机器学习PAI实战:玩转人工智能之你最喜欢哪个男生?

2019 年 3 月 26 日 云栖社区



前言


分类问题是生活中最常遇到的问题之一。普通人在做出选择之前,可能会犹豫不决,但对机器而言,则是唯一必选的问题。我们可以通过算法生成模型去帮助我们快速的做出选择,而且保证误差最小。充足的样本,合适的算法可以透过表象的类别,进而挖掘其内在的联系、区别,找出最佳的的属性来区分每个样本的类别。所以说学习和应用机器学习的算法,要求我们必须非常了解数据实例,每个样本数据有多少个特征,哪些特征是敏感的,特征分布如何。只有充分了解数据,才能选择最合适的算法。


场景描述


单身王女士经常逛某相亲网站,前前后后浏览了1000个男生,并给他们打标了,不喜欢、一般喜欢、很喜欢三个类别。该相亲网站的工程师,决定开发一个算法推荐模型,给王女士依次推荐很喜欢,一般喜欢的男生。并可以将这个算法模型应用到网站,吸引更多的单身青年注册使用,并可以找到自己喜欢的男/女朋友。


数据分析


首先将离线数据导入到odps表中。我们主要介绍使用散点图和箱线图来直观的观测分析数据。然后根据上面的具体案例来学会如何看,理解这个图形。数据选自《机器学习实战》一书。


散点图



详情

https://help.aliyun.com/document_detail/42716.html


拖拽统计分析-散点图。如图所示,选择观测的特征。



右键查看分析报告



散点图介绍


1,反对角线上的三个方形,在方形左上角表明三个特征的名称。而且这个三个图像与其他图形不相同,横纵坐标都是一个特征,则对角直线就代表该特征在不同类别下分布密度。比如Play这个方形,我们发现黄色部分集中在下方,蓝色部分主要分布在中间,绿色主要分布在中上方。


2,除了反对角线上的三个方形,其他方形则是反映了两两特征之间的分布情况。比如第一排第一列(1,1),横坐标为play,纵坐标为mileage。从这个方形上可以直观观测出不同颜色的散点集中分布在不同区域。


3,关于反对角线对称的两个方形,则是两个特征交换纵横坐标的散点图。


4,在整个散点图的下方,可以勾选你希望对比的特征。


通过上面散点图,我们可以比较清晰得出几个结论。


1,ice_cream特征对分类不敏感。从图(1,2),(2,2)我们可以直观看出,ice_cream在所有类别中几乎都是均匀分布。


2,mileage,play 特征可以将类别明显的划分成三个区域。说明这两个特征绝大程度上决定了类别的划分。


散点图进阶使用



在任意个方形内,拖拽一个方形区域,可以选出满足这些特征的样本,更加直观的观测,这些样本在不同方形内的分布。如上图所示,我们选中了图(3,3)内一个方形区域,可以看出这些样本在ice_cream特征下是均匀分布,在其他两个特征下,都可以通过一个超平面划分。


箱线图


详情

https://help.aliyun.com/document_detail/42716.html


拖拽统计分析-箱线图。如图所示,选择观测的特征。



箱线图介绍




1,箱线图组件分两个tab分别显示箱线图和扰动点图,在左上角都可以选择观测不同的特征。右侧显示该特征下,每个类别的分布情况。


2,箱线图介绍,每个类别的箱线图,从上到下一共有5条横线。



3,內限不是样本的最上限,外限也是不最下限,超过內限和外限的样本为异常样本。


4,结合扰动点图,我们可以发现观测到异常样本的大致数量多少。


箱线图分析


1,通过上面的图,我们可以关注paly属性在不同类别下的分布。对比ice_cream特征



我们发现paly特征的属性值在不同类别下有明显有倾向性分布。而ice_cream在不同类别下分布几乎是一样的,这也验证了我们通过散点图得出的结论。


场景抽象化


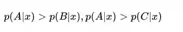
现在回到我们一开始遇到的问题。如何用算法帮助工程师为王女士推荐其他她可以喜欢的男生呢。其实这是一个简单的问题,就是把所有的男生分为三类,不喜欢,一般喜欢,很喜欢。对于一个没有标签的男生(x),我们分出其最可能属于哪个类别的概率(p)。



在这种情况下,我们就选出这个男生属于类别A。如何计算这个概率,不同算法有不同的计算方法。比如K紧邻算法,选出离这个样本点最近的K个样本,通过属于A的样本个数除以K就可以得出属于A的概率。随机森林,则是通过投票的方式,票数多的类别就是样本最终划分的类别。


模型选择


通过前面数据分析,我们知道了数据的一些特性。


1,mileage数值比其他两个特征大很多,在计算特征间的距离时,所在权重就比较大。所有选择K近邻可以会造成较大误差。


2,AdaBoost算法,随机森林以及逻辑回归算法都可以处理数值型数据,所以这三种算法我们都会尝试,并评估者三个算法的准确率。


数据处理


我们可以使用统计分析-全表统计观测数据是否有空值,以及一些方差等的统计信息。在本案例中我仅做缺失值检测。


模型训练



我们分别选择了三个分类算法,随机森林、AdaBoost、K近邻算法。分别做了训练,预测和算法评估。在下面我们会通过测试评估来选择合适的方案。


模型测试


随机森林算法



AdaBoost算法



K近邻算法



通过上面的混淆矩阵,可以很直观的看出,在算法准确度层面,AdaBoost>随机森林>K近邻。也验证了我们前面通过数据分析得出的结论,在某个特征的值过大时,K近邻算法容易出现较大的误差。当然我们可以通过归一化来处理这些特征值,只是这样做在服务测试时,输入的数据就必须是归一化的值而不是真实数据,在实际使用中会有一些麻烦。


