科普|机器学习中决策树的原理与算法

2017 年 5 月 21 日 AI科技评论

AI科技评论按:本文作者栗向滨,中科院自动化所复杂系统国家重点实验室研究生毕业,机器学习与计算机视觉方向算法工程师。雷锋网首发文章。

我们知道,在机器学习中有两类十分重要的问题,一类是分类问题,一类是回归问题。我们今天所要探讨的就是在分类和回归问题中所用到的一种非常基本的方法,叫决策树。决策树也是重要的标签学习方法。这篇文章里面的部分内容来自于AI幕课学院的《机器学习理论与实战高级特训班》课程笔记。

从名字来看,决策的的意思就是在众多类别中我们需要决策出我们分类的东西是属于哪一个类别,决策离散型的值的叫决策树,决策连续型值的叫回归树。用学术一点的语言就是决策树的输出是离散型随机变量,回归树的输出是连续型随机变量,这篇文章的重点是讲解输出是离散型随机变量的决策树,当你明白决策树的运行机理后,回归树也就触类旁通了。

名字中的树,顾名思义,就是模型的结构是树形结构,树形结构的主要优点就是可读性较强,分类速度较快。树是由躯干和叶子组成,决策树中的有向边和结点与之对应,其中结点也有两种类型,一种是内部结点,一种是叶结点。

上面的介绍的都是从字面上可以理解出的一些概念,性质上来讲,决策树是一个预测模型,它代表的是对象属性与对象值之间的一种映射关系。树中每个结点表示某个对象,内部结点表示一个特征或属性,叶结点表示一个类,而每个分叉路径则代表某个可能的属性值,而每个叶结点则对应从根节点到该叶节点所经历的路径所表示的对象的值。

我们可以认为决策树就是一种 if-then 规则的集合,也可以理解为它是定义在特征空间与类空间上的条件概率分布。既然是if-then规则,那么决策树具有一个重要的性质就是:互斥并且完备,也就是说每一个实例都被一条路径或一条规则所覆盖,而且只被一条路径或一条规则所覆盖。

说了这么多抽象的概念,那决策树到底可以用来处理什么样的问题,那我们通过一个实际的例子来展开决策树的讲解,并且为了让大家更好入门,我也选择了一个十分简单的情景。

假如小明上班可以选择两种交通工具,一种是网约车打车上班,一种是骑共享单车上班。采取这两种途径中的哪一种取决于三个因素,一个是天气情况,天气假设可分为恶劣天气和非恶劣天气,另一个因素是小明的心情,心情分为好心情和坏心情,最后一个因素是小明是否快要迟到。假设三个因素对应的小明上班方式的情况如下表:

上面这个表格就是我们所说的样本集,细心的读者可能会发现,上面的样本集少了一种情况,即天气恶劣、小明心情不好但是上班时间又比较充裕的这种情况,没错,我故意省去这一组就是想让这一组成为测试集,让大家通过构建一个决策树来预测在这种情况下,小明会采取哪一种方式上班。 

现在我们已经有了数据,那么我们该如何构建一颗决策树呢?

在构建一颗决策树的时候我们需要解决的问题有三个:

  • 根结点放置哪个条件属性;

  • 下面的结点放置哪个属性;

  • 什么时候停止树的生长。

为了解决上面三个问题,我们需要引入一些概念。

第一个引入的概念叫信息熵,英文名为 Entropy。在 Tom Mitchell 的书中是这样解释信息熵的:

它确定了要编码集合 S 中任意成员(即以均匀的概率随机抽出的一个成员)的分类所需要的最少二进制位数。

说实话,当时的我理解这句话是费了不少劲,其实把它转化成通俗点的语言就是说,信息熵就是“预测随机变量Y的取值”的难度,或者说度量“随机变量Y”的不确定性。

通过两个例子来解释。假如你在地球上,手里握着一个铁块,当你不对铁块施力而直接松手的情况下,请你判断它是会向下坠落,还是向上飞去,根据我们的常识我们能很容易判断出石块会下落,那么判断这个事情的结果就非常容易,那么此时的信息熵就可以认为是0。

再举一个例子,假如让你判断一枚匀质的硬币抛出后正面朝上还是反面朝上,这个问题我们就比较难回答了,因为正面朝上和反面朝上的概率均等,我们不能有一个很确定的判断硬币到底哪个面朝上,那么这个时候判断就比较难了,所以此时的信息熵就可以认为是1。

