2040张图片训练出的ViT,准确率96.7%,连迁移性能都令人惊讶 | 南京大学

2022 年 2 月 2 日 量子位
晓查 发自 凹非寺
量子位 | 公众号 QbitAI

ViT在计算机视觉领域取得了巨大的成功,甚至大有取代CNN之势。

但是相比CNN,训练ViT需要更多的数据,通常要在大型数据集JFT-300M或至少在ImageNet上进行预训练,很少有人研究少量数据训练ViT。

最近,南京大学吴建鑫团队提出了一种新方法,只需2040张图片即可训练ViT。

他们在2040张花(flowers)的图像上从头开始训练,达到了96.7%的准确率,表明用小数据训练ViT也是可行的。

另外在ViT主干下的 7 个小型数据集上从头开始训练时,也获得了SOTA的结果。

而且更重要的是,他们证明了,即使在小型数据集上进行预训练,ViT也具有良好的迁移能力,甚至可以促进对大规模数据集的训练。

论文内容

在这篇论文中,作者提出了用于自我监督 ViT训练的IDMMInstance Discrimination with Multi-crop and CutMix)。

我们先来看一下ViT图像分类网络的基本架构:

将图像样本xᵢ(i = 1, 2, …, N; N为图片数量)送入ViT中,得到一组输出表征zᵢ。wⱼ为第j个分类的权重。

然后,使用全连接层W进行分类,当类的数量等于训练图像的总数N时,即参数化实例判别。

第j类的输出为:

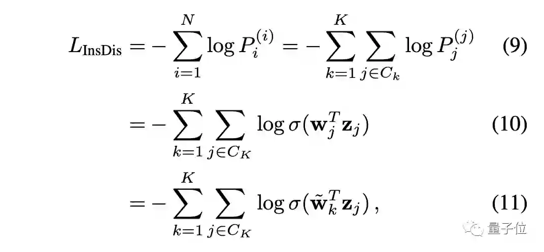
我们把O送入Softmax层,就得到一个概率分布P⁽ⁱ⁾。对于实例判别,损失函数为:

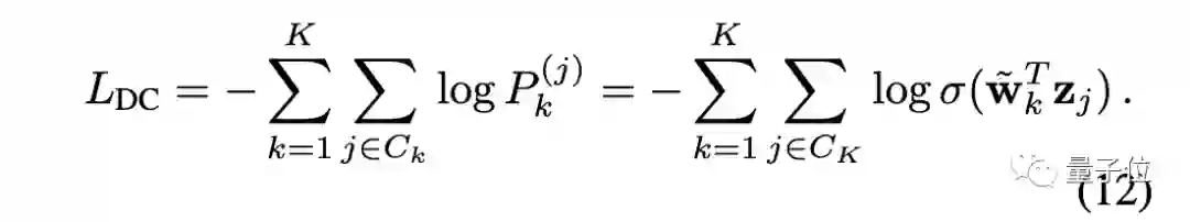
对于深度聚类,其损失函数为:

可以看出,只要适当设置权重(让wⱼ = ~wₖ ),就可以让实例判别等价于深度聚类。

从下图中可以看出,与其他方法相比,实例判别可以学习到更多的分布式表征,并能更好地捕捉到类内的相似性。

作者之所以选择参数化的实例判别,还有一个重要的原因:简单性和稳定性。

不稳定性是影响自监督ViT训练的一个主要问题。实例判别(交叉熵)的形式更稳定,更容易优化。

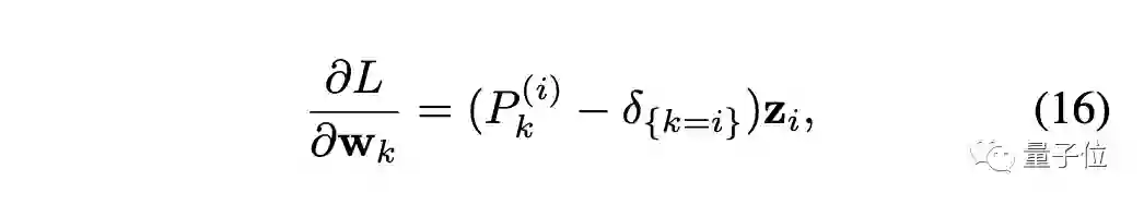
接下来开始梯度分析,损失函数对权重求导:

