教程 | 如何理解KL散度的不对称性

2018 年 3 月 1 日 机器之心 邱陆陆

机器之心原创

作者:邱陆陆


众所周知,多被用于量化分布间的差异的 KL 散度是不对称的。今天我们来聊一聊,两个分布的一对 KL 散度之间究竟有什么不同。


为了讨论这个知识点,我们需要掌握(或者暂且当做已知)的先决知识点有:


1 自信息:符合分布 P 的某一事件 x 出现,传达这条信息所需的最少信息长度为自信息,表达为  


2 熵:从分布 P 中随机抽选一个事件,传达这条信息所需的最优平均信息长度为香农熵,表达为 


3 交叉熵:用分布 P 的最佳信息传递方式来传达分布 Q 中随机抽选的一个事件,所需的平均信息长度为交叉熵,表达为 


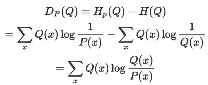
4 KL 散度:用分布 P 的最佳信息传递方式来传达分布 Q,比用分布 Q 自己的最佳信息传递方式来传达分布 Q,平均多耗费的信息长度为 KL 散度,表达为 D_p(Q) 或 D_KL(Q||P),KL 散度衡量了两个分布之间的差异。



注意,如果表达成 D_p(Q)  形式,要传达的信息所属的分布在括号内;如果表达成 D_KL(Q||P) 形式,要传达的信息所属的分布在前。


新增知识点:D_P(Q)与 D_Q(P) 有什么不一样?


公式 D_P(Q) 里一共涉及了两个分布:


  • 要传达的信息来自哪个分布,答案是 Q

  • 信息传递的方式由哪个分布决定,答案是 P


由 KL 散度的公式可知,分布 Q 里可能性越大的事件,对 D_P(Q) 影响力越大。如果想让D_P(Q) 尽量小,就要优先关注分布 Q 里的常见事件(假设为 x),确保它们在分布 P 里不是特别罕见。


因为一旦事件 x 在分布 P 里罕见,意味着在设计分布 P 的信息传递方式时,没有着重优化传递 x 的成本,传达事件 x 所需的成本,log(1/P(x)) 会特别大。所以,当这一套传递方式被用于传达分布 Q 的时候,我们会发现,传达常见事件需要的成本特别大,整体成本也就特别大。


类似地,想让 D_P(Q) 特别小,就要优先考虑分布 P 里那些常见的事件们了。这时,分布 Q 里的常见事件,就不再是我们的关注重点。


下面让我们举一个实际的例子,来自《Deep Learning》一书第 3 章。


假设存在一个真实分布 P,由两个高斯分布混合而成,用蓝线表示。



现在,在不知道分布 P 的信息的情况下,我们做出了一个常见的假设:假设数据符合高斯分布。


当我们尝试用一个普通的高斯分布 Q 来近似分布 P,换言之,尝试让 Q 尽量「贴近」P 的时候,可以选择的目标函数有:



选择不同的目标函数,会产生完全不同的 Q。



如果我们选择目标函数 1,结果会像左图一样。在优化过程中,重要的是分布 P 中的*常见事件*,也就是蓝线的两峰,我们要优先确保它们在分布 Q 里不是特别罕见(信息长度不是特别长)。由于分布 P 里有两个峰值区域,分布 Q 无法偏向任何一个峰值,拉锯的结果是,Q 选择了横亘在分布 P 两个峰值中间。


如果我们选择目标函数 2,结果会像右图一样,重要的是分布 P 中的*罕见事件*(信息长度特别长的那些事件),也就是蓝线的谷底,我们优先确保它们在分布 Q 里不是特别常见。左图里那种,分布 Q 横亘在分布 P 两个峰值中间,是我们最不希望发生的、KL 散度格外大的情况。相反,只有一个峰值的分布 Q 最终会选择贴合分布 P 两个峰值区域中的任意一个。


最后,直觉上,因为 D_Q(P)=H_Q(P)-H(P),其中多项式的第二项 H(P) 与分布 Q 完全无关,所以这时候,arg min D_Q(P) 等价于 arg min H_Q(P)。即,优化 KL 散度与优化交叉熵是等价的。但是,反过来的 D_P(Q)=H_P(Q)-H(Q) 就没有这等好事了。


