【初学者系列】Factorization Machines 因子分解机详解

2019 年 8 月 17 日 专知
导读

Factorization Machines (FM)因子分解机是Steffen Rendle等人于2010年提出基于矩阵分解的机器学习算法,该模型结合了支持向量机(SVM)和因子分解模型的优点。本文详细介绍了FM的模型表示、推到过程以及使用FM实现一个简单的二分类任务。



FM为什么可以工作  

01


Factorization Machines (FM)是一种通用的预测器,可用于任何实值特征向量。与支持向量机一样,FM使用分解参数对变量之间的所有交互进行建模。因此,即使在支持向量机失效的推荐系统中,FM也能够估计出交互性。并且对于稀疏数据,FM可以很好地估计变量间的相互作用。


下面我们以论文中给的电影评分数据,通过实际的例子来解释为什么FM对于稀疏数据有很好的表现。数据集中每一条记录都包含了哪个用户u在什么时间t对哪部电影i打了多少分r。假定用户集U和电影集I分别为:

则数据集S为:


利用观测数据集S构造的特征向量与标签如下图所示:

假设我们要估计爱丽丝(A)和《星际迷航》(ST)之间的相互作用,以预测A对ST的评级。显然,在训练数据中不存在变量x_A和x_ST都是非零的,因此直接估计将不会导致相互作用(w_{A,ST}=0)。但是,在这种情况下,FM可以通过因子化的相互作用参数<v_A,v_ST>,估计出A与ST之间的相互作用。


  • 由于鲍勃对《星际迷航记》与《星球大战》两部电影都有相似的评分。故《星际迷航记》(ST)的因子向量很可能与《星球大战》(SW)中的因子向量相似。

  • 这意味着爱丽丝(A)与《星际迷航》中的因子向量的点积(即相互作用)将与爱丽丝(A)与《星球大战》中的一个因子向量相似。


原理

02


与传统线性模型不用的是因子分解机(FM)考虑了两个互异的特征向量之间的相互关系,在传统线性模型的基础上加入了交叉项。度为2的模型方程定义为:

上图中,红色框部分就是传统的线性模型,黄色框部分为交叉项。


  • w_0是全局偏置

  • w_i为第i个变量的权重

  • w_{i,j}是第i个和第j个变量之间的权重,模拟第i个变量与第j个变量间的相互关系


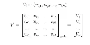
由于直接在交叉项 x_i,x_j 的前面加上交叉系数 w_{ij }的方式,在观察样本中未出现交互的特征分量时,不能对相应的参数进行估计,故文章作者引入了辅助向量V_i=(v_{i1},v_{i2}, ..., v_{ik})利用<V_i,V_j>来对w{i,j}进行估计:

其中:

  • <.,.>为两个大小为K的向量的点积:

V中的行vi描述了具有k个因子的第i个变量。K是定义分解的维度的超参数,k 的大小称为 FM 算法模型的度。

tips:k值的选取:若数据为稀疏的矩阵,k取较小值。


计算

03


接下来,将展示如何从计算的角度来应用FM。


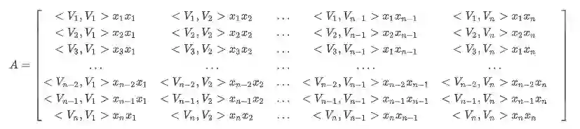
在FM模型方程中,交叉项是最难计算的部分,对于交叉项的推倒,我们可以从矩阵的角度来理解。


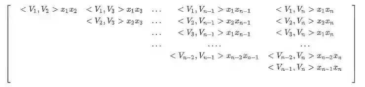
1)首先根据[<V_1,V_1>x_ix_j,]定义一个n*n的矩阵

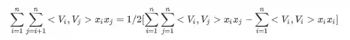
可以由矩阵A中观察到交叉项为矩阵A中除去对角线之后上三角元素的和:



  • 此矩阵中所有元素的和为:

  • 对角线元素之和为:

且矩阵中上、下三角元素之和相等,故:

2)由于

 故


至此FM模型的目标函数可以表示为:

tips:通常添加L2正则项到优化目标中以防止过度拟合。


可以通过梯度下降方法(SGD)有效地学习FM的模型参数(w_0,w_i和V)

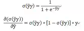
1)无论选择什么形式的损失函数,都可以先计算预测输出y的偏导:

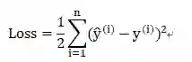
2)损失函数的选取:

  • 回归问题:选择最小均方误差作为损失函数,即: 

       求偏导得:

       即此损失函数下的梯度为:

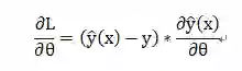
  • 分类问题:选择对数损失函数,即:

       其中:

       即此损失函数下的梯度为:


 实践

04

在了解了原理之后,让我们动手实践一下,利用FM实现一个简单的二分类!

