教你在经典计算机上搭建一个量子神经网络,已开源

2020 年 8 月 30 日 AI科技评论

作者 | Sashwat Anagolum

编译 | 张大倩陈彩娴

本文将教你搭建简单的二分类量子神经网络,并在经典计算机上运行,该项目已经开源。构建量子神经网络与传统的方式并不完全相同——它没有使用带权重和偏置的神经元,而是将输入数据编码为一系列量子比特,应用一系列量子门,并改变门的参数,使损失函数最小化。
项目地址:https://github.com/SashwatAnagolum/DoNew/tree/master/QNN
虽然这听起来很新鲜,但其根本思想和传统还是一样的——改变参数集,使网络预测和输入标签之间的差异最小化,并且同样基于反向传播算法。
接下来,我们首先会介绍传统神经网络的工作原理,如果你对此已经很熟悉,可以直接跳到第3节阅读如何搭建量子神经网络。

1

权重、偏差和构建模块

几乎人人都知道神经网络。如今,许多酷炫的技术都使用了神经网络,包括自动驾驶汽车、语音助手和恶搞名人照片的软件等。
神经网络与其他算法的不同之处在于:我们不用写下一长串的规则,只需要向神经网络提供数据即可。
我们可以从IRIS数据集中提取一些数据注入神经网络,这些数据包括三种花的信息,然后网络会预测是哪种花。
神经网络由大量的神经元组成,如下所示:
大多神经元会含有多个数字输入(上图的蓝色圆圈),然后将每个输入与表示输入重要性的权重(w_i)相乘。权重越大,相关输入就越重要。
偏差被视为另一种权重,只是它所与之相乘的输入值始终为1。将所有加权输入进行相加后,得到输出值。
               
然后应用激活函数,我们将得到神经元的激活值,如上图中的紫色圆圈所表示。激活值通过一个函数(上图中的蓝色长方形)传递,输出神经元:
               
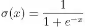
我们可以通过更改激活函数来改变神经元的行为。比方说,我们可以进行一个非常简单的转换,例如:
               
但实际上,我们应用的是更复杂的函数,例如Sigmoid函数:
               
神经元怎样才能发挥作用呢?
神经元可以根据所接收到的输入来做决策。比方说,我们可以向神经元注入以下三个问题的答案,然后让神经元来猜测我们下次去意大利用餐时是想吃披萨还是想吃意大利面:
  • 问题1:我喜欢这家餐厅的意大利面吗?

  • 问题2:这家餐厅有意大利青酱吗?

  • 问题3:这家餐厅有三层奶酪披萨吗?

抛开可能存在的饮食健康问题不说,我们来看一下神经元会有什么表现:
在对输入进行编码时,我们用0代表“否”,1代表“是”。同样地,对输出进行编码时,我们可以分别用0指代意大利面、用1来指代披萨:
接着,我们用阶跃函数(step function)来转换神经元的激活值:
               
只需要一个神经元,我们就可以捕捉多种不同的决策行为:
  • 决策1:如果我们喜欢这家餐厅的意大利面,我们就会点意大利面,除非青酱卖完,或者这家餐厅提供三层奶酪比萨。

  • 决策2:如果我们不喜欢这家餐厅的意大利面,我们就会点披萨,除非还有青酱,或者没有三层奶酪披萨。

或者换个方式:我们可以对神经元进行编程,让这个神经元与一组特定的偏好对应。
如果我们只是想要预测下次出门吃什么,我们很容易就能找出神经元的一组权重和偏差。但如果我们要在一个规模齐全的网络上进行同样的预测,那该怎么办?
预测过程可能要耗很长一段时间。
幸运的是,我们不用猜测所需的权重值,只需创建可以改变神经网络参数(比如权重、偏差甚至结构)的算法,以便网络可以学习如何解决问题。

2

“以退为进”

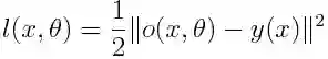
在理想情况下,神经网络的预测应该与输入关联的标记相同。因此,预测与实际输出的差异越小,神经网络所学到的权重就越优秀。
我们用一个损失函数来量化这种差异。损失函数可以采用任何形式,例如二次损失函数(quadratic loss function):
               
y(x)是理想输出。当馈送带有参数θ的数据x时, 是神经网络的输出。由于损失始终为非负值,一旦取值接近于0,我们就知道网络已经学会了一个好的参数组。当然,这个过程中可能还会出现其他问题,例如过拟合,但这些可以暂时忽略。
应用损失函数,我们可以找到网络设置的最佳参数是:
               
因此,我们要做的不是猜测权重,而是在使用参数θ时,应用梯度下降技术将C最小化:
               
