论文浅尝 | 将文本建模为关系图,用于联合实体和关系提取

2019 年 9 月 14 日 开放知识图谱

论文笔记整理:余海阳,浙江大学硕士,研究方向为知识图谱、自然语言处理。



链接:https://www.aclweb.org/anthology/P19-1136

 

动机

本文提出了一种利用图卷积网络(GCNs)联合学习命名实体和关系抽取的端到端抽取模型GraphRel。之前抽取模型较少的同时抽取命名实体和关系,而且对实体对间的多关系问题处理不当,并且很少考虑不同关系间的相互影响,特别是一对实体间的多个关系之间的作用。


亮点

与之前的模型相比,我们通过关系加权的GCN来考虑命名实体和关系之间的交互,从而更好地提取关系。同时利用线性结构和依赖结构用于提取文本的序列特征和区域特征,并利用完整的词图进一步提取文本所有词对之间的隐式特征。使用基于图的方法,对重叠关系的预测比以前的顺序方法有了很大的改进。我们在两个公共数据集上评估GraphRel:NYT和WebNLG。结果表明,GraphRel在大幅度提高查全率的同时,保持了较高的查全率。GraphRel的性能也比之前的工作好3.2%和5.8% (F1分),实现了一种新的关系提取技术。


模型

模型整体的框架如下图。


 


模型分为两个阶段的预测。

第一阶段:

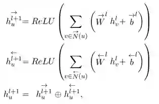
首先使用word embeddingpos embedding一同喂到Bi-LSTM网络中。然后输入得到的双向结果,分别喂到GCN网络中,由此构成Bi-GCN网络架构。GCN的邻接矩阵为句子的语法依赖树得到的结果,在依赖树中相连则邻接矩阵中的权值为1,否则为0。双向GCN的结果再拼接一起,得到最终encoder的结果。

在第一阶段预测中,将Bi-GCN得到的结果经过一个RNN之后再经过一次全连接层,即可做实体预测的任务。在关系预测中,将句子中词语两两组合分别去计算关系。具体公式如下:

第二阶段:

将第一阶段得到的结果,继续经过gcn,此时的gcn邻接矩阵的权值就是第一阶段求得的relation概率值。如此经过gcn之后再做聚合,然后继续做预测任务即可。公式如下:

实验

我们使用纽约时报(Riedel et al. 2010)和WebNLGGardentet al.2017)的数据集来评估该方法NYTWebNLG的统计数据如表2所示。


我们把关系种类分为三类:Normalentityairoverlap(EPO)SingleEntityOverlap(SEO)。每个类别的计数也显示在表2中。实验结果如下:


 

另有样例分析,证明两阶段的抽取比单独第一阶段的抽取效果好。


总结                        

本文提出了一种基于图卷积网络(GCN)的端到端关系抽取模型GraphRel,该模型可以联合学习命名实体和关系。将RNN和GCN相结合,不仅提取整体序列特征,而且可以提取每个词的区域依赖特征。我们的方法还考虑了文本中所有词对之间的隐式特征。我们预测每对词之间的关系,解决了实体重叠的问题。此外,我们还引入了一种新的关系加权广义网络,它考虑了命名实体和重命名之间的相互作用。我们在NYT和webnlg数据集上对该方法进行了评估。结果表明,该方法比以往的方法分别提高了3.2%和5.8%,实现了一种新的关系提取方法。




OpenKG


开放知识图谱(简称 OpenKG)旨在促进中文知识图谱数据的开放与互联,促进知识图谱和语义技术的普及和广泛应用。

点击阅读原文,进入 OpenKG 博客。

登录查看更多
77

相关内容

【ICML2020-西电】用于语言生成的递归层次主题引导RNN
专知会员服务
22+阅读 · 2020年6月30日
【斯坦福大学-论文】实体上下文关系路径的知识图谱补全
论文浅尝 | 时序与因果关系联合推理
开放知识图谱
36+阅读 · 2019年6月23日
论文浅尝 | 一种用于多关系问答的可解释推理网络
开放知识图谱
18+阅读 · 2019年5月21日
论文浅尝 | 使用循环神经网络的联合事件抽取
开放知识图谱
25+阅读 · 2019年4月28日
论文浅尝 | 基于知识库的类型实体和关系的联合抽取
开放知识图谱
35+阅读 · 2018年12月9日
论文浅尝 | 多内容实体和关系联合抽取的对抗训练
开放知识图谱
42+阅读 · 2018年12月4日
Arxiv
6+阅读 · 2019年7月11日
Arxiv
7+阅读 · 2018年8月28日
Arxiv
27+阅读 · 2018年4月12日
VIP会员
最新内容
技术、多域威慑与海上战争(报告)
专知会员服务
0+阅读 · 20分钟前
“在云端防御”:提升北约数据韧性(报告)
专知会员服务
0+阅读 · 30分钟前
人工智能及其在海军行动中的整合(综述)
专知会员服务
0+阅读 · 今天14:07
美军MAVEN项目全面解析:算法战架构
专知会员服务
15+阅读 · 今天8:36
从俄乌战场看“马赛克战”(万字长文)
专知会员服务
10+阅读 · 今天8:19
最新“指挥控制”领域出版物合集(16份)
专知会员服务
16+阅读 · 4月12日
面向军事作战需求开发的人工智能(RAIMOND)
专知会员服务
22+阅读 · 4月12日
相关VIP内容
【ICML2020-西电】用于语言生成的递归层次主题引导RNN
专知会员服务
22+阅读 · 2020年6月30日
【斯坦福大学-论文】实体上下文关系路径的知识图谱补全
相关资讯
论文浅尝 | 时序与因果关系联合推理
开放知识图谱
36+阅读 · 2019年6月23日
论文浅尝 | 一种用于多关系问答的可解释推理网络
开放知识图谱
18+阅读 · 2019年5月21日
论文浅尝 | 使用循环神经网络的联合事件抽取
开放知识图谱
25+阅读 · 2019年4月28日
论文浅尝 | 基于知识库的类型实体和关系的联合抽取
开放知识图谱
35+阅读 · 2018年12月9日
论文浅尝 | 多内容实体和关系联合抽取的对抗训练
开放知识图谱
42+阅读 · 2018年12月4日
Top
微信扫码咨询专知VIP会员