其中δ是指示函数,当k=i时值为1,否则为0。

需要注意的是,对于实例判别,类的数量N通常很大,而且存在对实例样本访问极稀少的问题。

对于稀少的实例k≠i,可以预计P⁽ⁱ⁾ₖ≈0,因此∂L/∂wₖ≈0,这意味着wₖ的更新频率极低。

在小数据集问题上,作者使用CutMix标签平滑,来缓解此问题。

CutMix:

标签平滑:

最后梯度变为:

这样通过直接修改单次标签,来更频繁地更新权重矩阵,也是ViT监督训练中常用的方法。

总之,作者使用了以下策略来加强小数据集上的实例判别。

  1. 小分辨率:预训练中的小分辨率对小数据集很有用。

  2. 多次裁剪:实例判别概括了对比损失,保证了在使用多种实例时获取特征的对齐和统一性。

  3. CutMix和标签平滑:有助于缓解使用实例判别时的过拟合和不经常访问的问题。

至于为什么需要直接在目标数据集上从头开始训练,作者给出了3点原因:

1、数据

目前的ViT模型通常在一个大规模的数据集上进行预训练,然后在各种下游任务中进行微调。由于缺乏典型的卷积归纳偏向,这些模型比普通的CNN更耗费数据。

因此从头开始训练ViT,能够用图像总量有限的任务是至关重要的。

2、算力

大规模的数据集、大量的耗时和复杂的骨干网络的,让ViT训练的算力成本非常昂贵。这种现象使ViT成为少数机构研究人员的特权。

3、灵活性

预训练后再进行下游微调的模式有时会很麻烦。

例如,我们可能需要为同一任务训练10个不同的模型,并将它们部署在不同的硬件平台上,但在一个大规模的数据集上预训练10个模型是不现实的。

在上图中,很明显与从头开始训练相比,ImageNet预训练的模型需要更多的参数和计算成本。

在小数据集上进行预训练时的迁移能力。每个单元格和列中精度最高的元素分别用下划线和粗体表示

最后,在下表中,作者评估了在不同数据集上预训练模型的迁移精度。

对角线上的单元(灰色)是在同一数据集上进行预训练和微调。对角线外的单元格评估了这些小数据集的迁移性能。

从这张表中,我们可以看到以下几点:

  1. 即使在小数据集上进行预训练,ViT也有良好的迁移能力。

  2. 与SimCLR和SupCon相比,该方法在所有这些数据集上也有更高的迁移精度。

  3. 即使预训练的数据集和目标数据集不在同一领域,也能获得令人惊讶的好结果。例如,在Indoor67上预训练的模型在转移到Aircraft上时获得了最高的准确性。

作者简介

本文第一作者是南京大学在读博士曹云浩,通讯作者是南京大学人工智能学院吴建鑫教授。

吴建鑫本科和硕士毕业于南京大学计算机专业,博士毕业于佐治亚理工。2013年,他加入南京大学科学与技术系,任教授、博士生导师,曾担任ICCV 2015领域主席、CVPR 2017领域主席,现为Pattern Recognition期刊编委。

参考链接:
[1]
https://arxiv.org/abs/2201.10728
[2]https://cs.nju.edu.cn/wujx/index.htm

「智能汽车」交流群招募中!