但是上面这段话怎么转化成数学的语言进行定义和描述呢,有很多学者都提出了他们认为的信息熵表达式,我们可以通过下面这个表格看一下目前的一些信息熵的定义。

虽然有这么多的定义,但我们平时很多情况下用的都是香农信息熵,所以接下来我也采用香农信息熵对下面的其他定义进行表述。

当我们有了信息熵的表达式我们就可以得出一个二分类问题的信息熵图像,如下图所示。

我们可以看到,这个图像所表达出来的信息和我们之前举的例子完全对应,当一个事情非常容易判断的时候,也就是我们以很大的概率认为它会发生或者不会发生,那么它的信息熵就偏向0,当一个事情非常难判断的时候,我们可以认为最难的时候就是这个事件的所有可能性均相等的时候,那么它的信息熵为1. 

现在我们已经有了信息熵的概念,那么我们再引入第二个概念,这个概念需要建立在信息熵之上。那就是条件信息熵。有了信息熵的概念之后,我们自然而然就可以得出条件信息熵的概念,条件信息熵就是度量“在随机变量X的前提下,预测随机变量Y”的难度。

信息熵表示判断难度,有了条件两个字就是说我们已经知道了一个条件之后,再让你判断变量结果,这时候的难度就是就是条件信息熵。就像上面的例子,我们发现只要小明发现他要迟到了,那么他就会打车上班,所以当我得知了小明今天快要迟到了,那么我判断他是否打车这件事就非常容易了,那么此时的条件信息熵就可以认为是0,这就是条件信息熵。如果仍然采用香农的定义方法,那么条件信息熵的数学表达式就是

已知P(Y|X),P(X),

有了信息熵和条件信息熵的概念,那我们就自然而然地就可以引出第三个概念,那就是信息增益,信息增益的数学定义是

 

我们通过看这个数学表达式不难看出信息增益所表达的意思。被减数是信息熵,也就是在没人给我们通风报信的时候判断结果的难度;减数是条件信息熵,也就是当我们知道了一个条件后,判断结果的难度。信息增益这个变量表达的意思就是条件x对判断结果减少了多少难度,即度量X对预测Y的能力的影响。

就像有一档电视节目叫开心辞典,当答题选手无法判断答案的时候会选择三种求助方式,其实求助方式就是一种条件,当选手用过了求助方式后对回答问题的难度的减少量,就是信息增益。如果难度降低很大,那么我们就可以说信息增益很大。

介绍了上面三个概念,我们就可以回答在构造决策树的时候遇到的第一个问题了:根结点放置哪个条件属性。

我们的放置方法是:选择信息增益最大的一个属性作为根结点。

因为一个数据集的信息熵是固定的,所以这个问题就转化为选择条件信息熵最小的属性,所以我们只要求出条件信息熵最小的属性就知道根结点了。 

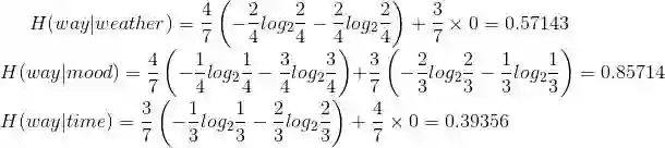
通过对例子的计算我们可以分别计算出单个特性的条件信息熵,计算过程如下图:

通过计算,我们看到小明是否迟到这个属性的条件信息熵最小,那么我们就将这个属性作为根结点。所以决策树的的雏形如下图。

 

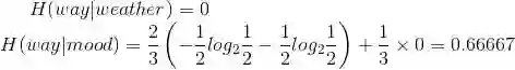
知道了根结点的放置方法,那么第二个问题也就迎刃而解了,下面的结点放置哪个属性。我们只需要将已经得到的结点看做一个新的根结点,利用最小化条件信息熵的方法即可。我们将小明并不会快要迟到作为一个条件,那么表格如下

 

然后再次计算条件信息熵,计算过程如下图:

 

我们看到天气因素的条件信息熵最小,为0,那么我们下一个节点就方式天气因素。这个时候其实我们就可以结束决策树的生长了,为什么呢?那么我们怎么判断什么时候结束决策树的生长呢?