这时,我们需要留意,增加θ_i的值后,损失会如何变化,然后更新θ_i,以使损失稍微降低。η是一个很小的数字,它的变化取决于我们更新θ_i时所做的改变。
为什么η是一个小的数字呢?因为我们可以对它进行调整,以保证在每次更新后,数据x的损失会接近0。在多数情况下,这并不是一个好的解决方法,因为这虽然可以减少当下x的损失,但其他馈送到网络的数据样本很可能会因此而表现较差。
想必现在大家都已掌握了基本的原理,接下来我们来看看要如何构建一个量子神经网络(quantum neural network)。

3

量子神经网络工作原理

首先,我们向网络提供一些数据x,这些数据x通过特征图传递——通过特征图,我们可以将输入的数据转换成某种形式,从而构建输入量子态:
               
我们使用的特征图可能是任何形式,比如将一个二维向量x变换成一个角。
               
一旦x被编码为量子态,我们应用一系列量子门:
               
网络的输出,我们称之为π(x,0),是最后一个量子比特被测量为 |1〉状态的概率(Z_n-1代表将Z门应用到最后的量子比特),加上一个经典的偏置项。
          
最后,我们在输出的数据中取出和 x 有关联的标签,用来计算样本上的损失——我们将使用二次损失,如下:
               
从输出的数据中可以得到网络 p 的预测:
               
接下来要计算损失函数 的梯度,当然完全可以使用传统的方法,但我们需要的是一种在量子计算机上计算的方法。

4

全新的计算梯度的方法

我们先求损失函数对θ_i的微分:
               
展开最后一项:
通过求导,我们可以去掉常数项。
               
现在,使用乘积法则,我们可以进一步展开:
上面这个公式读起来有一点痛苦,但是通过 Hermitian 共轭,可以转化为下面这个简单的公式:
               
U(θ) 由多个门组成,每一个门又由不同的参数控制,求U的偏导数只需要求门U_i(θ_i)对θ_i的偏导数:
我们把U_i定义为相同的形式,称为G门,当然形式不是唯一的。
               
定义了U_i的形式后,就能找到它的导数:
               
幸运的是,我们可以用G门来表示导数:
               
所以剩下的就是想办法构造出一个电路来得到所需的内积形式:
               
Hadamard测试是最简单的方法——首先,我们准备好输入的量子态,并将辅助态制备为叠加态:
               
现在对|ψ>应用Z_n-1B,约束辅助态是|1>:
               
然后翻转辅助态,用A做同样的操作:
               
最后,对辅助态使用另一个Hadamard门:
               
现在辅助态等于0的概率是:
               
因此如果我们用U(θ)代替B,用U(θ)的共轭对θ_i的导数来代替A,然后辅助量子比特为0的概率将会给我们π(x,θ)对θ_i的梯度。
很好!我们找到了一种在量子计算机上解析计算梯度的方法——现在剩下的就是建立我们的量子神经网络了。

5

建立量子神经网络

我们导入所有模块:
看看我们的数据,这是一版删除了一个类的IRIS数据集:
我们需要从标签中分离特征(前四列):
构建一个函数来做特性映射。
由于输入向量是归一化的,并且是四维的,对于映射有一个超级简单的选择——使用2个量子比特来保存编码的数据,并使用一个映射将输入向量重新创建为量子态。
为此,我们需要两个函数。一个函数从向量中提取角度。
另一个函数将角度转换成量子态。
这样讲解可能有点令人困惑,但是你并不一定要理解QNN是如何构建的。如果你想了解构建原理可以阅读这些代码。
代码地址:https://github.com/SashwatAnagolum/launchpad/blob/master/tutorials/load_probability_distributions.ipynb
现在可以编写实现U(θ)所需的函数了,我们将采取RY门和CX门交替层的形式来实现函数。
为什么需要CX层?如果不把它们包括进来,就没办法执行纠缠操作,这将限制网络能够涉及的希尔伯特空间的范。使用CX门,网络可以捕捉量子比特之间的交互。
我们从G 门开始:
接下来,操作CX门:
现在把这些结合在一起得到U(θ):
接下来,我们创建一个函数来获取网络的输出,另一个函数将这些输出转换为类别预测:      
现在我们可以构建一个函数,在网络执行上前向传递。
紧接着,需要写出所有关于测量梯度的函数。 首先,我们必须能够应用控制版本的U(θ):
使用这个,我们可以创建一个函数并得出期望值:
现在我们可以算出损失函数的梯度,最后做的乘法是为了得到π(x, θ) - y(x) 梯度项:
一旦我们有了梯度,就可以使用梯度下降来更新网络参数,“动量”技巧可以帮助加快训练时间:
现在我们可以建立自己的损失函数和准确率函数,然后就可以观察网络训练的情况:
最后,我们创建训练网络的函数,并调用它:
                      
我们传递给np.random.sample()方法的数字决定了参数集的大小——第一个数字(5)是G层的数量。
这是我在测试5层网络、15次迭代后得到的数据输出:
这些数据看起来是相当不错——我们在验证集上达到了100%的准确率,这意味着网络成功地覆盖了边缘测试示例!

