩阵和类内散布矩阵)。每一个本征向量对应一个本征值,本征值会告诉我们相应本征向量的“长度”/“大小”。


如果所有的本征值大小都很相近,那么这就表示我们的数据已经投影到了一个“好”的特征空间上。 


而如果一部分本征值远大于其他的本征值,我们可能就考虑只留下最大的那些,因为它们包含了更多关于数据的分布的信息。反之,接近 0 的本征值含有的信息量更少,我们就考虑在构造新特征空间时舍弃它们。


  LDA的五个步骤

下面列出了执行线性判别分析的五个基本步骤。我们会在后面做更详细的讲解。 


 1. 计算数据集中不同类别数据的 d 维均值向量。 


 2. 计算散布矩阵,包括类间、类内散布矩阵。 


 3. 计算散布矩阵的本征向量 e1,e2,...,ed 和对应的本征值 λ1,λ2,...,λd。 


 4. 将本征向量按本征值大小降序排列,然后选择前 k。 个最大本征值对应的本征向量,组建一个 d×k 维矩阵——即每一列就是一个本征向量。 


 5. 用这个 d×k-维本征向量矩阵将样本变换到新的子空间。这一步可以写作矩阵乘法 Y=X×W 。 X 是 n×d 维矩阵,表示 n 个样本; y 是变换到子空间后的 n×k 维样本。


  准备样本数据集

鸢尾花集

接下来要在著名的“鸢尾花”数据集上折腾一番。鸢尾花集可从UCI的机器学习目录中下载: https://archive.ics.uci.edu/ml/datasets/Iris 

引用  Bache, K. & Lichman, M. (2013). UCI Machine Learning Repository. Irvine, CA: University of California, School of Information and Computer Science.

该集对三类、一百五十朵鸢尾花做了测量。

三类包括: 
 1. 山鸢尾(n=50) 
 2. 变色鸢尾(n=50) 
 3. 维吉尼亚鸢尾(n=50) 

四种特征包括: 
 1. 萼片长度(厘米) 
 2. 萼片宽度(厘米) 
 3. 花瓣长度(厘米) 
 4. 花瓣宽度(厘米)

feature_dict = {i:label for i,label in zip(                range(4),                  ('sepal length in cm',                  'sepal width in cm',                  'petal length in cm',                  'petal width in cm', ))}


  读取数据集

import pandas as pd df = pd.io.parsers.read_csv(    filepath_or_buffer='https://archive.ics.uci.edu/ml/machine-learning-databases/iris/iris.data',    header=None,    sep=',',    ) df.columns = [l for i,l in sorted(feature_dict.items())] + ['class label'] df.dropna(how="all", inplace=True) # to drop the empty line at file-end df.tail()



因为数值数据更容易处理,我们使用 scikit-learn 库中的 LabelEncode 将类别标签转换成数字 1,2,3:

from sklearn.preprocessing import LabelEncoder X = df[[0,1,2,3]].values y = df['class label'].values enc = LabelEncoder() label_encoder = enc.fit(y) y = label_encoder.transform(y) + 1 label_dict = {1: 'Setosa', 2: 'Versicolor', 3:'Virginica'}


  直方图和特征选择

把四种特征的分布情况在一维直方图中分别做可视化呈现,可以得到一个对 w1,w2,w3 三类数据的粗略的观察:


%matplotlib inline from matplotlib import pyplot as plt import numpy as np import math fig, axes = plt.subplots(nrows=2, ncols=2, figsize=(12,6)) for ax,cnt in zip(axes.ravel(), range(4)):      # set bin sizes    min_b = math.floor(np.min(X[:,cnt]))    max_b = math.ceil(np.max(X[:,cnt]))    bins = np.linspace(min_b, max_b, 25)    # plottling the histograms    for lab,col in zip(range(1,4), ('blue', 'red', 'green')):        ax.hist(X[y==lab, cnt],                   color=col,                   label='class %s' %label_dict[lab],                   bins=bins,                   alpha=0.5,)    ylims = ax.get_ylim()    # plot annotation    leg = ax.legend(loc='upper right', fancybox=True, fontsize=8)    leg.get_frame().set_alpha(0.5)    ax.set_ylim([0, max(ylims)+2])    ax.set_xlabel(feature_dict[cnt])    ax.set_title('Iris histogram #%s' %str(cnt+1))    # hide axis ticks    ax.tick_params(axis="both", which="both", bottom="off", top="off",              labelbottom="on", left="off", right="off", labelleft="on")    # remove axis spines    ax.spines["top"].set_visible(False)      ax.spines["right"].set_visible(False)    ax.spines["bottom"].set_visible(False)    ax.spines["left"].set_visible(False)     axes[0][0].set_ylabel('count') axes[1][0].set_ylabel('count') fig.tight_layout()       plt.show()