  • 加载数据

    训练数据与测试数据各两百个。

  • 初始化参数

    将v按照正态分布进行随机初始化,w与w_0初始化为0。

  • 计算

    在该部分主要计算损失函数以及准确率。

  •  保存模型 

  • 梯度下降法进行训练    

    开始训练,并将训练得到的w_0,w,v保存在weight_FM中。

      训练结果如下:

      训练得到的权重

  • 加载模型并保存预测结果    

  • 测试

      部分测试结果如下:

至此,我们完成了用FM算法实现简单二分类的实践。


论文链接:https://www.csie.ntu.edu.tw/~b97053/paper/Rendle2010FM.pdf


参考链接:

https://github.com/GreenArrow2017/MachineLearning/tree/master/MachineLearning


https://github.com/Chaucergit/Code-and-Algorithm/tree/master/ML/3.Factorization%20Machine


获取代码

请关注专知公众号(点击上方蓝色专知关注

后台回复“初学者系列FM”即可获取数据集以及全部代码。


-END-

专 · 知


专知,专业可信的人工智能知识分发,让认知协作更快更好!欢迎登录www.zhuanzhi.ai,注册登录专知,获取更多AI知识资料!



欢迎微信扫一扫加入专知人工智能知识星球群,获取最新AI专业干货知识教程视频资料和与专家交流咨询!



请加专知小助手微信(扫一扫如下二维码添加),加入专知人工智能主题群,咨询技术商务合作~

专知《深度学习:算法到实战》课程全部完成!560+位同学在学习,现在报名,限时优惠!网易云课堂人工智能畅销榜首位!

点击“阅读原文”,了解报名专知《深度学习:算法到实战》课程

登录查看更多
37

相关内容

专知会员服务
119+阅读 · 2019年12月24日
【中科大徐童】多模态语义理解与关联
专知会员服务
83+阅读 · 2019年12月7日
从模型到应用,一文读懂因子分解机
AI100
10+阅读 · 2019年9月6日
初学者系列:Deep FM详解
专知
110+阅读 · 2019年8月26日
初学者系列:推荐系统Wide & Deep Learning详解
一文读懂FM算法优势,并用python实现!(附代码)
LibRec 每周算法:NFM (SIGIR'17)
LibRec智能推荐
8+阅读 · 2017年10月17日
机器学习(13)之最大熵模型详解
机器学习算法与Python学习
7+阅读 · 2017年8月24日
VIP会员
最新内容
《自动化战略情报管控》
专知会员服务
1+阅读 · 今天14:31
得失评估:审视对伊朗战争的轨迹(简报)
专知会员服务
1+阅读 · 今天14:19
【CMU博士论文】迈向可解释机器学习的理论基础
专知会员服务
1+阅读 · 今天12:23
基于数据优化的人机协同与机器人僚机
专知会员服务
5+阅读 · 今天2:08
相关VIP内容
专知会员服务
119+阅读 · 2019年12月24日
【中科大徐童】多模态语义理解与关联
专知会员服务
83+阅读 · 2019年12月7日
相关资讯
从模型到应用,一文读懂因子分解机
AI100
10+阅读 · 2019年9月6日
初学者系列:Deep FM详解
专知
110+阅读 · 2019年8月26日
初学者系列:推荐系统Wide & Deep Learning详解
一文读懂FM算法优势,并用python实现!(附代码)
LibRec 每周算法:NFM (SIGIR'17)
LibRec智能推荐
8+阅读 · 2017年10月17日
机器学习(13)之最大熵模型详解
机器学习算法与Python学习
7+阅读 · 2017年8月24日
Top
微信扫码咨询专知VIP会员