一文打尽NMS技术的种种

2022 年 7 月 11 日 极市平台
↑ 点击 蓝字  关注极市平台

作者丨仿佛若有光157
来源丨CV技术指南
编辑丨极市平台

极市导读

 

本文主要介绍NMS的应用场合、基本原理、多类别NMS方法和实践代码、NMS的缺陷、改进思路和改进NMS的几种常用方法,同时提供其它不常用的方法的链接。 >>加入极市CV技术交流群,走在计算机视觉的最前沿

前言

Non-Maximum Suppression(NMS)非极大值抑制。从字面意思理解,抑制那些非极大值的元素,保留极大值元素。其主要用于目标检测,目标跟踪,3D重建,数据挖掘等。
目前NMS常用的有标准NMS, Soft  NMS, DIOU NMS等。后续出现了新的Softer NMS,Weighted NMS等改进版。

原始NMS

以目标检测为例,目标检测推理过程中会产生很多检测框(A,B,C,D,E,F等),其中很多检测框都是检测同一个目标,但最终每个目标只需要一个检测框,NMS选择那个得分最高的检测框(假设是C),再将C与剩余框计算相应的IOU值,当IOU值超过所设定的阈值(普遍设置为0.5,目标检测中常设置为0.7,仅供参考),即对超过阈值的框进行抑制,抑制的做法是将检测框的得分设置为0,如此一轮过后,在剩下检测框中继续寻找得分最高的,再抑制与之IOU超过阈值的框,直到最后会保留几乎没有重叠的框。这样基本可以做到每个目标只剩下一个检测框。
原始NMS(左图1维,右图2维)算法伪代码如下:
实现代码:(以pytorch为例)
  
  
    
def NMS(boxes,scores, thresholds):    
    x1 = boxes[:, 0]    
    y1 = boxes[:, 1]    
    x2 = boxes[:, 2]    
    y2 = boxes[:, 3]    
    areas = (x2-x1)*(y2-y1)    
    
    _,order = scores.sort( 0,descending= True)    
    keep = []    
     while order.numel() >  0:        
        i = order[ 0]        
        keep.append(i)        
         if order.numel() ==  1:            
             break        
        xx1 = x1[order[ 1:]].clamp(min=x1[i])        
        yy1 = y1[order[ 1:]].clamp(min=y1[i])        
        xx2 = x2[order[ 1:]].clamp(max=x2[i])        
        yy2 = y2[order[ 1:]].clamp(max=y2[i])  
        
        w = (xx2-xx1).clamp(min= 0)        
        h = (yy2-yy1).clamp(min= 0)        
        inter = w*h        
        
        ovr = inter/(areas[i] + areas[order[ 1:]] - inter)        
        ids = (ovr<=thresholds).nonzero().squeeze()     
        
         if ids.numel() ==  0:            
             break        
        order = order[ids+ 1]    
     return torch.LongTensor(keep)
除了自己实现以外,也可以直接使用torchvision.ops.nms来实现。
  
  
    
torchvision.ops.nms(boxes, scores, iou_threshold)
上面这种做法是把所有boxes放在一起做NMS,没有考虑类别。即某一类的boxes不应该因为它与另一类最大得分boxes的iou值超过阈值而被筛掉。
对于多类别NMS来说,它的思想比较简单:每个类别内部做NMS就可以了。实现方法:把每个box的坐标添加一个偏移量,偏移量由类别索引来决定。
下面是torchvision.ops.batched_nms的实现源码以及使用方法
  
  
    
#实现源码
max_coordinate = boxes.max()
offsets = idxs.to(boxes) * (max_coordinate + torch.tensor( 1).to(boxes))
boxes_for_nms = boxes + offsets[:,  None]
keep = nms(boxes_for_nms, scores, iou_threshold)
return keep