仅凭这些简单的图形化展示,已经足以让我们得出结论:在四种特征里面,花瓣的长度、宽度更适合用来区分三种鸢尾花类别。 

实际应用中,比起通过投影降维(此处即LDA),另一种比较好的办法是做特征筛选。像鸢尾花这样的低维数据集,看一眼直方图就能得到很多信息了。 

另一种简单但有效的方式是使用特征选择算法——如果你有兴趣,我在此处详述了“序列特征选择”; scikit-learn 有另一种漂亮的手段。 

我还写过一篇“特征选择中的滤波器,封装器和嵌入方法”,是在更高的层次上对不同方法的总结。


  规范性假设

需要指出,LDA假设数据服从正态分布、不同特征之间互相统计独立且各类数据的协方差矩阵相等。不过这仅仅指LDA用作分类器的情况,当LDA用于降维时,哪怕数据不符合这些假设,LDA通常也能取得不错的效果。 

而即便对于分类任务,LDA对数据的分布似乎也是相当鲁棒的:

“尽管实际情况常常不符合‘不同类别数据间有相同协方差矩阵’和规范性假设,线性判别分析在人脸和物体识别任务中也通常能够得到不错的结果。”。

Tao Li, Shenghuo Zhu, and Mitsunori Ogihara. “Using Discriminant Analysis for Multi-Class Classification: An Experimental Investigation.” Knowledge and Information Systems 10, no. 4 (2006): 453–72.) 
Duda, Richard O, Peter E Hart, and David G Stork. 2001. Pattern Classification. New York: Wiley.


  五步实现LDA

完成以上几项准备工作后,我们就可以实际运行LDA了。

第一步:计算数据的 d 维均值向量


首先做一个简单的计算:分别求三种鸢尾花数据在不同特征维度上的均值向量 mi:


np.set_printoptions(precision=4) mean_vectors = [] for cl in range(1,4):    mean_vectors.append(np.mean(X[y==cl], axis=0))    print('Mean Vector class %s: %s\n' %(cl, mean_vectors[cl-1]))

得到

Mean Vector class 1: [ 5.006  3.418  1.464  0.244] Mean Vector class 2: [ 5.936  2.77   4.26   1.326] Mean Vector class 3: [ 6.588  2.974  5.552  2.026]

第二步:计算散布矩阵

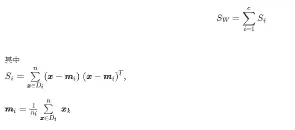
计算两个 4×4 维矩阵:类内散布矩阵和类间散布矩阵。


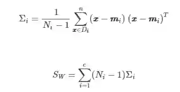
2.1a 类内散布矩阵 Sw

类内散布矩阵 Sw 由该式算出:

S_W = np.zeros((4,4)) for cl,mv in zip(range(1,4), mean_vectors):    class_sc_mat = np.zeros((4,4))                  # scatter matrix for every class    for row in X[y == cl]:        row, mv = row.reshape(4,1), mv.reshape(4,1) # make column vectors        class_sc_mat += (row-mv).dot((row-mv).T)    S_W += class_sc_mat                             # sum class scatter matrices print('within-class Scatter Matrix:\n', S_W)

得到

within-class Scatter Matrix: [[ 38.9562  13.683   24.614    5.6556] [ 13.683   17.035    8.12     4.9132] [ 24.614    8.12    27.22     6.2536] [  5.6556   4.9132   6.2536   6.1756]]