模型部署和测试


模型的部署和测试参见【玩转人工智能—基于PAI的机器学习实战系列二】商品价格预测

https://yq.aliyun.com/articles/692330


总结


AdaBoost之所以有如此好的效果,其功劳要归功于集成算法的提出和应用。集成算法通过组合多个分类器的结果,并赋予不同的权重值,而获得了比任一个分类器都要好的结果。当然这也做也有一定风险,比如说有可能加深了分类器的过拟合问题。


在分类问题上,我们最常遇到的问题就样本分布不均衡的问题。就是说正样本多与负样本,某个类别的样本多与其他类别的样本。这样的数据集在大部分分类器上都会存在问题,通常情况下,我们可以通过欠抽样或者过抽样来解决这类问题,但是在实际操作中,我们需要注意下,如何才能在尽可能不影响实际真实性的情况下做到很好的抽样。


人人用得起的机器学习平台↓↓↓↓



更多精彩



如果觉得本文还不错,点击好看一下!
点此进入开发者会场抽取Kindle等福利!100%中奖!
登录查看更多
0

相关内容

【2020新书】实战R语言4,323页pdf
专知会员服务
103+阅读 · 2020年7月1日
【干货书】机器学习Python实战教程,366页pdf
专知会员服务
347+阅读 · 2020年3月17日
机器学习速查手册,135页pdf
专知会员服务
345+阅读 · 2020年3月15日
算法与数据结构Python,369页pdf
专知会员服务
166+阅读 · 2020年3月4日
【2020新书】数据科学:十大Python项目,247页pdf
专知会员服务
216+阅读 · 2020年2月21日
【机器学习课程】Google机器学习速成课程
专知会员服务
171+阅读 · 2019年12月2日
【电子书】C++ Primer Plus 第6版,附PDF
专知会员服务
88+阅读 · 2019年11月25日
备战AI求职季 | 100道机器学习面试题(上)
七月在线实验室
9+阅读 · 2019年3月16日
假如成人网站遇到Python机器学习······
机器学习算法与Python学习
4+阅读 · 2019年1月6日
BAT机器学习面试题1000题(376~380题)
七月在线实验室
9+阅读 · 2018年8月27日
干货:10 种机器学习算法的要点(附 Python代码)
全球人工智能
4+阅读 · 2018年1月5日
机器学习(28)【降维】之sklearn中PCA库讲解与实战
机器学习算法与Python学习
8+阅读 · 2017年11月27日
机器学习算法比较
我爱机器学习
4+阅读 · 2016年12月11日
Arxiv
5+阅读 · 2018年4月30日
Arxiv
3+阅读 · 2018年3月21日
Arxiv
9+阅读 · 2018年3月20日
Arxiv
5+阅读 · 2018年1月29日
VIP会员
最新内容
人工智能在战场行动中的演进及伊朗案例
专知会员服务
7+阅读 · 4月18日
美AI公司Anthropic推出网络安全模型“Mythos”
专知会员服务
4+阅读 · 4月18日
【博士论文】面向城市环境的可解释计算机视觉
大语言模型的自改进机制:技术综述与未来展望
《第四代军事特种作战部队选拔与评估》
专知会员服务
3+阅读 · 4月18日
相关VIP内容
【2020新书】实战R语言4,323页pdf
专知会员服务
103+阅读 · 2020年7月1日
【干货书】机器学习Python实战教程,366页pdf
专知会员服务
347+阅读 · 2020年3月17日
机器学习速查手册,135页pdf
专知会员服务
345+阅读 · 2020年3月15日
算法与数据结构Python,369页pdf
专知会员服务
166+阅读 · 2020年3月4日
【2020新书】数据科学:十大Python项目,247页pdf
专知会员服务
216+阅读 · 2020年2月21日
【机器学习课程】Google机器学习速成课程
专知会员服务
171+阅读 · 2019年12月2日
【电子书】C++ Primer Plus 第6版,附PDF
专知会员服务
88+阅读 · 2019年11月25日
相关资讯
备战AI求职季 | 100道机器学习面试题(上)
七月在线实验室
9+阅读 · 2019年3月16日
假如成人网站遇到Python机器学习······
机器学习算法与Python学习
4+阅读 · 2019年1月6日
BAT机器学习面试题1000题(376~380题)
七月在线实验室
9+阅读 · 2018年8月27日
干货:10 种机器学习算法的要点(附 Python代码)
全球人工智能
4+阅读 · 2018年1月5日
机器学习(28)【降维】之sklearn中PCA库讲解与实战
机器学习算法与Python学习
8+阅读 · 2017年11月27日
机器学习算法比较
我爱机器学习
4+阅读 · 2016年12月11日
Top
微信扫码咨询专知VIP会员