#使用方法
torchvision.ops.boxes.batched_nms(boxes, scores, classes, nms_thresh)
这里偏移量用boxes中最大的那个作为偏移基准,然后每个类别索引乘以这个基准即得到每个类的box对应的偏移量。这样就把所有的boxes按类别分开了。
在YOLO_v5中,它自己写了个实现的代码。
  
  
    
c = x[:,  5: 6] * ( 0  if agnostic  else max_wh)   # classes
boxes, scores = x[:, : 4] + c, x[:,  4]   # boxes (offset by class), score
si = torchvision.ops.nms(boxes, scores, iou_thres) 
这里的max_wh相当于前面的boxes.max(),YOLO_v5中取的定值4096。这里的agnostic用来控制是否用于多类别NMS还是普通NMS。

NMS的缺点

  1. 需要手动设置阈值,阈值的设置会直接影响重叠目标的检测,太大造成误检,太小达不到理想情况。

  2. 低于阈值的直接设置score为0,做法太hard。

  3. 只能在CPU上运行,成为影响速度的重要因素。

  4. 通过IoU来评估,IoU的做法对目标框尺度和距离的影响不同。

NMS的改进思路

  1. 根据手动设置阈值的缺陷,通过自适应的方法在目标系数时使用小阈值,目标稠密时使用大阈值。例如Adaptive NMS。

  2. 将低于阈值的直接置为0的做法太hard,通过将其根据IoU大小来进行惩罚衰减,则变得更加soft。例如Soft NMS,Softer NMS。

  3. 只能在CPU上运行,速度太慢的改进思路有三个,一个是设计在GPU上的NMS,如CUDA NMS,一个是设计更快的NMS,如Fast NMS,最后一个是掀桌子,设计一个神经网络来实现NMS,如ConvNMS。

  4. IoU的做法存在一定缺陷,改进思路是将目标尺度、距离引进IoU的考虑中。如DIoU。

下面稍微介绍一下这些方法中常用的一部分,另一部分仅提供链接。

Soft NMS

根据前面对目标检测中NMS的算法描述,易得出标准NMS容易出现的几个问题: 当阈值过小时,如下图所示,绿色框容易被抑制;当过大时,容易造成误检,即抑制效果不明显。因此,出现升级版soft NMS。
Soft NMS算法伪代码如下:
标准的NMS的抑制函数如下:
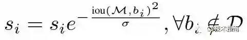
IOU超过阈值的检测框的得分直接设置为0,而soft NMS主张将其得分进行惩罚衰减,有两种衰减方式,第一种惩罚函数如下:
这种方式使用1-Iou与得分的乘积作为衰减后的值,但这种方式在略低于阈值和略高于阈值的部分,经过惩罚衰减函数后,很容易导致得分排序的顺序打乱,合理的惩罚函数应该是具有高iou的有高的惩罚,低iou的有低的惩罚,它们中间应该是逐渐过渡的。因此提出第二种高斯惩罚函数,具体如下:
这样soft NMS可以避免阈值设置大小的问题。
Soft NMS还有后续改进版Softer-NMS,其主要解决的问题是:当所有候选框都不够精确时该如何选择,当得分高的候选框并不更精确,更精确的候选框得分并不是最高时怎么选择 。论文值得一看,本文不作更多的详解。
此外,针对这一阈值设置问题而提出的方式还有Weighted NMS和Adaptive NMS。
Weighted NMS主要是对坐标进行加权平均,实现函数如下:
其中Wi = Si *IoU(M,Bi),表示得分与IoU的乘积。
Adaptive NMS在目标分布稀疏时使用小阈值,保证尽可能多地去除冗余框,在目标分布密集时采用大阈值,避免漏检。
Softer NMS论文链接: https://arxiv.org/abs/1809.08545
Softer NMS 论文代码: https://github.com/yihui-he/softer-NMS
Weighted NMS论文链接: https://ieeexplore.ieee.org/document/8026312/
Adaptive  NMS论文链接: https://arxiv.org/abs/1904.03629