2.1b 贝塞尔纠偏项的影响

在计算类-协方差矩阵时,可以在类内散布矩阵上添加尺度因数 1N−1,这样计算式就变为


Ni 是类样本大小(此处为50),因为三个类别的样本数是相同的,这里可以舍去 (Ni−1)。 


因为本征向量是相同的,只是本征值有一个常数项的尺度变化,所以即便将其忽略不计,最后得到的特征空间也不会改变(这一点在文末还有体现)。


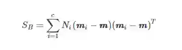
2.2 类间散布矩阵 SB 



mm 是全局均值,而 mmi 和 Ni 是每类样本的均值和样本数。

overall_mean = np.mean(X, axis=0) S_B = np.zeros((4,4)) for i,mean_vec in enumerate(mean_vectors):      n = X[y==i+1,:].shape[0]    mean_vec = mean_vec.reshape(4,1) # make column vector    overall_mean = overall_mean.reshape(4,1) # make column vector    S_B += n * (mean_vec - overall_mean).dot((mean_vec - overall_mean).T) print('between-class Scatter Matrix:\n', S_B)

得到

between-class Scatter Matrix: [[  63.2121  -19.534   165.1647   71.3631] [ -19.534    10.9776  -56.0552  -22.4924] [ 165.1647  -56.0552  436.6437  186.9081] [  71.3631  -22.4924  186.9081   80.6041]]

第三步:求解矩阵 S−1WSB 的广义本征值

接下来求解矩阵 S−1WSB 的广义本征值问题,从而得到线性判别“器”:


eig_vals, eig_vecs = np.linalg.eig(np.linalg.inv(S_W).dot(S_B)) for i in range(len(eig_vals)):    eigvec_sc = eig_vecs[:,i].reshape(4,1)      print('\nEigenvector {}: \n{}'.format(i+1, eigvec_sc.real))    print('Eigenvalue {:}: {:.2e}'.format(i+1, eig_vals[i].real))

得到

Eigenvector 1: [[-0.2049] [-0.3871] [ 0.5465] [ 0.7138]] Eigenvalue 1: 3.23e+01 Eigenvector 2: [[-0.009 ] [-0.589 ] [ 0.2543] [-0.767 ]] Eigenvalue 2: 2.78e-01 Eigenvector 3: [[ 0.179 ] [-0.3178] [-0.3658] [ 0.6011]] Eigenvalue 3: -4.02e-17 Eigenvector 4: [[ 0.179 ] [-0.3178] [-0.3658] [ 0.6011]] Eigenvalue 4: -4.02e-17

计算结果应当作何解释呢?从第一节线性代数课开始我们就知道,本征向量和本征值表示了一个线性变换的形变程度——本征向量是形变的方向;本征值是本征向量的尺度因数,刻画了形变的幅度。 

如果将LDA用于降维,本征向量非常重要,因为它们将会组成新特征子空间的坐标轴。对应的本征值表示了这些新坐标轴的信息量的多少。

再检查一遍计算过程,然后对本征值做进一步讨论。

检查本征向量-本征值的运算

要检查该运算是否正确,看其是否满足等式: 

for i in range(len(eig_vals)):    eigv = eig_vecs[:,i].reshape(4,1)    np.testing.assert_array_almost_equal(np.linalg.inv(S_W).dot(S_B).dot(eigv),                                         eig_vals[i] * eigv,                                         decimal=6, err_msg='', verbose=True) print('ok')

输出:

ok

第四步:选择线性判别“器”构成新的特征子空间

4.1 按本征值降序排列本征向量


本征向量只是定义了新坐标轴的方向,它们的大小都是单位长度1。


想要构成更低维的子空间,就得选择丢弃哪个(些)本征向量,所以我们得看看对应本征向量的那些本征值。 大体上说,对于数据的分布情况,本征值最小的那些本征向量所承载的信息最少,所以要舍弃的就是这些本征向量。 