以上,就是,KL 散度如何衡量分布间的差异,以及不对称的 KL 散度在衡量差异的时候会有什么不同了。


欢迎提问,以及拍砖。



本文为机器之心原创,转载请联系本公众号获得授权

✄------------------------------------------------

加入机器之心(全职记者/实习生):[email protected]

投稿或寻求报道:[email protected]

广告&商务合作:[email protected]


登录查看更多
1

相关内容

【2020新书】监督机器学习,156页pdf,剑桥大学出版社
专知会员服务
154+阅读 · 2020年6月27日
一份简明有趣的Python学习教程,42页pdf
专知会员服务
78+阅读 · 2020年6月22日
少标签数据学习,54页ppt
专知会员服务
205+阅读 · 2020年5月22日
自回归模型:PixelCNN
专知会员服务
29+阅读 · 2020年3月21日
机器学习速查手册,135页pdf
专知会员服务
345+阅读 · 2020年3月15日
Transformer文本分类代码
专知会员服务
118+阅读 · 2020年2月3日
【中科大徐童】多模态语义理解与关联
专知会员服务
83+阅读 · 2019年12月7日
从信息论的角度来理解损失函数
深度学习每日摘要
17+阅读 · 2019年4月7日
【论文笔记】ICLR 2018 Wasserstein自编码器
专知
32+阅读 · 2018年6月29日
从最大似然到EM算法:一致的理解方式
PaperWeekly
19+阅读 · 2018年3月19日
【干货】深入理解自编码器(附代码实现)
傅里叶变换和拉普拉斯变换的物理解释及区别
算法与数学之美
11+阅读 · 2018年2月5日
零基础概率论入门:最大似然估计
论智
12+阅读 · 2018年1月18日
从香农熵到手推KL散度:一文带你纵览机器学习中的信息论
算法与数学之美
10+阅读 · 2018年1月14日
干货 | 一文搞懂极大似然估计
AI100
7+阅读 · 2017年12月3日
干货|通俗易懂地解释EM算法并举例说明?
机器学习研究会
12+阅读 · 2017年11月17日
Arxiv
23+阅读 · 2018年8月3日
Arxiv
6+阅读 · 2018年5月18日
Arxiv
4+阅读 · 2018年4月10日
Arxiv
9+阅读 · 2018年1月30日
Arxiv
6+阅读 · 2018年1月29日
VIP会员
最新内容
《自动化战略情报管控》
专知会员服务
1+阅读 · 今天14:31
得失评估:审视对伊朗战争的轨迹(简报)
专知会员服务
1+阅读 · 今天14:19
【CMU博士论文】迈向可解释机器学习的理论基础
专知会员服务
1+阅读 · 今天12:23
基于数据优化的人机协同与机器人僚机
专知会员服务
5+阅读 · 今天2:08
相关VIP内容
【2020新书】监督机器学习,156页pdf,剑桥大学出版社
专知会员服务
154+阅读 · 2020年6月27日
一份简明有趣的Python学习教程,42页pdf
专知会员服务
78+阅读 · 2020年6月22日
少标签数据学习,54页ppt
专知会员服务
205+阅读 · 2020年5月22日
自回归模型:PixelCNN
专知会员服务
29+阅读 · 2020年3月21日
机器学习速查手册,135页pdf
专知会员服务
345+阅读 · 2020年3月15日
Transformer文本分类代码
专知会员服务
118+阅读 · 2020年2月3日
【中科大徐童】多模态语义理解与关联
专知会员服务
83+阅读 · 2019年12月7日
相关资讯
从信息论的角度来理解损失函数
深度学习每日摘要
17+阅读 · 2019年4月7日
【论文笔记】ICLR 2018 Wasserstein自编码器
专知
32+阅读 · 2018年6月29日
从最大似然到EM算法:一致的理解方式
PaperWeekly
19+阅读 · 2018年3月19日
【干货】深入理解自编码器(附代码实现)
傅里叶变换和拉普拉斯变换的物理解释及区别
算法与数学之美
11+阅读 · 2018年2月5日
零基础概率论入门:最大似然估计
论智
12+阅读 · 2018年1月18日
从香农熵到手推KL散度:一文带你纵览机器学习中的信息论
算法与数学之美
10+阅读 · 2018年1月14日
干货 | 一文搞懂极大似然估计
AI100
7+阅读 · 2017年12月3日
干货|通俗易懂地解释EM算法并举例说明?
机器学习研究会
12+阅读 · 2017年11月17日
Top
微信扫码咨询专知VIP会员