6

结语

我们成功建立了量子神经网络,太棒了!可以使用几种方法来进一步降低损失,例如训练网络进行更多的迭代,或者调整超参数:如批量大小和学习率。另一个很酷的方法是为U(θ)尝试选择不同的门。
原文链接:https://towardsdatascience.com/quantum-machine-learning-learning-on-neural-networks-fdc03681aed3

[博文视点赠书福利]

AI科技评论联合博文视点赠送周志华教授“森林树”十五本,在“周志华教授与他的森林书”一文留言区留言,谈一谈你和集成学习有关的学习、竞赛等经历。

AI 科技评论将会在留言区选出15名读者,每人送出《集成学习:基础与算法》一本。

活动规则:

1. 在“周志华教授与他的森林书”留言区留言,留言点赞最高的前 15 位读者将获得赠书。获得赠书的读者请联系 AI 科技评论客服(aitechreview)。

2. 留言内容会有筛选,例如“选我上去”等内容将不会被筛选,亦不会中奖。

3. 本活动时间为2020年8月23日 - 2020年8月30日(23:00),活动推送内仅允许中奖一次

阅读原文,直达“ KDD”小组,了解更多会议信息!

登录查看更多
0

相关内容

【干货书】Python数据科学入门,464页pdf
专知会员服务
73+阅读 · 2020年9月20日
专知会员服务
52+阅读 · 2020年9月2日
【IJCAJ 2020】多通道神经网络 Multi-Channel Graph Neural Networks
专知会员服务
26+阅读 · 2020年7月19日
最新《自动微分手册》77页pdf
专知会员服务
104+阅读 · 2020年6月6日
【书籍】深度学习框架:PyTorch入门与实践(附代码)
专知会员服务
168+阅读 · 2019年10月28日
卷积神经网络数学原理解析
算法与数学之美
20+阅读 · 2019年8月23日
100行Python代码,轻松搞定神经网络
大数据文摘
4+阅读 · 2019年5月2日
一个神经网络实现4大图像任务,GitHub已开源
TensorFlow实现神经网络入门篇
机器学习研究会
10+阅读 · 2017年11月19日
神经网络理论基础及 Python 实现
Python开发者
6+阅读 · 2017年7月15日
Arxiv
1+阅读 · 2020年10月14日
Arxiv
0+阅读 · 2020年10月12日
Arxiv
0+阅读 · 2020年10月9日
Panoptic Feature Pyramid Networks
Arxiv
3+阅读 · 2019年1月8日
Arxiv
3+阅读 · 2018年10月25日
Arxiv
24+阅读 · 2018年10月24日
Arxiv
23+阅读 · 2018年10月1日
Neural Arithmetic Logic Units
Arxiv
5+阅读 · 2018年8月1日
Relational recurrent neural networks
Arxiv
8+阅读 · 2018年6月28日
VIP会员
最新内容
美陆军设想无人系统司令部
专知会员服务
1+阅读 · 今天13:45
【博士论文】已对齐人工智能系统的持久脆弱性
专知会员服务
0+阅读 · 今天13:52
扭曲还是编造?视频大语言模型幻觉研究综述
专知会员服务
0+阅读 · 今天13:41
《采用系统思维应对混合战争》125页
专知会员服务
2+阅读 · 今天12:47
战争机器学习:数据生态系统构建(155页)
专知会员服务
6+阅读 · 今天8:10
内省扩散语言模型
专知会员服务
5+阅读 · 4月14日
国外反无人机系统与技术动态
专知会员服务
4+阅读 · 4月14日
相关VIP内容
相关资讯
卷积神经网络数学原理解析
算法与数学之美
20+阅读 · 2019年8月23日
100行Python代码,轻松搞定神经网络
大数据文摘
4+阅读 · 2019年5月2日
一个神经网络实现4大图像任务,GitHub已开源
TensorFlow实现神经网络入门篇
机器学习研究会
10+阅读 · 2017年11月19日
神经网络理论基础及 Python 实现
Python开发者
6+阅读 · 2017年7月15日
相关论文
Arxiv
1+阅读 · 2020年10月14日
Arxiv
0+阅读 · 2020年10月12日
Arxiv
0+阅读 · 2020年10月9日
Panoptic Feature Pyramid Networks
Arxiv
3+阅读 · 2019年1月8日
Arxiv
3+阅读 · 2018年10月25日
Arxiv
24+阅读 · 2018年10月24日
Arxiv
23+阅读 · 2018年10月1日
Neural Arithmetic Logic Units
Arxiv
5+阅读 · 2018年8月1日
Relational recurrent neural networks
Arxiv
8+阅读 · 2018年6月28日
Top
微信扫码咨询专知VIP会员