将本征向量根据本征值的大小从高到低排序,然后选择前 k 个本征向量:


eig_pairs = [(np.abs(eig_vals[i]), eig_vecs[:,i]) for i in range(len(eig_vals))] # Sort the (eigenvalue, eigenvector) tuples from high to low eig_pairs = sorted(eig_pairs, key=lambda k: k[0], reverse=True) # Visually confirm that the list is correctly sorted by decreasing eigenvalues print('Eigenvalues in decreasing order:\n') for i in eig_pairs:    print(i[0])

得到

Eigenvalues in decreasing order: 32.2719577997 0.27756686384 5.71450476746e-15 5.71450476746e-15

可以看到有两个本征值接近0,不是因为它们不含信息量,而是浮点数精度的关系。其实,这后两个本征值应该恰好为0。 


在LDA中,线性判别器的数目最多是 c−1,c 是总的类别数,这是因为类内散布矩阵 SB 是 c 个秩为1或0的矩阵的和。 


注意到很少有完全共线的情况(所有样本点分布在一条直线上),协方差矩阵秩为1,这导致了只有一个非零本征值和一个对应的本征向量。 

现在,把“可释方差”表达为百分数的形式:


print('Variance explained:\n') eigv_sum = sum(eig_vals) for i,j in enumerate(eig_pairs):    print('eigenvalue {0:}: {1:.2%}'.format(i+1, (j[0]/eigv_sum).real))

得到

Variance explained: eigenvalue 1: 99.15% eigenvalue 2: 0.85% eigenvalue 3: 0.00% eigenvalue 4: 0.00%

第一个本征对是信息量最大的一组,如果我们考虑建立一个一维的向量空间,使用该本征对就不会丢失太多信息。


4.2 选择 k 个最大本征值对应的本征向量


按本征值的大小得到降序排列的本征对之后,现在就可以组建我们的 k×d-维本征向量矩阵 W 了(此时大小为 4×2),这样就从最初的4维特征空间降到了2维的特征空间。


W = np.hstack((eig_pairs[0][1].reshape(4,1), eig_pairs[1][1].reshape(4,1))) print('Matrix W:\n', W.real)

得到

Matrix W: [[-0.2049 -0.009 ] [-0.3871 -0.589 ] [ 0.5465  0.2543] [ 0.7138 -0.767 ]]


第五步:将样本变换到新的子空间中


使用上一步刚刚计算出的 4×2-维矩阵 W, 将样本变换到新的特征空间上: 


X_lda = X.dot(W) assert X_lda.shape == (150,2), "The matrix is not 150x2 dimensional."

得到

from matplotlib import pyplot as plt def plot_step_lda():    ax = plt.subplot(111)    for label,marker,color in zip(        range(1,4),('^', 's', 'o'),('blue', 'red', 'green')):        plt.scatter(x=X_lda[:,0].real[y == label],                y=X_lda[:,1].real[y == label],                marker=marker,                color=color,                alpha=0.5,                label=label_dict[label]                )    plt.xlabel('LD1')    plt.ylabel('LD2')    leg = plt.legend(loc='upper right', fancybox=True)    leg.get_frame().set_alpha(0.5)    plt.title('LDA: Iris projection onto the first 2 linear discriminants')    # hide axis ticks    plt.tick_params(axis="both", which="both", bottom="off", top="off",              labelbottom="on", left="off", right="off", labelleft="on")    # remove axis spines    ax.spines["top"].set_visible(False)      ax.spines["right"].set_visible(False)    ax.spines["bottom"].set_visible(False)    ax.spines["left"].set_visible(False)        plt.grid()    plt.tight_layout    plt.show() plot_step_lda()

上方散点图展示了我们通过 LDA 构建的新的特征子空间。可以看到第一个线性判别器“LD1”把不同类数据区分得不错,第二个线性判别器就不行了。其原因在上面已经做了简单解释。


