最新语言表示方法XLNet

2019 年 7 月 6 日 AINLP

作者:张贵发 

研究方向:自然语言处理




介绍

近期,由卡耐基梅隆大学和谷歌大脑提出的全新 XLNet 在 20 个任务上超过了 BERT 的表现,而且还开放了源码,今天我们来讨论一下这篇论文。

论文地址:https://arxiv.org/pdf/1906.08237.pdf
github: https://github.com/zihangdai/xlnet

  • Context (文本内容)

  • Autoregressive vs Autoencoding (自回归与自编码)

  • XLNet: Best of both worlds

    • Permutation Language model

    • Two-Stream self-attention mechanism

    • Recurrence mechan

我们将快速讨论下关于文本处理两种主要方法的背景,自回归与自编码,然后进一步延申之两者的最好结合-----xlnet

实践证明无监督的学习是种坚如磐石的方法。从无背景中学习,随着语言模型的兴起,出现了许多很好的文本表示的模型如word2vec、glove等。我们有两种具有竞争力的方法自回归(AR)与自编码(AE),我们发现两种方法都存在一些限制。

AR(自回归)

AR语言模型试图用自回归模型来估计文本语料库的概率分布,具体来说,给定一个文本序列,AR利用极大似然建模正向或者反向AR模型只能正向或者反向存在单方向上的依赖,存在单向流动的问题。公式若难理解可以看下图例子:


  • The animal didn’t cross the street because it was too tired.

  • The animal didn’t cross the street because it was too narrow

如我们给定的例子中,只看前文,我们很难猜测it指代的具体内容,编码的时候我们要看整个句子的上下文,只看前面或者只看后面是不行的。

AR模型的两个问题:

  1. 顺序依赖,t依赖t-1时刻。(或者反向)

  2. 单向信息流(如例子中指代信息,不能确定)

由于AR语言模型只被训练为对单向上下文(向前或向后)进行编码,因此它不能有效地对深层双向上下文进行建模。相反,下游语言理解任务通常需要双向上下文信息。这导致了AR语言建模和有效的预训练之间的差距。

AE(自编码)

单向信息流的问题 ,只能看前面,不能看后面,其实语料里有后面的信息,只是训练语言模型任务特殊要求只能看后面的信息,这是最大的一个问题。那么我们可以改变我们的训练任务。



基于AE的预训练是从损坏的输入中重建原始数据。一个值得注意的例子是Bert,它是最先进的预训练方法。给定输入token序列,token的某一部分将被一个特殊符号[mask]替换(如dog、likes),并且模型经过训练,可以从损坏的版本中恢复原始token。bert可以利用双向上下文进行重建。作为一个直接的好处,这弥补了前面提到的AR语言建模中的双向信息缺口,从而提高了性能。




基于自编码的架构,我们可以同时catch到两边的依赖。但是同时存在一些限制:
  • 在预测屏蔽token时,输入中有其他屏蔽token

  • 如果屏蔽token是相互依赖的呢

通过自动编码的架构,意味着我们在输出中有一个序列,在输入确定的序列中添加一些噪声,通过mask,因此当你想要预测这些mask的时候,你有左边的输入标记和在右边有什么限制。当你预测令牌之一的输入,右边也是mask的token,所以你是失去了部分信息,这是有限的,第二个问题是有两个连续的masked token像 new york,new york 是有内部依赖的,你想预测new york的结果非常好,重要的是要知道new是第一个令牌,new york与york new可能是两个城市。这与他们的位置关系存在严格的限制。

另外,在训练期间,BERT在预训练时使用的[MASK]等人工符号在实际数据中不存在,从而导致预训练的网络差异。

XLNet

面对现有语言预训练目标的优缺点,本文提出了一种广义自回归方法XLNET,它既利用了AR语言建模的优点,又避免了AE的局限性。

  • xlnet是基于自回模型上的,但是它不只是向前或向后,而是双方的排列来获取依赖信息。避免单向信息流。

  • 作为一种广义的AR语言模型,XLNet不依赖于数据破坏。避免mask丢失信息。避免与训练与微调的差异弊端。

  • 融合了transformerXL的方法(SOTA LM)

Permutation Language Modeling


首先,我们不希望花更长的时间只是向后或只是向后,我们更关注形成新的序列,如给定序列[1,2,3,4],我们的目标是预测3,首先根据这个因子为4的序列进行全排列,形成24种情况。上图列出了其中4中排列情况,每一种的计算如下:

  • 第一,左侧没有值,是句子的开端,无需计算

  • 第二,

  • 第三,

  • 第四,

如果是传统的AR会直接计算

这样的处理方式,解决了单向注意力流问题,还避免了mask标记带来的问题。
那么怎么使它工作呢?

首先是位置编码,我们需要很好的位置计算,因为我们混合了一切,外部从左到右,或者从右到左,我们需要有一些位置,好在tansfomer中已经解决了这样的问题,标志只是正弦信号,他们使用了相对位置。这里提一下bert用的是绝对位置。


有了序列的选集,那我们该选择哪一个进行训练呢?

我们有4个因子就有24中排列,因此分解它很疯狂,对样本进行抽样,随机抽样,可能性是上图的公式,Zt是一切可能,这里表示24(4!)种分解,z是其中之一,本质上,对于文本序列X,我们一次采样一个分解顺序z,
并根据分解顺序分解似然  。由于相同的模型参数θ在训练期间在所有分解次序中被共享,在期望中,X_t已经看到序列中(x_i 与 x_t不等)每一个可能元素,因此能够捕获双向上下文。

Two-Stream self-attention

接下来,怎么真正的处理context和position呢?


