谷歌AI动画接龙:只用头尾两帧图像,片刻生成完整视频!

2019 年 5 月 31 日 新智元




  新智元报道  

来源:VentureBeat

编辑:大明

【新智元导读】谷歌研究人员利用3D卷积网络打造视频生成新系统,只需要视频的第一帧和最后一帧,就能生成完整合理的整段视频,是不是很神奇?


漫画书秒变动画片了解一下?


想象一下,现在你的手中有一段视频的第一帧和最后一帧图像,让你负责把中间的图像填进去,生成完整的视频,从现有的有限信息中推断出整个视频。你能做到吗?


这可能听起来像是一项不可能完成的任务,但谷歌人工智能研究部门的研究人员已经开发出一种新系统,可以由视频第一帧和最后一帧生成“似是而非的”视频序列,这个过程被称为“inbetween”。


“想象一下,如果我们能够教一个智能系统来将漫画自动变成动画,会是什么样子?如果真实现了这一点,无疑将彻底改变动画产业。“该论文的共同作者写道。“虽然这种极其节省劳动力的能力仍然超出目前最先进的水平,但计算机视觉和机器学习技术的进步正在使这个目标的实现越来越接近。”


原理与模型结构

 

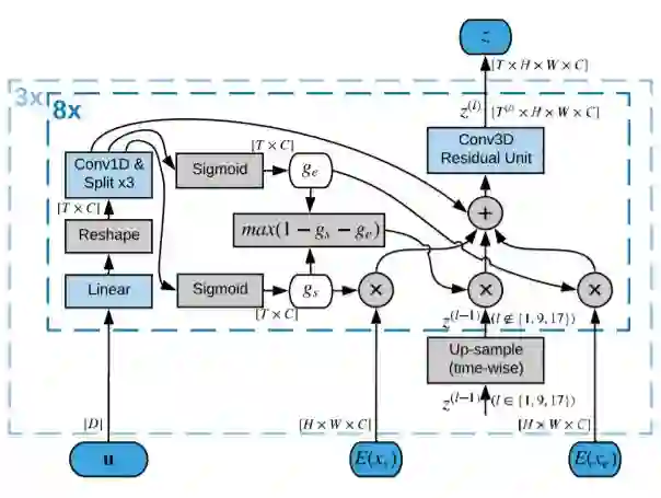
这套AI系统包括一个完全卷积模型,这是是受动物视觉皮层启发打造的深度神经网络,最常用于分析视觉图像。它由三个部分组成:2D卷积图像解码器,3D卷积潜在表示生成器,以及视频生成器。

图1:视频生成模型示意图


图像解码器将来自目标视频的帧映射到潜在空间,潜在表示生成器学习对包含在输入帧中的信息进行合并。最后,视频生成器将潜在表示解码为视频中的帧。


研究人员表示,将潜在表示生成与视频解码分离对于成功实现中间视频至关重要,直接用开始帧和结束帧的编码表示生成视频的结果很差。为了解决这个问题,研究人员设计了潜在表示生成器,对帧的表示进行融合,并逐步增加生成视频的分辨率。


图2:模型生成的视频帧序列图,对于每个数据集上方的图表示模型生成的序列,下方为原视频,其中首帧和尾帧用于生成模型的采样。


实验结果

 

为了验证该方法,研究人员从三个数据集中获取视频 -  BAIR机器人推送,KTH动作数据库和UCF101动作识别数据集 - 并将这些数据下采样至64 x 64像素的分辨率。每个样本总共包含16帧,其中的14帧由AI系统负责生成。


研究人员为每对视频帧运行100次模型,并对每个模型变量和数据集重复10次,在英伟达Tesla V100显卡平台上的训练时间约为5天。结果如下表所示:


表1:我们报告了完整模型和两个基线的平均FVD,对每个模型和数据集重复10次,每次运行100个epoch,表中FVD值越低,表示对应生成视频的质量越高。


表2:使用直接3D卷积和基于的替代方法的模型的平均SSIM

RNN(SDVI)或光流(SepConv和SuperSloMo),数值越高越好。


研究人员表示,AI生成的视频帧序列在风格上与给定的起始帧和结束帧保持一致,而且看上去说得通。“令人惊喜的是,这种方法可以在如此长的时间段内实现视频生成,”该团队表示,“这可能给未来的视频生成技术研究提供了一个有用的替代视角。”


参考链接:

https://venturebeat.com/2019/05/28/googles-ai-can-create-videos-from-start-and-end-frames-alone/


论文链接:

https://arxiv.org/pdf/1905.10240.pdf



新智元春季招聘开启,一起弄潮AI之巅!