  PCA 和 LDA 的对比

为了与使用线性判别分析得到的特征子空间作比较,我们将使用 scikit-learn 机器学习库中的 PCA 类。

文档看这里:

http://scikit-learn.org/stable/modules/generated/sklearn.decomposition.PCA.html。

方便起见,我们直接在 n_components 参数上设定了希望从输入数据集中得到的成分数量。

n_components : int, None or string Number of components to keep. if n_components is not set all components are kept:    n_components == min(n_samples, n_features)    if n_components == ‘mle’, Minka’s MLE is used to guess the dimension if 0 < n_components < 1,    select the number of components such that the amount of variance that needs to be explained    is greater than the percentage specified by n_components

但是在观察两种线性变换的结果之前,让我们快速复习一下 PCA 和 LDA 的目标:PCA 在整个数据集中寻找方差最大的坐标轴,而 LDA 则寻找对于类别区分度最佳的坐标轴。 

实际的降维步骤中,经常是LDA放在PCA之后使用。

from sklearn.decomposition import PCA as sklearnPCA sklearn_pca = sklearnPCA(n_components=2) X_pca = sklearn_pca.fit_transform(X) def plot_pca():    ax = plt.subplot(111)    for label,marker,color in zip(        range(1,4),('^', 's', 'o'),('blue', 'red', 'green')):        plt.scatter(x=X_pca[:,0][y == label],                y=X_pca[:,1][y == label],                marker=marker,                color=color,                alpha=0.5,                label=label_dict[label]                )    plt.xlabel('PC1')    plt.ylabel('PC2')    leg = plt.legend(loc='upper right', fancybox=True)    leg.get_frame().set_alpha(0.5)    plt.title('PCA: Iris projection onto the first 2 principal components')    # hide axis ticks    plt.tick_params(axis="both", which="both", bottom="off", top="off",              labelbottom="on", left="off", right="off", labelleft="on")    # remove axis spines    ax.spines["top"].set_visible(False)      ax.spines["right"].set_visible(False)    ax.spines["bottom"].set_visible(False)    ax.spines["left"].set_visible(False)        plt.tight_layout    plt.grid()    plt.show()

然后执行

plot_pca() plot_step_lda()

回想我们之前讨论的内容:PCA 获取数据集中方差最大的成分,而LDA给出不同类别间方差最大的坐标轴。


  使用 scikit-learn 中的 LDA

我们已经看到,线性判别分析是如何一步步实现的了。其实通过使用 scikit-learn 
机器学习库中的 LDA ,我们可以更方便地实现同样的结果。

from sklearn.discriminant_analysis import LinearDiscriminantAnalysis as LDA # LDA sklearn_lda = LDA(n_components=2) X_lda_sklearn = sklearn_lda.fit_transform(X, y)

作图:

def plot_scikit_lda(X, title):    ax = plt.subplot(111)    for label,marker,color in zip(        range(1,4),('^', 's', 'o'),('blue', 'red', 'green')):        plt.scatter(x=X[:,0][y == label],                    y=X[:,1][y == label] * -1, # flip the figure                    marker=marker,                    color=color,                    alpha=0.5,                    label=label_dict[label])    plt.xlabel('LD1')    plt.ylabel('LD2')    leg = plt.legend(loc='upper right', fancybox=True)    leg.get_frame().set_alpha(0.5)    plt.title(title)    # hide axis ticks    plt.tick_params(axis="both", which="both", bottom="off", top="off",              labelbottom="on", left="off", right="off", labelleft="on")    # remove axis spines    ax.spines["top"].set_visible(False)      ax.spines["right"].set_visible(False)    ax.spines["bottom"].set_visible(False)    ax.spines["left"].set_visible(False)        plt.grid()    plt.tight_layout    plt.show()

执行

plot_step_lda() plot_scikit_lda(X_lda_sklearn, title='Default LDA via scikit-learn')


  关于规范化

最近被问到了这个问题,所以我做一下说明:对特征做尺度变换,比如【规范化】,不会改变LDA的最终结果,所以这是可选步骤。的确,散布矩阵会因为特征的缩放而发生变化,而且本征向量也因此而改变。但是关键的部分在于,最终本征值不会变——唯一可见的不同只是成分轴的尺度大小。这在数学上是可以证明的(将来我可能在这儿插入一些公式)。