因为我们在一直最小化条件信息熵,所以当我们发现所有特征的信息增益均很小,或者我们没有特征可以选择了就可以停止了。至此我们就构建出了我们的决策树。

那么我们最终的决策树如下图所示:

 

通过决策树我们很容易判断出天气恶劣、小明心情不好但是上班时间又比较充裕的情况下,小明的出行方式是选择打车。

所以,如何构建一个决策树的方法截止现在已经基本上全部介绍给了大家,在学术上,常用的算法有 ID3算法,C4.5算法和 CART 算法,其实这些算法和我上面介绍的方法和思想基本上完全一样,只是在选择目标函数的时候有一些差别,我说的是最小化条件信息熵,ID3 用的是信息增益,C4.5 算法用的是信息增益比,CART算法用的是基尼指数,这个指数在上面介绍信息熵的表格中就有,可以参考。

决策树的原理和算法部分就基本上介绍完毕,因为防止模型过拟合也是机器学习中的一个重要议题,所以,我再简单介绍一下决策树的剪枝。

之所以会发生过拟合,是因为我们在学习的过程中过多地考虑如何提高对训练数据的正确分类上,所以有的时候就会构建出过于复杂的决策树。而决策树一旦复杂,对测试数据的分类就没那么精确了,也就是过拟合。所以根据奥卡姆剃刀的精神,要对决策树进行简化,这个过程就叫做剪枝。

决策树剪枝是通过最小化决策树整体的损失函数完成的。决策树的损失函数定义为:

其中,树 T 的叶节点个数为 |T| ,C(T) 表示模型对训练数据的预测误差,即模型与训练数据的拟合程度,  |T| 表示模型复杂度,参数 α 是一个非负数,控制两者之间的影响。

C(T) 的计算方法是

其中,t 是树 T 的叶结点,该叶结点有 N个样本,其中k类的样本点有 Ntk 个,k=1,2,…,K。

有个上面的表达式就可以进行最小化损失函数的计算了,从叶结点开始递归地向上计算损失函数,如果一组叶结点回到其父结点之前与之后的整体树分别为 TB 与 TA,其对应的损失函数分别为 Cα(TB)与Cα(TA),如果

则进行剪枝,即将父结点变为新的叶结点。

因为决策树的生成在开源库 OpenCV 已经有实现,最后我再附上一段利用 OpenCV 来训练我上面例子的代码,目的也是让大家自己实现一个类似 Hello World 的程序。OpenCV 的配置方法在这里不再赘述,大家可以利用下面的代码自己作为练习。OpenCV 的内部实现过程感兴趣的同学也可以对源码进行学习,源码也可以在 OpenCV 的官网上下载到。 

需要进行解释的一点就是,我们需要将上面的情景进行了数据化,我们将上面的情况都作为0和1来代表进行决策树的构建。所以新的表格如下所示: 

利用这段程序大家可以看一下这颗决策树对天气恶劣,心情不好,但是时间还充足的情况下小明会选择哪种交通工具进行出行进行的预测。在这先偷偷地告诉你,AI 给出的答案如下图

 

是不是和我们推导的结果一样呢?

AI科技评论友情提醒:

深度学习作为人工智能领域的黑科技,快速入门一直以来是很多学员的梦想。AI 慕课学院在 6月17日-18日有一个为期 12 小时的深度学习课程,由 fastai 中文社区最活跃的四位贡献者为你打开深度学习入门的那扇门。

课程采用 “探索+实践” 的硅谷教学模式,让你从一个门外汉迅速进入深度学习工程师的角色,去完成一个接着一个的项目挑战。最流行的深度学习技能,在这里你都会一一体验,学完整个课程,CNN、RNN、VGG16、ResNet、InceptionCNN 这些最新科技你都会顺手捏来,弹指一挥间,快速构建你的深度学习应用不再是一个梦。

只要你有基本的 Python 编程经验,就能学好这门课!即使零编程基础,我们也能带你飞!

欢迎点击“阅读原文”了解详细课程内容。

报名 |【2017 AI 最佳雇主】榜单

在人工智能爆发初期的时代背景下,雷锋网联合旗下人工智能频道AI科技评论,携手 环球科学 和 BOSS 直聘,重磅推出【2017 AI 最佳雇主】榜单。

从“公司概况”、“创新能力”、“员工福利”三个维度切入,依据 20 多项评分标准,做到公平、公正、公开,全面评估和推动中国人工智能企业发展。

本次【2017 AI 最佳雇主】榜单活动主要经历三个重要时段:

2017.4.11-6.1 报名阶段

2017.6.1-7.1  评选阶段

2017.7.7    颁奖晚宴

最终榜单名单由雷锋网、AI科技评论、《环球科学》、BOSS 直聘以及 AI 学术大咖组成的评审团共同选出,并于7月份举行的 CCF-GAIR 2017大会期间公布。报名期间欢迎大家踊跃自荐或推荐心目中的最佳 AI 企业公司。

报名方式

如果您有意参加我们的评选活动,可以访问雷锋网,进入企业报名通道。提交相关审核材料之后,我们的工作人员会第一时间与您取得联系。

(http://www.leiphone.com/special/custom/bestAi.html)



【2017 AI 最佳雇主】榜单与您一起,领跑人工智能时代。

AI科技评论招聘季全新启动!


