论文浅尝 | 利用知识图谱增强神经网络来解决自然语言处理的任务

2018 年 4 月 27 日 开放知识图谱 邓淑敏


Citation: K. M. Annervaz, Somnath Basu Roy Chowdhury, and AmbedkarDukkipati. Learning beyond datasets: Knowledge graph augmented neural networksfor natural language processing. CoRR, abs/1802.05930, 2018.

URLhttps://arxiv.org/pdf/1802.05930.pdf

 

Motivation

机器学习一直是许多AI问题的典型解决方案,但学习过程仍然严重依赖于特定的训练数据。一些学习模型可以结合贝叶斯建立中的先验知识,但是这些学习模型不具备根据需要访问任何结构化的外部知识的能力。本文的目标是开发一种深度学习模型,可以根据任务使用注意力机制从知识图谱中提取相关的先验知识。本文意在证明,当深度学习模型以知识图谱的形式访问结构化的知识时,可以用少量的标记训练数据进行训练,从而降低传统的深度学习模型对特定训练数据的依赖。

Model

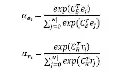
模型的输入是一组句中的词构成的词向量序列 x=[x_1, x_2,...,x_T],经过一个 LSTM 单元得到每个词向量的隐藏层状态 h_t = f(x_t, h_{t-1}),然后将得到的隐藏层状态向量加和平均得到 o = 1/T(\sum_{t=1}^{T}h_t)。根据可以计算上下文向量 C=ReLU(o^T W)。实体和关系对应的上下文向量分别与实体和关系的向量相乘,经过softmax操作,算出每个实体和关系的权重 \alpha_{e_i}, \alpha_{r_i}。其中,实体和关系的向量是通过DKRL模型(一种结合文本描述的知识图谱表示学习模型,论文链接https://aaai.org/ocs/index.php/AAAI/AAAI16/paper/view/12216/12004)计算得到。

然后将文本中的所有实体和关系分别根据前面算出的权重进行加权平均,从而得到文本中所有实体和关系的向量 e, r

根据TransE的假设,构建事实元组将这个输入LSTM模型中进行训练,得到文本分类的结果。

计算文本中实体和关系表示的原始模型架构如下图所示。

将计算实体和关系表示的模型与文本分类的LSTM模块进行联合训练,联合模型架构如下图所示。

文本中实体和关系的数目很大,为每一个实体和关系分别计算权重开销不菲。为了减少注意力空间,本文利用k-means算法对实体和关系向量进行聚类,并引入了基于卷积的模型来学习知识图谱实体和关系集的表示。

Experiments

本文使用了News20DBPedia数据集来解决文本分类的任务,使用斯坦福自然语言推理(SNLI)数据集进行自然语言推断的任务。还使用了Freebase (FB15k)WordNet (WN18)作为相关的知识库输入。

(a)、图(b)分别表明,在SNLI数据集上训练的准确度和损失函数值。实验中分别比较100%数据集,70%数据集,以及70%数据集+KG三种情况输入的结果。可以发现,引入KG不仅可以降低深度学习模型对训练数据的依赖,而且还可以显著提高预测结果的准确度。此外,本文提出的方法对大量的先验信息的处理是高度可扩展的,并可应用于任何通用的NLP任务。


笔记整理:邓淑敏浙江大学计算机学院2017级直博生,研究方向为知识图谱与文本联合表示学习,时序预测。




OpenKG.CN


中文开放知识图谱(简称OpenKG.CN)旨在促进中文知识图谱数据的开放与互联,促进知识图谱和语义技术的普及和广泛应用。

转载须知:转载需注明来源“OpenKG.CN”、作者及原文链接。如需修改标题,请注明原标题。


点击阅读原文,进入 OpenKG 博客。

登录查看更多
6

相关内容

知识图谱(Knowledge Graph),在图书情报界称为知识域可视化或知识领域映射地图,是显示知识发展进程与结构关系的一系列各种不同的图形,用可视化技术描述知识资源及其载体,挖掘、分析、构建、绘制和显示知识及它们之间的相互联系。 知识图谱是通过将应用数学、图形学、信息可视化技术、信息科学等学科的理论与方法与计量学引文分析、共现分析等方法结合,并利用可视化的图谱形象地展示学科的核心结构、发展历史、前沿领域以及整体知识架构达到多学科融合目的的现代理论。它能为学科研究提供切实的、有价值的参考。