%matplotlib inline import pandas as pd import matplotlib.pyplot as plt import pandas as pd df = pd.read_csv('https://archive.ics.uci.edu/ml/machine-learning-databases/iris/iris.data', header=None) df[4] = df[4].map({'Iris-setosa':0, 'Iris-versicolor':1, 'Iris-virginica':2}) df.tail()

sepal length in cm sepal width in cm petal length in cm pedal width in cm class label
145 6.7 3.0 5.2 2.3 Iris-virginica
146 6.3 2.5 5.0 1.9 Iris-virginaica
147 6.5 3.0 5.2 2.0 Iris-virginaica
148 6.2 3.4 5.4 2.3 Iris-virginaica
149 5.9 3.0 5.1 1.8 Iris-virginaica

读取数据集,对 X 中的列做规范化。规范化就是把数据用均值做中心化、用标准差做单位化:

这样所有的列就都是 0 均值(μxstd=0)、标准差为 1 的了(\sigma_{x_{std}}=1)。


y, X = df.iloc[:, 4].values, df.iloc[:, 0:4].values X_cent = X - X.mean(axis=0) X_std = X_cent / X.std(axis=0)

接下来我简单复制了一下LDA的各个步骤,这些之前我们都讨论过了。为简便都写成了Python函数。

import numpy as np def comp_mean_vectors(X, y):    class_labels = np.unique(y)    n_classes = class_labels.shape[0]    mean_vectors = []    for cl in class_labels:        mean_vectors.append(np.mean(X[y==cl], axis=0))    return mean_vectors def scatter_within(X, y):    class_labels = np.unique(y)    n_classes = class_labels.shape[0]    n_features = X.shape[1]    mean_vectors = comp_mean_vectors(X, y)    S_W = np.zeros((n_features, n_features))    for cl, mv in zip(class_labels, mean_vectors):        class_sc_mat = np.zeros((n_features, n_features))                        for row in X[y == cl]:            row, mv = row.reshape(n_features, 1), mv.reshape(n_features, 1)            class_sc_mat += (row-mv).dot((row-mv).T)        S_W += class_sc_mat                              return S_W def scatter_between(X, y):    overall_mean = np.mean(X, axis=0)    n_features = X.shape[1]    mean_vectors = comp_mean_vectors(X, y)        S_B = np.zeros((n_features, n_features))    for i, mean_vec in enumerate(mean_vectors):          n = X[y==i+1,:].shape[0]        mean_vec = mean_vec.reshape(n_features, 1)        overall_mean = overall_mean.reshape(n_features, 1)        S_B += n * (mean_vec - overall_mean).dot((mean_vec - overall_mean).T)    return S_B def get_components(eig_vals, eig_vecs, n_comp=2):    n_features = X.shape[1]    eig_pairs = [(np.abs(eig_vals[i]), eig_vecs[:,i]) for i in range(len(eig_vals))]    eig_pairs = sorted(eig_pairs, key=lambda k: k[0], reverse=True)    W = np.hstack([eig_pairs[i][1].reshape(4, 1) for i in range(0, n_comp)])    return W

先把还没有做尺度变换的数据的本征值、本征向量和投影矩阵打印出来:

S_W, S_B = scatter_within(X, y), scatter_between(X, y) eig_vals, eig_vecs = np.linalg.eig(np.linalg.inv(S_W).dot(S_B)) W = get_components(eig_vals, eig_vecs, n_comp=2) print('EigVals: %s\n\nEigVecs: %s' % (eig_vals, eig_vecs)) print('\nW: %s' % W)

结果:

EigVals: [  2.0905e+01 +0.0000e+00j   1.4283e-01 +0.0000e+00j  -2.8680e-16 +1.9364e-15j  -2.8680e-16 -1.9364e-15j] EigVecs: [[ 0.2067+0.j      0.0018+0.j      0.4846-0.4436j  0.4846+0.4436j] [ 0.4159+0.j     -0.5626+0.j      0.0599+0.1958j  0.0599-0.1958j] [-0.5616+0.j      0.2232+0.j      0.1194+0.1929j  0.1194-0.1929j] [-0.6848+0.j     -0.7960+0.j     -0.6892+0.j     -0.6892-0.j    ]] W: [[ 0.2067+0.j  0.0018+0.j] [ 0.4159+0.j -0.5626+0.j] [-0.5616+0.j  0.2232+0.j] [-0.6848+0.j -0.7960+0.j]]