很多读者在思考,“我和AI科技评论的距离在哪里?”答案就是:一封求职信。

AI科技评论自创立以来,围绕学界和业界鳌头,一直为读者提供专业的AI学界、业界、开发者内容报道。我们与学术界一流专家保持密切联系,获得第一手学术进展;我们深入巨头公司AI实验室,洞悉最新产业变化;我们覆盖A类国际学术会议,发现和推动学术界和产业界的不断融合。


而你只要加入我们,就可以一起来记录这个风起云涌的人工智能时代!


如果你有下面任何两项,请投简历给我们:


*英语好,看论文毫无压力

*理工科或新闻相关专业优先,好钻研

*对人工智能有一定的兴趣或了解

 * 态度好,学习能力强



简历投递:

[email protected]


登录查看更多
0

相关内容

信息理论的鼻祖之一Claude E. Shannon把信息(熵)定义为离散随机事件的出现概率。所谓信息熵,是一个数学上颇为抽象的概念,在这里不妨把信息熵理解成某种特定信息的出现概率。而信息熵和热力学熵是紧密相关的。
【实用书】Python机器学习Scikit-Learn应用指南,247页pdf
专知会员服务
270+阅读 · 2020年6月10日
【经典书】机器学习:贝叶斯和优化方法,1075页pdf
专知会员服务
415+阅读 · 2020年6月8日
【经典书】精通机器学习特征工程,中文版,178页pdf
专知会员服务
360+阅读 · 2020年2月15日
【新书】Pro 机器学习算法Python实现,379页pdf
专知会员服务
204+阅读 · 2020年2月11日
AI从业者必须了解的决策树指南
AI前线
7+阅读 · 2019年1月14日
入门 | 机器学习第一课:决策树学习概述与实现
机器之心
4+阅读 · 2018年4月29日
决策树
Datartisan数据工匠
4+阅读 · 2018年4月19日
机器学习面试题精讲(一)
七月在线实验室
4+阅读 · 2018年1月11日
机器学习(29)之奇异值分解SVD原理与应用详解
机器学习算法与Python学习
6+阅读 · 2017年11月30日
机器学习(13)之最大熵模型详解
机器学习算法与Python学习
7+阅读 · 2017年8月24日
从决策树到随机森林:树型算法的原理与实现
机器之心
8+阅读 · 2017年7月31日
机器学习算法实践:决策树 (Decision Tree)
Python开发者
9+阅读 · 2017年7月17日
Learning by Abstraction: The Neural State Machine
Arxiv
6+阅读 · 2019年7月11日
Adaptive Neural Trees
Arxiv
4+阅读 · 2018年12月10日
Arxiv
20+阅读 · 2018年10月25日
Arxiv
4+阅读 · 2018年7月4日
Arxiv
5+阅读 · 2018年4月30日
Arxiv
22+阅读 · 2018年2月14日
VIP会员
最新内容
人工智能在战场行动中的演进及伊朗案例
专知会员服务
6+阅读 · 4月18日
美AI公司Anthropic推出网络安全模型“Mythos”
专知会员服务
4+阅读 · 4月18日
【博士论文】面向城市环境的可解释计算机视觉
大语言模型的自改进机制:技术综述与未来展望
《第四代军事特种作战部队选拔与评估》
专知会员服务
3+阅读 · 4月18日
相关资讯
AI从业者必须了解的决策树指南
AI前线
7+阅读 · 2019年1月14日
入门 | 机器学习第一课:决策树学习概述与实现
机器之心
4+阅读 · 2018年4月29日
决策树
Datartisan数据工匠
4+阅读 · 2018年4月19日
机器学习面试题精讲(一)
七月在线实验室
4+阅读 · 2018年1月11日
机器学习(29)之奇异值分解SVD原理与应用详解
机器学习算法与Python学习
6+阅读 · 2017年11月30日
机器学习(13)之最大熵模型详解
机器学习算法与Python学习
7+阅读 · 2017年8月24日
从决策树到随机森林:树型算法的原理与实现
机器之心
8+阅读 · 2017年7月31日
机器学习算法实践:决策树 (Decision Tree)
Python开发者
9+阅读 · 2017年7月17日
Top
微信扫码咨询专知VIP会员