DIoU NMS

当IoU相同时,如上图所示,当相邻框的中心点越靠近当前最大得分框的中心点,则可认为其更有可能是冗余框。第一种相比于第三种更不太可能是冗余框。因此,研究者使用所提出的DIoU替代IoU作为NMS的评判准则,公式如下:
DIoU定义为DIoU=IoU-d²/c²,其中c和d的定义如下图所示。
在DIoU实际应用中还引入了参数β,用于控制对距离的惩罚程度。
当 β趋向于无穷大时,DIoU退化为IoU,此时DIoU-NMS与标准NMS效果相当。
β趋向于0时,此时几乎所有中心点与得分最大的框的中心点不重合的框都被保留了。
注:除了DIoU外,还有GIoU,CIoU,但这两个都没有用于NMS,而是用于坐标回归函数,DIoU虽然本身也是用于坐标回归,但有用于NMS的。

GIoU

GIoU的主要思想是引入将两个框的距离。寻找能完全包围两个框的最小框(计算它的面积Ac)。
计算公式如下:
当两个框完全不相交时,没有抑制的必要。
当两个框存在一个大框完全包围一个小框时或大框与小框有些重合时,GIoU的大小在(-1,1)之间,不太好用来作为NMS的阈值。
GIoU的提出主要还是用于坐标回归的loss,个人感觉用于NMS不合适,CIoU也是如此,这里之所以提这个,是因为它与DIoU、CIoU一般都是放一起讲的。

其它相关NMS

为了避免阈值设置大小、目标太密集等问题,还有一些其他方法使用神经网络去实现NMS,但并不常用,这里只提一笔,感兴趣的读者请自行了解。如:
ConvNMS:A Convnet for Non-maximum Suppression
Pure NMS Network:Learning non-maximum suppression
Yes-Net: An effective Detector Based on Global Information
Fast NMS: https://github.com/dbolya/yolact
Cluster NMS: https://github.com/Zzh-tju/CIoU
Matrix NMS: https://github.com/WXinlong/SOLO



公众号后台回复“项目实践”获取50+CV项目实践机会~

△点击卡片关注极市平台,获取 最新CV干货
极市干货
最新数据集资源: 医学图像开源数据集汇总
实操教程 Pytorch - 弹性训练原理分析《CUDA C 编程指南》导读
极视角动态: 极视角作为重点项目入选「2022青岛十大资本青睐企业」榜单! 极视角发布EQP激励计划,招募优质算法团队展开多维度生态合作!