作图:

X_lda = X.dot(W) for label,marker,color in zip(        np.unique(y),('^', 's', 'o'),('blue', 'red', 'green')):    plt.scatter(X_lda[y==label, 0], X_lda[y==label, 1],                color=color, marker=marker)

再对规范化之后的数据集重复上述操作:

S_W, S_B = scatter_within(X_std, y), scatter_between(X_std, y) eig_vals, eig_vecs = np.linalg.eig(np.linalg.inv(S_W).dot(S_B)) W_std = get_components(eig_vals, eig_vecs, n_comp=2) print('EigVals: %s\n\nEigVecs: %s' % (eig_vals, eig_vecs)) print('\nW: %s' % W_std)

得到

EigVals: [  2.0905e+01   1.4283e-01  -6.7207e-16   1.1082e-15] EigVecs: [[ 0.1492 -0.0019  0.8194 -0.3704] [ 0.1572  0.3193 -0.1382 -0.0884] [-0.8635 -0.5155 -0.5078 -0.5106] [-0.4554  0.7952 -0.2271  0.7709]] W: [[ 0.1492 -0.0019] [ 0.1572  0.3193] [-0.8635 -0.5155] [-0.4554  0.7952]]

作图:

X_std_lda = X_std.dot(W_std) X_std_lda[:, 0] = -X_std_lda[:, 0] X_std_lda[:, 1] = -X_std_lda[:, 1] for label,marker,color in zip(        np.unique(y),('^', 's', 'o'),('blue', 'red', 'green')):    plt.scatter(X_std_lda[y==label, 0], X_std_lda[y==label, 1],                color=color, marker=marker)

可以看到,不管做不做尺度变化,本征值是一样的(要注意到,W 的秩是2,4维数据集中最小的两个本征值本来就应该是0)。并且,你也看到了,除了成分轴的尺度不太一样,以及图形做了中心对称翻转,最后的投影结果基本没有区别。


注1:文中出现了线性代数术语“eigenvalue”“eigenvector”,中文教材对应有“特征值”“本征值”两种常见译法。为了与“feature”相区分,本文使用“本征”翻译。


注2:文中提到 “k×d-维本征向量矩阵”,原文写作 “k×d-dimensional eigenvector matrix”,指的是“k个d维的本征向量组成的矩阵”。 


中文与公式混合排版之后可能引发歧义,故在此做单独解释。



译者 / 李宇琛 Asher Li



原文来源

http://sebastianraschka.com/Articles/2014_python_lda.html 


关注 AI 研习社(okweiwu),回复 1 领取

【超过 1000G 神经网络/AI/大数据、教程、论文!】


后台回复 “我要进群” 加入 AI 技术讨论群


谷歌开发大使Joshua Gordon:“所谓深度学习,就是让算法帮你解决问题”