知识荟萃

精品入门和进阶教程、论文和代码整理等

更多

查看相关VIP内容、论文、资讯等
【斯坦福CS520】向量空间中嵌入的知识图谱推理,48页ppt
专知会员服务
104+阅读 · 2020年6月11日
注意力图神经网络的多标签文本分类
专知会员服务
112+阅读 · 2020年3月28日
【斯坦福大学-论文】实体上下文关系路径的知识图谱补全
【AAAI2020知识图谱论文概述】Knowledge Graphs @ AAAI 2020
专知会员服务
134+阅读 · 2020年2月13日
17篇知识图谱Knowledge Graphs论文 @AAAI2020
专知会员服务
173+阅读 · 2020年2月13日
六篇 EMNLP 2019【图神经网络(GNN)+NLP】相关论文
专知会员服务
72+阅读 · 2019年11月3日
知识图谱本体结构构建论文合集
专知会员服务
110+阅读 · 2019年10月9日
论文浅尝 | 利用问题生成提升知识图谱问答
开放知识图谱
20+阅读 · 2019年11月5日
论文浅尝 | 利用 KG Embedding 进行问题回答
开放知识图谱
22+阅读 · 2019年7月7日
论文浅尝 | 时序与因果关系联合推理
开放知识图谱
36+阅读 · 2019年6月23日
论文浅尝 | 面向知识图谱补全的共享嵌入神经网络模型
开放知识图谱
31+阅读 · 2019年4月7日
论文浅尝 | 用可微的逻辑规则学习完成知识库推理
开放知识图谱
14+阅读 · 2018年7月5日
论文浅尝 | 基于神经网络的知识推理
开放知识图谱
15+阅读 · 2018年3月12日
Arxiv
29+阅读 · 2020年3月16日
Arxiv
102+阅读 · 2020年3月4日
Arxiv
3+阅读 · 2019年3月1日
Arxiv
5+阅读 · 2015年9月14日
VIP会员
最新内容
ICML2026 | 重新思考顺序知识编辑中的正则化
专知会员服务
2+阅读 · 5月27日
《用于兵力发展选项优先排序的成本效益模型》
AutoResearch AI综述:迈向AI驱动的科学发现自动化
《Palantir边缘人工智能》手册
专知会员服务
21+阅读 · 5月26日
美军“国防自主作战群”(DAWG)概念解析
专知会员服务
3+阅读 · 5月26日
“史诗怒火”行动中的无人机与反无人机作战
专知会员服务
16+阅读 · 5月25日
相关VIP内容
【斯坦福CS520】向量空间中嵌入的知识图谱推理,48页ppt
专知会员服务
104+阅读 · 2020年6月11日
注意力图神经网络的多标签文本分类
专知会员服务
112+阅读 · 2020年3月28日
【斯坦福大学-论文】实体上下文关系路径的知识图谱补全
【AAAI2020知识图谱论文概述】Knowledge Graphs @ AAAI 2020
专知会员服务
134+阅读 · 2020年2月13日
17篇知识图谱Knowledge Graphs论文 @AAAI2020
专知会员服务
173+阅读 · 2020年2月13日
六篇 EMNLP 2019【图神经网络(GNN)+NLP】相关论文
专知会员服务
72+阅读 · 2019年11月3日
知识图谱本体结构构建论文合集
专知会员服务
110+阅读 · 2019年10月9日
相关资讯
论文浅尝 | 利用问题生成提升知识图谱问答
开放知识图谱
20+阅读 · 2019年11月5日
论文浅尝 | 利用 KG Embedding 进行问题回答
开放知识图谱
22+阅读 · 2019年7月7日
论文浅尝 | 时序与因果关系联合推理
开放知识图谱
36+阅读 · 2019年6月23日
论文浅尝 | 面向知识图谱补全的共享嵌入神经网络模型
开放知识图谱
31+阅读 · 2019年4月7日
论文浅尝 | 用可微的逻辑规则学习完成知识库推理
开放知识图谱
14+阅读 · 2018年7月5日
论文浅尝 | 基于神经网络的知识推理
开放知识图谱
15+阅读 · 2018年3月12日
相关论文
Arxiv
29+阅读 · 2020年3月16日
Arxiv
102+阅读 · 2020年3月4日
Arxiv
3+阅读 · 2019年3月1日
Arxiv
5+阅读 · 2015年9月14日
Top
微信扫码咨询专知VIP会员