其实思路很简单,预测的时候就是保持住position不变,同时移除预测位置的context embedding。训练的时候保留context embedding。Two-Stream Self-Attention巧妙地结合了两个处理。

  • 在预测当前xt的时候,fix住position,移除context embeding。

  • 当预测其他内容时候,再保留context embedding信息。

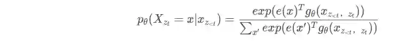
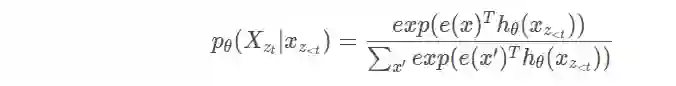
假设我们使用标准的SoftMax公式参数化下一个token分布,即:


其中 表示在适当屏蔽后transformer网络产生的表示。现在注意,表示
并不取决于它将预测的位置,即z_t的位置信息。因此,无论目标位置如何,都会预测相同的分布,因为目标位置无法学习有用的表示。为了避免这个问题,我们建议重新参数化下一个token分布,以实现目标位置感知:

是一种新的表示形式,它另外以目标位置zt作为输入。
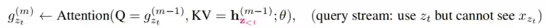
  • 如上图所示当作为内容表示时 ,简称h_zt,其作用与transformer标准隐藏状态相似。这种表示同时对上下文和x_zt本身进行编码。自己的context embedding参与到了计算。公式如下:



  • 查询表示 g_θ(x_{z<t},z_t) ,简称g_zt,只访问上下文信息x_{z<t} 和位置z_t,而不访问内容x_zt,本位置的context embedding不参与计算,如上所述。公式如下:






计算上,第一层查询流用可训练向量初始化,即,而内容流被设置为对应的字嵌入,即。对于每个self-attention层,m=1,…,M,这两个表示流是用一组共享参数(如图(a)和(b)所示)进行示意性更新的,中q、k、v表示注意力操作中的查询、键和值。内容表示的更新规则与标准的self-attention完全相同,因此在微调期间,我们可以简单地删除查询流。



假设bert和xlnet都选择这两个令牌[new york]作为预测目标,并最大化log p(new york is a city)。另外,假设xlnet对factorization的order(is,a,city,new,york)进行采样。在这种情况下,bert和xlnet趋向与以下目标:


验证了我上文关于bert的限制问题。

关于bert或者self-attention的理解可参考我之前的文章:一步步理解bert

注意本地FineTuning的话,需要安装SentencePiece

pip install SentencePiece

执行上述命令即可,不然会报异常。



原文链接:
https://blog.csdn.net/mr2zhang/article/details/94138844

本文由作者投稿并且原创授权AINLP首发于公众号平台,点击'阅读原文'直达原文链接,欢迎投稿,AI、NLP均可。

登录查看更多
0

相关内容

增强现实(Augmented Reality,简称 AR),是一种实时地计算摄影机影像的位置及角度并加上相应图像的技术,这种技术的目标是在屏幕上把虚拟世界套在现实世界并进行互动。
【ICML2020】统一预训练伪掩码语言模型
专知会员服务
27+阅读 · 2020年7月23日
【ACL2020-Allen AI】预训练语言模型中的无监督域聚类
专知会员服务
24+阅读 · 2020年4月7日
Transformer文本分类代码
专知会员服务
118+阅读 · 2020年2月3日
BERT进展2019四篇必读论文
专知会员服务
70+阅读 · 2020年1月2日
一文详解Google最新NLP模型XLNet
PaperWeekly
18+阅读 · 2019年7月1日
20项任务全面碾压BERT,全新XLNet预训练模型
机器学习算法与Python学习
15+阅读 · 2019年6月20日
进一步改进GPT和BERT:使用Transformer的语言模型
机器之心
16+阅读 · 2019年5月1日
中文版-BERT-预训练的深度双向Transformer语言模型-详细介绍
通过预训练提升语言理解
开放知识图谱
4+阅读 · 2018年11月21日
自然语言处理中的语言模型预训练方法
PaperWeekly
14+阅读 · 2018年10月21日
Arxiv
5+阅读 · 2019年10月31日
Arxiv
15+阅读 · 2019年9月11日
How to Fine-Tune BERT for Text Classification?
Arxiv
13+阅读 · 2019年5月14日
Arxiv
8+阅读 · 2019年3月21日
Conditional BERT Contextual Augmentation
Arxiv
8+阅读 · 2018年12月17日
VIP会员
最新内容
《人工智能赋能电磁战》(报告)
专知会员服务
2+阅读 · 今天14:47
【CMU博士论文】迈向可扩展的开放世界三维感知
专知会员服务
1+阅读 · 今天14:06
前馈式三维场景建模
专知会员服务
1+阅读 · 今天14:03
(译文)认知战:以士兵为目标,塑造战略
专知会员服务
3+阅读 · 今天3:12
相关VIP内容
相关资讯
一文详解Google最新NLP模型XLNet
PaperWeekly
18+阅读 · 2019年7月1日
20项任务全面碾压BERT,全新XLNet预训练模型
机器学习算法与Python学习
15+阅读 · 2019年6月20日
进一步改进GPT和BERT:使用Transformer的语言模型
机器之心
16+阅读 · 2019年5月1日
中文版-BERT-预训练的深度双向Transformer语言模型-详细介绍
通过预训练提升语言理解
开放知识图谱
4+阅读 · 2018年11月21日
自然语言处理中的语言模型预训练方法
PaperWeekly
14+阅读 · 2018年10月21日
相关论文
Top
微信扫码咨询专知VIP会员