▼▼▼

登录查看更多
12

相关内容

【2020新书】监督机器学习,156页pdf,剑桥大学出版社
专知会员服务
154+阅读 · 2020年6月27日
基于多头注意力胶囊网络的文本分类模型
专知会员服务
79+阅读 · 2020年5月24日
专知会员服务
142+阅读 · 2020年5月19日
【经典书】机器学习高斯过程,266页pdf
专知会员服务
235+阅读 · 2020年5月2日
【普林斯顿大学-微软】加权元学习,Weighted Meta-Learning
专知会员服务
40+阅读 · 2020年3月25日
【干货书】机器学习Python实战教程,366页pdf
专知会员服务
347+阅读 · 2020年3月17日
Transformer文本分类代码
专知会员服务
118+阅读 · 2020年2月3日
NLP基础任务:文本分类近年发展汇总,68页超详细解析
专知会员服务
58+阅读 · 2020年1月3日
机器学习入门的经验与建议
专知会员服务
94+阅读 · 2019年10月10日
一文读懂线性回归、岭回归和Lasso回归
CSDN
34+阅读 · 2019年10月13日
一步步教你轻松学主成分分析PCA降维算法
文本挖掘中特征选择(附python实现)
七月在线实验室
4+阅读 · 2018年5月22日
机器学习(32)之典型相关性分析(CCA)详解 【文末有福利......】
机器学习算法与Python学习
12+阅读 · 2017年12月16日
机器学习(30)之线性判别分析(LDA)原理详解
机器学习算法与Python学习
11+阅读 · 2017年12月6日
机器学习(27)【降维】之主成分分析(PCA)详解
机器学习算法与Python学习
9+阅读 · 2017年11月22日
BAT题库 | 机器学习面试1000题系列(第211~215题)
七月在线实验室
9+阅读 · 2017年11月22日
【直观详解】什么是PCA、SVD
机器学习研究会
5+阅读 · 2017年11月10日
机器学习(7)之感知机python实现
机器学习算法与Python学习
4+阅读 · 2017年7月23日
Efficient and Effective $L_0$ Feature Selection
Arxiv
5+阅读 · 2018年8月7日
Arxiv
9+阅读 · 2018年3月28日
Arxiv
3+阅读 · 2018年3月13日
Arxiv
3+阅读 · 2018年2月24日
VIP会员
最新内容
战略前沿人工智能的再思考(中文)
专知会员服务
5+阅读 · 5月29日
《量化地基防空系统间接效应的博弈论方法》
专知会员服务
5+阅读 · 5月29日
“史诗怒火行动”中美军损失的作战飞机
专知会员服务
5+阅读 · 5月29日
ICML 2026 | 理解上下文持续学习中的泛化与遗忘
专知会员服务
5+阅读 · 5月28日
Agent Harness综述:大模型智能体执行器工程全景
专知会员服务
15+阅读 · 5月28日
《基于理论的威慑效能评估》
专知会员服务
8+阅读 · 5月28日
相关VIP内容
【2020新书】监督机器学习,156页pdf,剑桥大学出版社
专知会员服务
154+阅读 · 2020年6月27日
基于多头注意力胶囊网络的文本分类模型
专知会员服务
79+阅读 · 2020年5月24日
专知会员服务
142+阅读 · 2020年5月19日
【经典书】机器学习高斯过程,266页pdf
专知会员服务
235+阅读 · 2020年5月2日
【普林斯顿大学-微软】加权元学习,Weighted Meta-Learning
专知会员服务
40+阅读 · 2020年3月25日
【干货书】机器学习Python实战教程,366页pdf
专知会员服务
347+阅读 · 2020年3月17日
Transformer文本分类代码
专知会员服务
118+阅读 · 2020年2月3日
NLP基础任务:文本分类近年发展汇总,68页超详细解析
专知会员服务
58+阅读 · 2020年1月3日
机器学习入门的经验与建议
专知会员服务
94+阅读 · 2019年10月10日
相关资讯
一文读懂线性回归、岭回归和Lasso回归
CSDN
34+阅读 · 2019年10月13日
一步步教你轻松学主成分分析PCA降维算法
文本挖掘中特征选择(附python实现)
七月在线实验室
4+阅读 · 2018年5月22日
机器学习(32)之典型相关性分析(CCA)详解 【文末有福利......】
机器学习算法与Python学习
12+阅读 · 2017年12月16日
机器学习(30)之线性判别分析(LDA)原理详解
机器学习算法与Python学习
11+阅读 · 2017年12月6日
机器学习(27)【降维】之主成分分析(PCA)详解
机器学习算法与Python学习
9+阅读 · 2017年11月22日
BAT题库 | 机器学习面试1000题系列(第211~215题)
七月在线实验室
9+阅读 · 2017年11月22日
【直观详解】什么是PCA、SVD
机器学习研究会
5+阅读 · 2017年11月10日
机器学习(7)之感知机python实现
机器学习算法与Python学习
4+阅读 · 2017年7月23日
Top
微信扫码咨询专知VIP会员