点击阅读原文进入CV社区

收获更多技术干货


登录查看更多
0

相关内容

【2022新书】Python数据分析第三版,579页pdf
专知会员服务
255+阅读 · 2022年8月31日
军事知识图谱构建技术
专知会员服务
140+阅读 · 2022年4月8日
13个经典CNN架构比较分析!从AlexNet到ResNet再到ConvNeXt
专知会员服务
102+阅读 · 2022年3月14日
【最受欢迎的概率书】《概率论:理论与实例》,490页pdf
专知会员服务
174+阅读 · 2020年11月13日
【CVPR2020-旷视】DPGN:分布传播图网络的小样本学习
专知会员服务
28+阅读 · 2020年4月1日
[综述]深度学习下的场景文本检测与识别
专知会员服务
78+阅读 · 2019年10月10日
实践教程|最简单的代码实现语义分割!
极市平台
1+阅读 · 2022年2月18日
目标检测:Nms-Free时代
极市平台
0+阅读 · 2022年1月10日
实践教程 | 使用OpenCV实现道路车辆计数
极市平台
0+阅读 · 2021年12月26日
使用ONNX+TensorRT部署人脸检测和关键点250fps
极市平台
34+阅读 · 2019年10月22日
怎么画高大上的神经网络结构?试试这个!
PyTorch中在反向传播前为什么要手动将梯度清零?
极市平台
39+阅读 · 2019年1月23日
用PyTorch做物体检测和追踪
AI研习社
12+阅读 · 2019年1月6日
好文 | 基于深度学习的目标检测技术演进
七月在线实验室
12+阅读 · 2018年1月31日
【下载】PyTorch 实现的YOLO v2目标检测算法
专知
15+阅读 · 2017年12月27日
国家自然科学基金
0+阅读 · 2015年12月31日
国家自然科学基金
0+阅读 · 2014年12月31日
国家自然科学基金
0+阅读 · 2013年12月31日
国家自然科学基金
1+阅读 · 2012年12月31日
国家自然科学基金
0+阅读 · 2012年12月31日
国家自然科学基金
0+阅读 · 2011年12月31日
国家自然科学基金
0+阅读 · 2011年12月31日
国家自然科学基金
0+阅读 · 2008年12月31日
国家自然科学基金
0+阅读 · 2008年12月31日
Arxiv
28+阅读 · 2021年9月18日
VIP会员
最新内容
扭曲还是编造?视频大语言模型幻觉研究综述
专知会员服务
0+阅读 · 12分钟前
《采用系统思维应对混合战争》125页
专知会员服务
0+阅读 · 今天12:47
战争机器学习:数据生态系统构建(155页)
专知会员服务
6+阅读 · 今天8:10
内省扩散语言模型
专知会员服务
5+阅读 · 4月14日
国外反无人机系统与技术动态
专知会员服务
3+阅读 · 4月14日
大规模作战行动中的战术作战评估(研究论文)
未来的海战无人自主系统
专知会员服务
3+阅读 · 4月14日
相关VIP内容
【2022新书】Python数据分析第三版,579页pdf
专知会员服务
255+阅读 · 2022年8月31日
军事知识图谱构建技术
专知会员服务
140+阅读 · 2022年4月8日
13个经典CNN架构比较分析!从AlexNet到ResNet再到ConvNeXt
专知会员服务
102+阅读 · 2022年3月14日
【最受欢迎的概率书】《概率论:理论与实例》,490页pdf
专知会员服务
174+阅读 · 2020年11月13日
【CVPR2020-旷视】DPGN:分布传播图网络的小样本学习
专知会员服务
28+阅读 · 2020年4月1日
[综述]深度学习下的场景文本检测与识别
专知会员服务
78+阅读 · 2019年10月10日
相关资讯
实践教程|最简单的代码实现语义分割!
极市平台
1+阅读 · 2022年2月18日
目标检测:Nms-Free时代
极市平台
0+阅读 · 2022年1月10日
实践教程 | 使用OpenCV实现道路车辆计数
极市平台
0+阅读 · 2021年12月26日
使用ONNX+TensorRT部署人脸检测和关键点250fps
极市平台
34+阅读 · 2019年10月22日
怎么画高大上的神经网络结构?试试这个!
PyTorch中在反向传播前为什么要手动将梯度清零?
极市平台
39+阅读 · 2019年1月23日
用PyTorch做物体检测和追踪
AI研习社
12+阅读 · 2019年1月6日
好文 | 基于深度学习的目标检测技术演进
七月在线实验室
12+阅读 · 2018年1月31日
【下载】PyTorch 实现的YOLO v2目标检测算法
专知
15+阅读 · 2017年12月27日
相关基金
国家自然科学基金
0+阅读 · 2015年12月31日
国家自然科学基金
0+阅读 · 2014年12月31日
国家自然科学基金
0+阅读 · 2013年12月31日
国家自然科学基金
1+阅读 · 2012年12月31日
国家自然科学基金
0+阅读 · 2012年12月31日
国家自然科学基金
0+阅读 · 2011年12月31日
国家自然科学基金
0+阅读 · 2011年12月31日
国家自然科学基金
0+阅读 · 2008年12月31日
国家自然科学基金
0+阅读 · 2008年12月31日
Top
微信扫码咨询专知VIP会员