岗位详情请戳:


【加入社群】


新智元AI技术+产业社群招募中,欢迎对AI技术+产业落地感兴趣的同学,加小助手微信号:aiera2015_2   入群;通过审核后我们将邀请进群,加入社群后务必修改群备注(姓名 - 公司 - 职位;专业群审核较严,敬请谅解)。


登录查看更多
3

相关内容

【SIGIR2020】用于冷启动推荐的内容感知神经哈希
专知会员服务
23+阅读 · 2020年6月2日
必读的10篇 CVPR 2019【生成对抗网络】相关论文和代码
专知会员服务
33+阅读 · 2020年1月10日
【ICIP2019教程-NVIDIA】图像到图像转换,附7份PPT下载
专知会员服务
55+阅读 · 2019年11月20日
深度学习视频中多目标跟踪:论文综述
专知会员服务
94+阅读 · 2019年10月13日
仅训练996个剧本,迪士尼用AI自动生成动画
机器学习算法与Python学习
7+阅读 · 2019年4月20日
基于姿态的人物视频生成【附PPT与视频资料】
人工智能前沿讲习班
32+阅读 · 2019年1月28日
视频生成的前沿论文,看我们推荐的7篇就够了
人工智能前沿讲习班
34+阅读 · 2018年12月30日
【学界】惊了,DeepFakes不仅骗过人,还能骗过人脸识别系统?!
Arxiv
102+阅读 · 2020年3月4日
Arxiv
4+阅读 · 2019年4月3日
Recurrent Fusion Network for Image Captioning
Arxiv
3+阅读 · 2018年7月31日
Arxiv
8+阅读 · 2018年3月17日
Arxiv
7+阅读 · 2018年3月12日
Arxiv
6+阅读 · 2018年1月29日
VIP会员
最新内容
AutoScientists:自组织智能体团队驱动长期科学实验
战略前沿人工智能的再思考(中文)
专知会员服务
2+阅读 · 今天14:53
《量化地基防空系统间接效应的博弈论方法》
专知会员服务
2+阅读 · 今天14:51
“史诗怒火行动”中美军损失的作战飞机
专知会员服务
2+阅读 · 今天14:38
ICML 2026 | 理解上下文持续学习中的泛化与遗忘
专知会员服务
5+阅读 · 5月28日
Agent Harness综述:大模型智能体执行器工程全景
专知会员服务
13+阅读 · 5月28日
《基于理论的威慑效能评估》
专知会员服务
8+阅读 · 5月28日
相关资讯
仅训练996个剧本,迪士尼用AI自动生成动画
机器学习算法与Python学习
7+阅读 · 2019年4月20日
基于姿态的人物视频生成【附PPT与视频资料】
人工智能前沿讲习班
32+阅读 · 2019年1月28日
视频生成的前沿论文,看我们推荐的7篇就够了
人工智能前沿讲习班
34+阅读 · 2018年12月30日
【学界】惊了,DeepFakes不仅骗过人,还能骗过人脸识别系统?!
相关论文
Arxiv
102+阅读 · 2020年3月4日
Arxiv
4+阅读 · 2019年4月3日
Recurrent Fusion Network for Image Captioning
Arxiv
3+阅读 · 2018年7月31日
Arxiv
8+阅读 · 2018年3月17日
Arxiv
7+阅读 · 2018年3月12日
Arxiv
6+阅读 · 2018年1月29日
Top
微信扫码咨询专知VIP会员