欢迎关注智能汽车、自动驾驶的小伙伴们加入社群,与行业大咖交流、切磋,不错过智能汽车行业发展&技术进展。

ps.加好友请务必备注您的姓名-公司-职位哦~


点这里👇关注我,记得标星哦~

一键三连「分享」、「点赞」和「在看」

科技前沿进展日日相见~


登录查看更多
0

相关内容

南京大学坐落于钟灵毓秀、虎踞龙蟠的金陵古都,是一所历史悠久、声誉卓著的百年名校。1949年,由国立中央大学更名为国立南京大学。南京大学是综合研究型大学,格物致知,广博易良,向有学科齐备的传统,涵盖了众多领域,现为中央直管、教育部直属的全国重点大学,是”985工程”和“211工程”重点建设的大学之一。
【CVPR2022】弱监督语义分割的类重新激活图
专知会员服务
17+阅读 · 2022年3月7日
【NeurIPS2021】由相似性迁移的弱样本细粒度分类
专知会员服务
21+阅读 · 2021年11月11日
专知会员服务
18+阅读 · 2021年9月15日
专知会员服务
15+阅读 · 2021年7月24日
专知会员服务
17+阅读 · 2021年7月13日
【CVPR2021】用Transformers无监督预训练进行目标检测
专知会员服务
58+阅读 · 2021年3月3日
最新《弱监督预训练语言模型微调》报告,52页ppt
专知会员服务
38+阅读 · 2020年12月26日
国家自然科学基金
3+阅读 · 2015年12月31日
国家自然科学基金
4+阅读 · 2013年12月31日
国家自然科学基金
2+阅读 · 2013年12月31日
国家自然科学基金
0+阅读 · 2012年12月31日
国家自然科学基金
2+阅读 · 2012年12月31日
国家自然科学基金
0+阅读 · 2011年12月31日
国家自然科学基金
0+阅读 · 2011年12月31日
国家自然科学基金
3+阅读 · 2011年12月31日
国家自然科学基金
1+阅读 · 2011年12月31日
国家自然科学基金
0+阅读 · 2009年12月31日
Transformers in Medical Image Analysis: A Review
Arxiv
40+阅读 · 2022年2月24日
Arxiv
27+阅读 · 2021年11月11日
Arxiv
19+阅读 · 2020年12月23日
VIP会员
最新内容
以色列-美国-伊朗战争中的无人机:关键要点
专知会员服务
1+阅读 · 今天14:04
《Palantir任务保障性软件安全标准(MA-S2)》
专知会员服务
5+阅读 · 今天13:49
基于声学的无人机检测技术综述
专知会员服务
4+阅读 · 今天13:37
《当代混合战争分析框架:俄乌战争经验教训》
专知会员服务
4+阅读 · 今天13:11
战略前沿人工智能的再思考(中文)
专知会员服务
7+阅读 · 5月29日
《量化地基防空系统间接效应的博弈论方法》
专知会员服务
5+阅读 · 5月29日
“史诗怒火行动”中美军损失的作战飞机
专知会员服务
6+阅读 · 5月29日
ICML 2026 | 理解上下文持续学习中的泛化与遗忘
专知会员服务
5+阅读 · 5月28日
相关VIP内容
【CVPR2022】弱监督语义分割的类重新激活图
专知会员服务
17+阅读 · 2022年3月7日
【NeurIPS2021】由相似性迁移的弱样本细粒度分类
专知会员服务
21+阅读 · 2021年11月11日
专知会员服务
18+阅读 · 2021年9月15日
专知会员服务
15+阅读 · 2021年7月24日
专知会员服务
17+阅读 · 2021年7月13日
【CVPR2021】用Transformers无监督预训练进行目标检测
专知会员服务
58+阅读 · 2021年3月3日
最新《弱监督预训练语言模型微调》报告,52页ppt
专知会员服务
38+阅读 · 2020年12月26日
相关基金
国家自然科学基金
3+阅读 · 2015年12月31日
国家自然科学基金
4+阅读 · 2013年12月31日
国家自然科学基金
2+阅读 · 2013年12月31日
国家自然科学基金
0+阅读 · 2012年12月31日
国家自然科学基金
2+阅读 · 2012年12月31日
国家自然科学基金
0+阅读 · 2011年12月31日
国家自然科学基金
0+阅读 · 2011年12月31日
国家自然科学基金
3+阅读 · 2011年12月31日
国家自然科学基金
1+阅读 · 2011年12月31日
国家自然科学基金
0+阅读 · 2009年12月31日
Top
微信扫码咨询专知VIP会员